1 / 49

Gaz de Van der Waals

Gaz de Van der Waals. Modèle. Modèle. réduction de P. Modèle. réduction de P. Modèle. réduction de P:. Modèle. réduction de P:. volume (molaire ) d’exclusion. Modèle. réduction de P:. coefficients de Van der Waals. Coefficients de Van der Waals. Gaz parfait vs. gaz de VdW.

curt
Télécharger la présentation

Gaz de Van der Waals

An Image/Link below is provided (as is) to download presentation Download Policy: Content on the Website is provided to you AS IS for your information and personal use and may not be sold / licensed / shared on other websites without getting consent from its author. Content is provided to you AS IS for your information and personal use only. Download presentation by click this link. While downloading, if for some reason you are not able to download a presentation, the publisher may have deleted the file from their server. During download, if you can't get a presentation, the file might be deleted by the publisher.

E N D

Presentation Transcript


  1. Gaz de Van der Waals

  2. Modèle

  3. Modèle réduction de P

  4. Modèle réduction de P

  5. Modèle réduction de P:

  6. Modèle réduction de P: volume (molaire ) d’exclusion

  7. Modèle réduction de P: coefficients de Van der Waals

  8. Coefficients de Van der Waals

  9. Gaz parfait vs. gaz de VdW

  10. Gaz parfait vs. gaz de VdW

  11. Gaz parfait vs. gaz de VdW

  12. Gaz réel vs. gaz de VdW équilibre de phases liq-vap.

  13. Gaz réel vs. gaz de VdW construction de Maxwell équilibre de phases liq-vap.

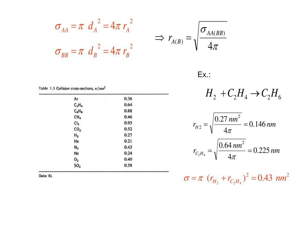
  14. Théorie (simple) des collisions

  15. Collisions bimoléculaires • Modèle de collisions de sphères dures: • Molécules=sphères dures impénétrables • Abstraction de la structure moléculaire pour le calcul de la fréquence de collisions • Ajout de critères (ad-hoc) • Énergétique • Structurale pour le calcul de constantes de vitesse de réactions bimoléculaires

  16. Interactions moléculaires (rappel) r--12ou exp(-r) r--6

  17. Interactions moléculaires (rappel) modèle de sphère dure

  18. Fréquence de collisions bimoléculaires rB rA

  19. Fréquence de collisions bimoléculaires rB rA manqué

  20. Fréquence de collisions bimoléculaires rB rA atteint

  21. Fréquence de collisions bimoléculaires rB rA Section efficace atteint

  22. Ex.:

  23. Fréquence de collisions bimoléculaires volume contenant molécules B (de vitesse v) pouvant atteindre A par unité de temps dans une direction quelconque:

  24. Fréquence de collisions bimoléculaires Nombre de molécules B(de vitesse v) pouvant atteindre A par unité de temps dans une direction quelconque:

  25. Fréquence de collisions bimoléculaires Nombre de molécules B(toute vitesse) pouvant atteindre A par unité de temps dans une direction quelconque:

  26. Fréquence de collisions bimoléculaires Fréquence de collisions A+B:

  27. Fréquence de collisions bimoléculaires Fréquence de collisions A+B:

  28. Fréquence de collisions bimoléculaires Fréquence de collisions A+B: Masse (moléculaire) réduite

  29. Libre-parcours moyen Dans un gaz A(g) pur:

  30. Libre-parcours moyen Dans un gaz A(g) pur: Nombre moyen de collisions subies par 1 A par sec.

  31. Libre-parcours moyen Dans un gaz A(g) pur: Nombre moyen de collisions subies par 1 A par sec. LIBRE-PARCOURS MOYEN de A:

  32. Libre-parcours moyen Dans un gaz A(g) pur: Nombre moyen de collisions subies par 1 A par sec. LIBRE-PARCOURS MOYEN de A:

  33. Libre-parcours moyen Dans un gaz A(g) pur:

  34. Libre-parcours moyen Dans un gaz A(g) pur:

  35. Libre-parcours moyen Dans un gaz A(g) pur: Exemple: pour N2 @ P=1 atm, T=298 K, l ~ 70 nm

  36. Libre-parcours moyen Dans un gaz A(g) pur: Exemple: pour N2 @ P=1 atm, T=298 K, l ~ 70 nm Ordres de grandeur typiques : <v>~350 m/s zA~1 collisions/ ns=109 collisions/s

  37. Fréquence de collisions bimoléculaires SI chaque collision conduit à une réaction A+B=>C Nombre de molécules C produites par sec.=ZAB

  38. Fréquence de collisions bimoléculaires SI chaque collision conduit à une réaction A+B=>C Vitesse de réaction=nombre de MOLES de C produites par sec.

  39. Fréquence de collisions bimoléculaires SI chaque collision conduit à une réaction A+B=>C Vitesse de réaction: (constante de vitesse limite)

  40. Fréquence de collisions bimoléculaires Exemple:

  41. Fréquence de collisions bimoléculaires Exemple:

  42. Fréquence de collisions bimoléculaires Exemple:

  43. Fréquence de collisions bimoléculaires En réalité chaque collision ne conduit pas toujours à une réaction Vitesse de réaction: avec constante de vitesse critère énergétique

  44. Fréquence de collisions bimoléculaires En réalité chaque collision ne conduit pas toujours à une réaction Vitesse de réaction: avec énergie d’activation critère énergétique

  45. Fréquence de collisions bimoléculaires En réalité chaque collision ne conduit pas toujours à une réaction Vitesse de réaction: avec énergie d’activation facteur stérique critère énergétique

  46. Fréquence de collisions bimoléculaires Constante de vitesse d’une réaction bimoléculaire A+B=>C Vitesse de réaction: avec (facteur pré-exponentiel) ARRHÉNIUS

  47. Exemple On a trouvé (expérimentalement):

  48. Exemples

More Related