brett-nolan
Uploaded by
58 SLIDES
905 VUES
590LIKES

Chapter 1-2 Functions

DESCRIPTION

Chapter 1-2 Functions. Lesson Objectives : Students will be able to represent functions numerically algebraically and graphically. They will determine the domain and range for functions and analyze the function characteristics such as extreme value , symmetry, asymptotes and end behavior.

1 / 58

Télécharger la présentation

Chapter 1-2 Functions

An Image/Link below is provided (as is) to download presentation Download Policy: Content on the Website is provided to you AS IS for your information and personal use and may not be sold / licensed / shared on other websites without getting consent from its author. Content is provided to you AS IS for your information and personal use only. Download presentation by click this link. While downloading, if for some reason you are not able to download a presentation, the publisher may have deleted the file from their server. During download, if you can't get a presentation, the file might be deleted by the publisher.

E N D

Presentation Transcript


  1. Chapter 1-2 Functions Lesson Objectives : Students will be able to represent functions numerically algebraically and graphically. They will determine the domain and range for functions and analyze the function characteristics such as extreme value , symmetry, asymptotes and end behavior.

  2. Warm Up • Find the slope of the line through the points (-1, 2) and (4, -2) • Solve for x: • Solve for x: Make sure to check your answers. -3 does not work!

  3. Welcome to Hon Precalc

  4. Key Concepts Relation - a set of pairs of input and output values. -3 -1 3 3 4 4

  5. Example 1 When skydivers jump out of an airplane, they experience free fall. At 0 seconds, they are at 10,000ft, 8 seconds, they are at 8976ft, 12 seconds, they are at 7696ft, and 16 seconds, they are at 5904ft. How can you represent this relation in four different ways?

  6. Example 1 (Continued) • 0 10000 • 8976 • 12 9696 • 16 5904

  7. Definition of a Function A function f from a set A to set B is a relation that assigns to each element in x in the set A exactly one element y in the set B. The set A is the domain (or set of inputs) of the function f, and the set B contains the range (or set of outputs). Characteristics of a Function from Set A to Set B 1. Each element of A must be matched with an element of B. 2. Some elements of B may not be matched with any element of A. 3. Two or more elements of A may be matched with the same element of B. 4. An element of A (the domain) cannot be matched with two different elements of B.

  8. Introduction to functions Charles Jack Brad Charles Brad Diana Jennifer Angelina Diana Jennifer Angelina Is a FUNCTION Is a FUNCTION

  9. Introduction to functions Charles Jack Brad Charles Jack Brad Diana Angelina Diana Jennifer Angelina Is a FUNCTION Is Not a FUNCTION

  10. Library of Functions By a sentence that describes how the input variable is related to the output variable. Verbally Example The input value of x is the election year from 1952 to 2004 and the output value y is the elected president of the United States.

  11. Library of Functions By a table or a list of ordered pairs that match the input values with output values Numerically Example 1952 Eisenhower 1956 Eisenhower 1960 Kennedy 1964 Johnson 1972 Nixon 1976 Carter 1980 Reagan 1984 Reagan 1988 Bush H.W. 1992 Clinton 1996 Clinton 2000 Bush W. 2004 Bush W.

  12. Library of Functions Graphically By points on a graph in a coordinate plane in which the input values are represented by the horizontal axis (x, the domain) and the output values are represented by the vertical axis (y, the range). Example

  13. Library of Functions algebraically By an equation in two variables Example y

  14. Testing for Functions Is NOT a FUNCTION Is a FUNCTION

  15. Testing for Functions Algebraically Which of the equations represents(s) yas a function of x? a. b. To determine whether y is a function of x, try to solve for y. Is a FUNCTION Is NOT a FUNCTION

  16. Function Notation Equation Output Input x Find and .

  17. Function Notation

  18. Function Notation Equation Output Input x Find and .

  19. Function Notation The role of the independent variable is that of a placeholder. Consider

  20. Function Notation The role of the independent variable is that of a placeholder. Consider

  21. Evaluating a Function Let . Find , , and ,

  22. Function Notation

  23. Evaluating a Function Let . Find , , and ,

  24. Evaluating a Function Let . Find , , and ,

  25. Evaluating a Function Let . Find , , and , FOIL First, Inner, Outer, Last

  26. Evaluating a Function Let . Find , , and , FOIL First, Inner, Outer, Last

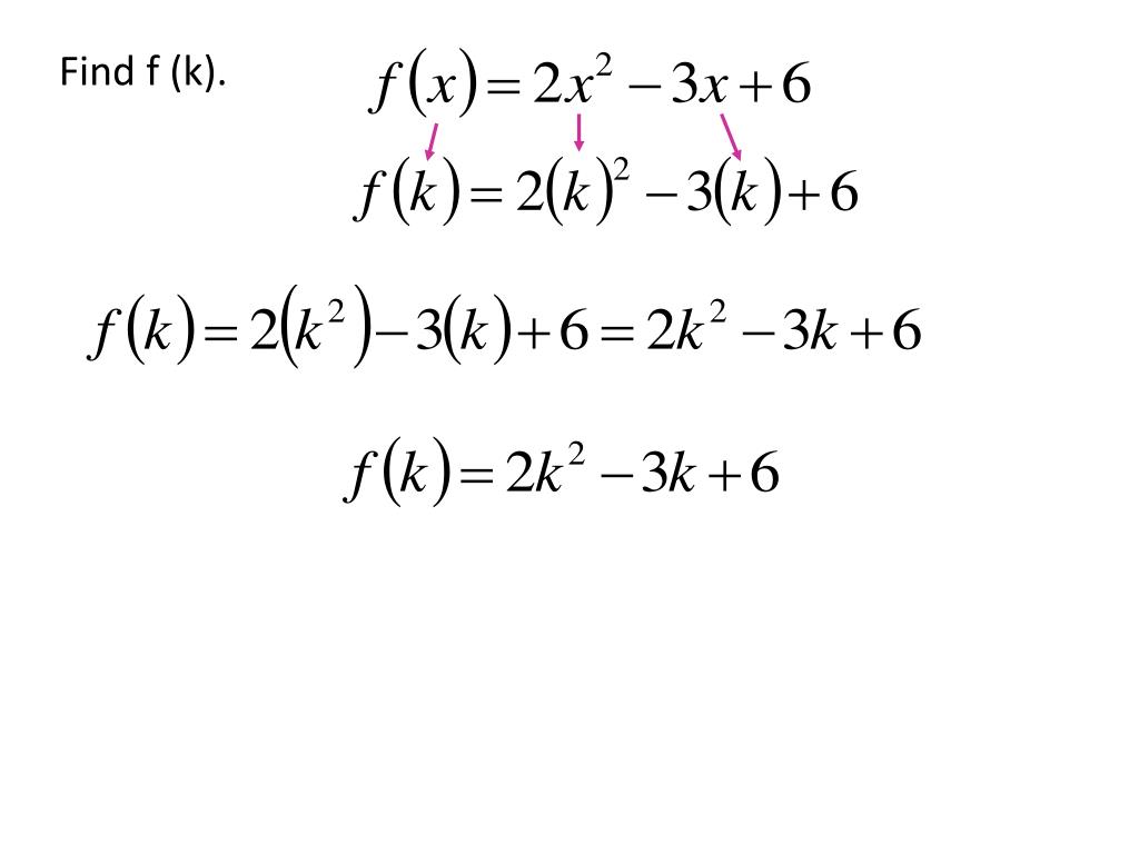
  27. Find f (k).

  28. Find f (2k).

  29. Let's try a new function Find g(1)+ g(-4).

  30. Find the difference quotient:

  31. Find the difference quotient:

  32. Library of Functions Piecewise-Defined Function is a function that is defined by two or more equations over a specified domain. The absolute value function given by can be written as a piecewise-defined function. The basic characteristics of the absolute value function are summarized below. Graph of { Domain: Range: Intercept: Decreasing on Increasing on

  33. A Piecewise-Defined Function Evaluate the function when . {

  34. A Piecewise-Defined Function Evaluate the function when . {

  35. A Piecewise-Defined Function Evaluate the function when . {

  36. Function Notation

  37. A Piecewise-Defined Function Evaluate the function when . {

  38. A Piecewise-Defined Function Evaluate the function when . {

  39. A Piecewise-Defined Function Evaluate the function when . {

  40. The Domain of a Function Domain excludes x-values that result in division by zero. Domain excludes x-values that result in even roots of negative numbers.

  41. Library of Functions Radical Functions arise from the use of rational exponents. The most common radical function is the square root function given by . The basic characteristics of the square root function are summarized below. Graph of Domain: Range: Intercept: Decreasing on Increasing on n/a

  42. Finding the Domain of a Function d. Volume of a sphere e. a. The domain of f consists of all first coordinates in the set of ordered pairs. Domain b. The domain of g is the set of all real numbers. c. Excluding x-values that yield zero in the denominator, the domain of h is the set of all real numbers . d. Because this function represents the volume of a sphere, the values of the radius must be positive. So, the domain is the set of all real numbers r such that . This function is defined only for x-values for which . By solving this inequality , you will find that the domain of k is all real numbers that are less than or equal to .

  43. Finding the Domain of a Function d. Volume of a sphere e. a. The domain of f consists of all first coordinates in the set of ordered pairs. Domain b. The domain of g is the set of all real numbers. c. Excluding x-values that yield zero in the denominator, the domain of h is the set of all real numbers . d. Because this function represents the volume of a sphere, the values of the radius must be positive. So, the domain is the set of all real numbers r such that . This function is defined only for x-values for which . By solving this inequality , you will find that the domain of k is all real numbers .

  44. Finding the Domain and Range Because it is an even square root, the answers have to be zero or larger 0 -3 3 Pick a number less than of -3, 0, and 3, then one greater than 3.

  45. Finding the Domain and Range Because it is an even square root, the answers have to be zero or larger 0 4 1 -4 -3 -1 3

  46. Finding the Domain and Range Because it is an even square root, the answers have to be zero or larger 0 4 1 -4 -3 -1 3

  47. Finding the Domain and Range Because it is an even square root, the answers have to be zero or larger 0 4 1 -4 -3 -1 3 Domain is . Range is .

  48. Application A baseball hit at a point 3 feet above the ground at a velocity of 100 feet per second and an angle of . The path of the baseball is given by the function where y and x are measured in feet. Will the baseball clear a 10-foot fence located 300 feet from home plate?

  49. Application A baseball hit at a point 3 feet above the ground at a velocity of 100 feet per second and an angle of . The path of the baseball is given by the function where y and x are measured in feet. Will the baseball clear a 10-foot fence located 300 feet from home plate?

  50. Application

More Related