bijan
Uploaded by
183 SLIDES
2058 VUES
1830LIKES

مثال13 .

DESCRIPTION

0. 1. 1. 0. 1. 0. مثال13. مثال14. مثال15. 78. به نام خدا. نظريه زبان ها و ماشين ها جلسه سوم. مثال26. مثال27. مثال28. مثال29. گرامر. مثال30. مثال31. مثال32. مثال33. مثال34. مثال35. مثال36. مثال37. مثال38. مثال39. مثال40. مثال33. به نام خدا. نظريه زبان ها و ماشين ها

1 / 183

Télécharger la présentation

مثال13 .

An Image/Link below is provided (as is) to download presentation Download Policy: Content on the Website is provided to you AS IS for your information and personal use and may not be sold / licensed / shared on other websites without getting consent from its author. Content is provided to you AS IS for your information and personal use only. Download presentation by click this link. While downloading, if for some reason you are not able to download a presentation, the publisher may have deleted the file from their server. During download, if you can't get a presentation, the file might be deleted by the publisher.

E N D

Presentation Transcript

Playing audio...

  1. 0 1 1 0 1 0

  2. مثال13. مثال14.

  3. مثال15.

  4. 78

  5. به نام خدا نظريه زبان ها و ماشين ها جلسه سوم

  6. مثال26. مثال27.

  7. مثال28.

  8. مثال29. گرامر

  9. مثال30. مثال31.

  10. مثال32. مثال33. مثال34.

  11. مثال35.

  12. مثال36. مثال37.

  13. مثال38. مثال39. مثال40. مثال33.

  14. به نام خدا نظريه زبان ها و ماشين ها جلسه چهارم

  15. 1 1 0 z z آتاماتاي پشته اي نامعين(NPDA) : به فرم نمايش مي دهند كه مجموعه اي متناهي از State هاالفباي زبان وضيعت شروع (عضوي از Q) الفبا ي پشته متعلق است به و پايين پشته را نشان مي دهد تابع تغير حالت

  16. مثال43:آتاماتايپشته اي طراحي كنيد كه زبان: را بپذيرد جواب : a را از ورودی می خوانيم در ته پشته z قرار دارد 1 Z

  17. مثال43:آتاماتايپشته اي طراحي كنيد كه زبان: را بپذيرد جواب : a را از ورودی می خوانيم و در بالای پشته 1 قرار دارد Z

  18. مثال43:آتاماتايپشته اي طراحي كنيد كه زبان: را بپذيرد جواب : b را از ورودی می خوانيم و در بالای پشته 1 قرار دارد Z

  19. مثال 45: بالای پشته 0 يا 1قرار می گيرد با خواندن a بالای پشته 1 قرار می دهيم با خواندن b بالای پشته 0 قرار می دهيم با خواندن c تغيير وضيعت می دهيم

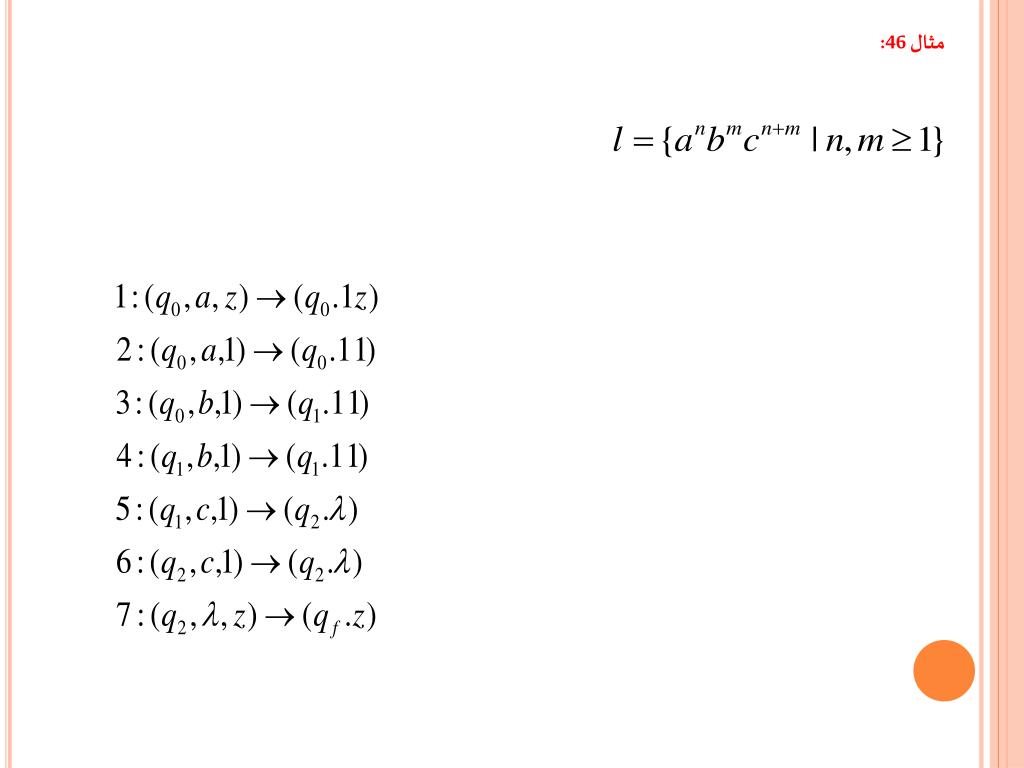
  20. مثال 46:

  21. مثال 47:

  22. مثال 48:

  23. مثال 49:

  24. مثال 50:

  25. مثال 51:

More Related