berne
Uploaded by
48 SLIDES
627 VUES
480LIKES

Complex Numbers

DESCRIPTION

Complex Numbers. XII – STANDARD MATHEMATICS. PREPARED BY: R.RAJENDRAN. M.A., M . Sc., M. Ed., K.C.SANKARALINGA NADAR HR. SEC. SCHOOL, CHENNAI-21. If n is a positive integer, prove that. If a = cos 2  + isin 2, b = cos2 + isin 2, c = cos 2 + isin 2. Prove that (i).

1 / 48

Télécharger la présentation

Complex Numbers

An Image/Link below is provided (as is) to download presentation Download Policy: Content on the Website is provided to you AS IS for your information and personal use and may not be sold / licensed / shared on other websites without getting consent from its author. Content is provided to you AS IS for your information and personal use only. Download presentation by click this link. While downloading, if for some reason you are not able to download a presentation, the publisher may have deleted the file from their server. During download, if you can't get a presentation, the file might be deleted by the publisher.

E N D

Presentation Transcript


  1. Complex Numbers XII – STANDARD MATHEMATICS PREPARED BY: R.RAJENDRAN. M.A., M. Sc., M. Ed., K.C.SANKARALINGA NADAR HR. SEC. SCHOOL, CHENNAI-21

  2. If n is a positive integer, prove that

  3. If a = cos 2 + isin 2, b = cos2 + isin 2, c = cos 2 + isin 2. Prove that (i) a = cos 2 + isin 2 b = cos 2 + isin 2 c = cos 2 + isin 2 abc = (cos 2 + isin 2 )(cos 2 + isin 2) (cos 2 + isin 2) = cos (2 + 2 + 2) + isin (2 + 2 + 2)

  4. = cos ( +  + ) + isin ( +  + ) ……..(1) = cos ( +  + ) – i sin ( +  + ) …….(2) adding (1) and (2) we get

  5. If a = cos 2 + isin 2, b = cos2 + isin 2, c = cos 2 + isin 2. Prove that (ii) = (cos 2 + isin 2 )(cos 2 + isin 2)(cos 2 + isin 2)– 1 = (cos 2 + isin 2 )(cos 2 + isin 2)(cos 2 – isin 2) = (cos 2 + isin 2 )(cos 2 + isin 2)(cos (–2) + isin (–2)) = cos(2 + 2 – 2) + isin(2 + 2 – 2) = cos 2( +  – ) + isin 2( +  – )………….(1)

  6. = [cos 2( +  – ) + i sin 2( +  – )]-1 = cos 2( +  – ) – i sin 2( +  – )………(2) Adding (1) and (2), we get,

  7. Simplify: (cos + isin )0 = 1

  8. Simplify:

  9. Prove that:

  10. If cos  + cos  + cos  = 0 = sin  + sin  + sin  : prove that(i) cos 3 + cos 3 + cos 3 = 3cos( +  + )(ii) sin 3 + sin 3 + sin 3 = 3sin( +  + ) Given: cos  + cos  + cos  = 0 and sin  + sin  + sin  = 0 (cos  + cos  + cos ) + i(sin  + sin  + sin ) = 0 (cos  + isin )(cos  + isin )(cos  + isin ) = 0 Let a = cos  + isin  b = cos  + isin  c = cos  + isin 

  11. If a + b + c = 0, then a3 + b3 + c3 = 3abc (cos  + isin )3 + (cos  + isin )3 + (cos  + isin )3 = 3(cos  + isin )(cos  + isin )(cos  + isin ) (cos 3 + isin 3) + (cos 3 + isin 3) + (cos 3 + isin 3) = 3[cos ( +  + ) + isin ( +  + )] (cos 3 + cos 3 + cos 3) + i(sin 3 + sin 3 + sin 3) = 3cos ( +  + ) + 3isin ( +  + ) Equating real and imaginary parts cos 3 + cos 3 + cos 3 = 3cos ( +  + ) sin 3 + sin 3 + sin 3 = 3sin ( +  + )

  12. If n is a positive integer, prove that(i) (1 + i)n + (1 – i)n = Let 1 + i = r(cos  + isin )

  13. Substituting i = - i Adding (1) and (2), we get

  14. If n is a positive integer, prove that(ii) (3 + i)n + (3 – i)n = Let 3 + i = r(cos  + isin )

  15. Substituting i = –i Adding (1) and (2), we get

  16. If n is a positive integer, prove that(1 + cos + isin )n + (1 + cos  - isin )n (1 + cos + isin )n + (1 + cos  - isin )n

  17. If  and  are the roots of x2 – 2x + 4 = 0 prove that n – n = i2n+1 sin (n/3) and deduce 9 – 9 x2 – 2x + 4 = 0 a = 1, b = –2, c = 4 The two roots are

  18. Let 1 + i 3 = r(cos  + isin )

  19. Substituting i = –i we get Subtracting (2) from (1) we get

  20. If n = 9 9 – 9

  21. If x + 1/x = 2cos prove that (i)xn + 1/xn = 2cos n (ii) xn – 1/xn = 2isin n

  22. If x + 1/x = 2cos, y + 1/y = 2cos, prove that one of the values of

  23. similarly

  24. Adding (1) and (2)

  25. Solve: x8 + x5 – x3 – 1 = 0 x8 + x5 – x3 – 1 = 0 x5(x3 + 1) – (x3 + 1) = 0 (x3 + 1)(x5 – 1) = 0 x3 + 1 = 0, x5 – 1 = 0 Case (1) x3 + 1 = 0 x3 = – 1 = cos  + isin  = cos(2k + ) + isin(2k + ) x = {cos(2k + ) + isin(2k + )}1/3

  26. The three values are Case (2) x5 – 1 = 0 x5 = 1 = cos 0 + isin 0 = cos(2k) + isin(2k) x = {cos(2k) + isin(2k)}1/5

  27. The five values are

  28. Solve: x7 + x4 + x3 + 1 = 0 x7 + x4 + x3 + 1 = 0 x4(x3 + 1) + (x3 + 1) = 0 (x3 + 1)(x4 + 1) = 0 x3 + 1 = 0, x4 + 1 = 0 Case (1) x3 + 1 = 0 x3 = – 1 = cos  + isin  = cos(2k + ) + isin(2k + ) x = {cos(2k + ) + isin(2k + )}1/3

  29. The three values are Case (2) x4 + 1 = 0 x4 = – 1 = cos  + isin  = cos(2k + ) + isin(2k + ) x = {cos(2k + ) + isin(2k + )}1/4

  30. The four values are

  31. Find all the values of (1 + i)1/4 Let 1 + i = r(cos  + isin )

  32. For k = 0,1,2,3,4 we get all the values

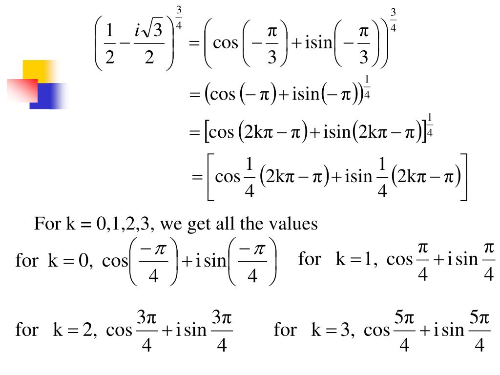
  33. Find all the values of And hence prove that the product of the values is 1 Since sin is – ve and cos is +ve  lies in the fourth quadrant

  34. For k = 0,1,2,3, we get all the values

  35. Their product = = 1

  36. If  and  are the roots of x2 – 2px + (p2 + q2) = 0 and tan = q/ y+p prove that x2 – 2px + (p2 + q2) = 0 a = 1, b = –2p, c = p2 + q2 The two roots are

  37. P represents the variable complex number z, find the locus of P if Let z = x + iy be the variable complex number

  38. x(x + 1) + y(y + 1) = x2 + (y + 1)2 x2 + x + y2 + y = x2 + y2 + 2y + 1 x + y = 2y + 1 x – 2y + y – 1 = 0 x – y – 1 = 0 The locus of P is x – y – 1 = 0

  39. Find the square root of – 8 – 6i. Let square root of – 8 – 6i be x + iy – 8 – 6i = (x + iy)2 = x2 + 2ixy + i2y2 = x2 + 2ixy – y2 – 8 – 6i = x2 – y2 + 2ixy Equating the real and imaginary parts x2 – y2 = – 8 ……..(1) 2xy = –6 ……..(2) xy = –3 y = –3/x Sub y = –3/x in (1)

  40. x4 – 9 = – 8x x4 + 8x2 – 9 = 0 x4 + 9x2 – x2 – 9 = 0 x2(x2 + 9) – 1(x2 + 9) = 0 (x2 + 9)(x2 – 1) = 0 x2 = –9, 1 x = ±3i, ±1 Since is real x = ±1 If x = 1, then y = –3 If x = –1, then y = 3 The square root = 1 – 3i and –1 + 3i

More Related