brett-stevenson
Uploaded by
65 SLIDES
843 VUES
660LIKES

第一章 初等积分法

DESCRIPTION

第一章 初等积分法. §1.1 微分方程与解 1.1.1 微分方程与解 微分方程:含有未知函数的导数或微分 的方程叫做微分方程。通常 分为常微分方程和偏微分方程。 特点:历史悠久(与微积分同时诞 生),应用广泛。. 例 1  受到空气阻力的自由落体运动。 t=0 时自由下落,质量 m ,阻力与下落速度成正比。 最后考虑 的情形。 ... 图 1-1. 一些术语:   微分方程的阶。   一阶隐方程 :   一阶显方程 :

1 / 65

Télécharger la présentation

第一章 初等积分法

An Image/Link below is provided (as is) to download presentation Download Policy: Content on the Website is provided to you AS IS for your information and personal use and may not be sold / licensed / shared on other websites without getting consent from its author. Content is provided to you AS IS for your information and personal use only. Download presentation by click this link. While downloading, if for some reason you are not able to download a presentation, the publisher may have deleted the file from their server. During download, if you can't get a presentation, the file might be deleted by the publisher.

E N D

Presentation Transcript


  1. 第一章 初等积分法 §1.1 微分方程与解 1.1.1 微分方程与解 微分方程:含有未知函数的导数或微分 的方程叫做微分方程。通常 分为常微分方程和偏微分方程。 特点:历史悠久(与微积分同时诞 生),应用广泛。

  2. 例1 受到空气阻力的自由落体运动。 t=0时自由下落,质量m,阻力与下落速度成正比。 最后考虑 的情形。 ... 图1-1

  3. 一些术语:   微分方程的阶。   一阶隐方程:   一阶显方程:   微分形式的一阶方程: (1.9)和(1.10)可以互相转化,但是需要注意增解和失解。

  4. 阶显方程 阶隐方程 阶线性微分方程    问题: ,求 满足的微分方 程。 解法:将 关于 求1到 导数,联立消去参数即可。

  5. 补例  1、求平面上一切圆所满足的微分方程; 2、求以定 点 为圆心的一切圆所满足的微分方程; 3、求半 径为定长 的一切圆所满足的微分方程。 解: 得 ,此即所求。 此即所求。 注意:此式有明显的几何意义。

  6. 此即所求。 注意:此式有明显的几何意义。

  7. 1.1.2 微分方程的解 定义1.1 如果 且 ,则称 是 在区间 上的一个解。 验证解1--4。 通解,特解,通积分,特积分。

  8. 1.1.3 初值问题 初始条件: 一阶初值问题(柯西问题) 阶初值问题 先求通解,再由初始条件确定任意常数从而得初值解。

  9. 例2求解初值问题 前面已经验证通解为 下略。 1.1.4 积分曲线 1.1.5 初等积分法 无作业。

  10. §1.2 变量可分离方程 , 1.2.1 显式变量可分离方程的解法 1.设 为常数。(不必讨论此种情形)

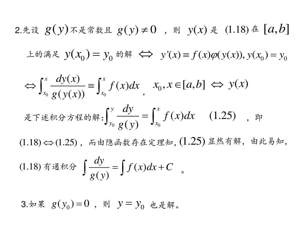
  11. 2.先设 不是常数且 ,则 是 上的满足 的解 , 是下述积分方程的解: ,即 显然有解,由此易知, ,而由隐函数存在定理知, 有通积分 。 3.如果 ,则 也是解。

  12. 例1 。 例2  例3 ,特解 ( 。) 通解

  13. 1.2.2微分形式变量可分离方程的解法   如果 ,则 为解,如果 ,则 为解。 通解 。

  14.  求一曲线 ,使其具有如下性质:曲线 上各点处的切线与切点到原点的向径及 轴围成等腰三角形(以 轴为底边),且过点(1,2)。 解:设 , 如图所示,  由题设有 通解 ,由 故 得

  15. 注1:如果以 为底边,可得方程 ,可化为齐次或变量可分离方程,通解为 注2:如果以 为底边,可得方程 可化为齐次或以 为未知函数的线性方程,通解为 1.2),4),2.2),4),3,5。 作业:

  16. §1.3 齐次方程 1.3.1 齐次方程的解法 。令

  17. 例1 。 ...... 1.3.2第二类可化为变量可分离的方程 显然有 为齐次方程,再考虑

  18. 时, 当 有唯一交点 ,满足 ,则(1.30)化为 令

  19. 时,不妨设 ,则 ,令 ,则 ,变量分离。  例2 。(亦为恰当方程。)

  20.  一船从河边码头A点驶   向对岸码头O点。设河宽 水流速度为 , ,船的速度为 。 如果船总是朝着码头O点的方向       前进,试求航线,并证明船能到     达O点的充要条件是 。 解:如图所示,设 为航线,    ,设船在 速度为 点的合    ,则 , ,

More Related