dooley
Uploaded by
26 SLIDES
452 VUES
260LIKES

第六章 数理统计的基本概念

DESCRIPTION

第六章 数理统计的基本概念. 第一节 随机样本. 第二节 抽样分布. 第一节 随机样本. 总体与个体. 在一个统计问题中,将研究对象的全体称为 总体。 构成总体的每个元素称为 个体。. 由于总体就是一个随机变量 X (或向量 X )或一个概率分布,因此研究总体就是要研究 X 的概率分布或某些特征量。. 样本. 从总体中按一定规则抽出一部分个体的过程称为抽样。所抽得的个体称为 样本。.

1 / 26

Télécharger la présentation

第六章 数理统计的基本概念

An Image/Link below is provided (as is) to download presentation Download Policy: Content on the Website is provided to you AS IS for your information and personal use and may not be sold / licensed / shared on other websites without getting consent from its author. Content is provided to you AS IS for your information and personal use only. Download presentation by click this link. While downloading, if for some reason you are not able to download a presentation, the publisher may have deleted the file from their server. During download, if you can't get a presentation, the file might be deleted by the publisher.

E N D

Presentation Transcript


  1. 第六章 数理统计的基本概念 第一节 随机样本 第二节 抽样分布

  2. 第一节 随机样本 总体与个体 在一个统计问题中,将研究对象的全体称为总体。 构成总体的每个元素称为个体。 由于总体就是一个随机变量X(或向量X)或一个概率分布,因此研究总体就是要研究X的概率分布或某些特征量。 样本 从总体中按一定规则抽出一部分个体的过程称为抽样。所抽得的个体称为样本。

  3. 设X是具有分布函数F的随机变量,若X1,X2,…,Xn是具有同一分布函数F的、相互独立的随机变量,则称X1,X2,…,Xn为来自总体X(或总体F)的样本容量为n的简单随机样本,它们的观察值x1,x2,…,xn称为样本值。设X是具有分布函数F的随机变量,若X1,X2,…,Xn是具有同一分布函数F的、相互独立的随机变量,则称X1,X2,…,Xn为来自总体X(或总体F)的样本容量为n的简单随机样本,它们的观察值x1,x2,…,xn称为样本值。 对于简单随机样本X1,X2,…,Xn,其联合概率分布可以由总体X的分布完全确定。若总体X的分布函数为F(x),则样本X1,X2,…,Xn的联合分布函数为

  4. 又若X具有概率密度f(x),则X1,X2,…,Xn的联合概率密度为又若X具有概率密度f(x),则X1,X2,…,Xn的联合概率密度为 若X的分布律为 则X1,X2,…,Xn的联合分布律为

  5. 例1 设总体X~B(1,p),X1,X2,…,Xn为取自总体X的样本,求样本X1,X2,…,Xn的联合分布(称为样本分布)。 解:X的分布律为 所以样本X1,X2,…,Xn的联合分布律为

  6. 定义1设X1,X2,…,Xn为来自总体X的样本,g(X1,X2,…,Xn)是X1,X2,…,Xn的函数,若g中不含任何未知参数,则称g(X1,X2,…,Xn)为统计量.定义1设X1,X2,…,Xn为来自总体X的样本,g(X1,X2,…,Xn)是X1,X2,…,Xn的函数,若g中不含任何未知参数,则称g(X1,X2,…,Xn)为统计量. 设x1, x2,…,xn是相应于样本X1,X2,…,Xn的样本值,则称g(x1,x2,…,xn)是g(X1,X2,…,Xn)的观察值. 样本平均 样本方差

  7. 样本标准差 样本k阶(原点)矩 样本k阶中心矩

  8. 它们的观察值分别为

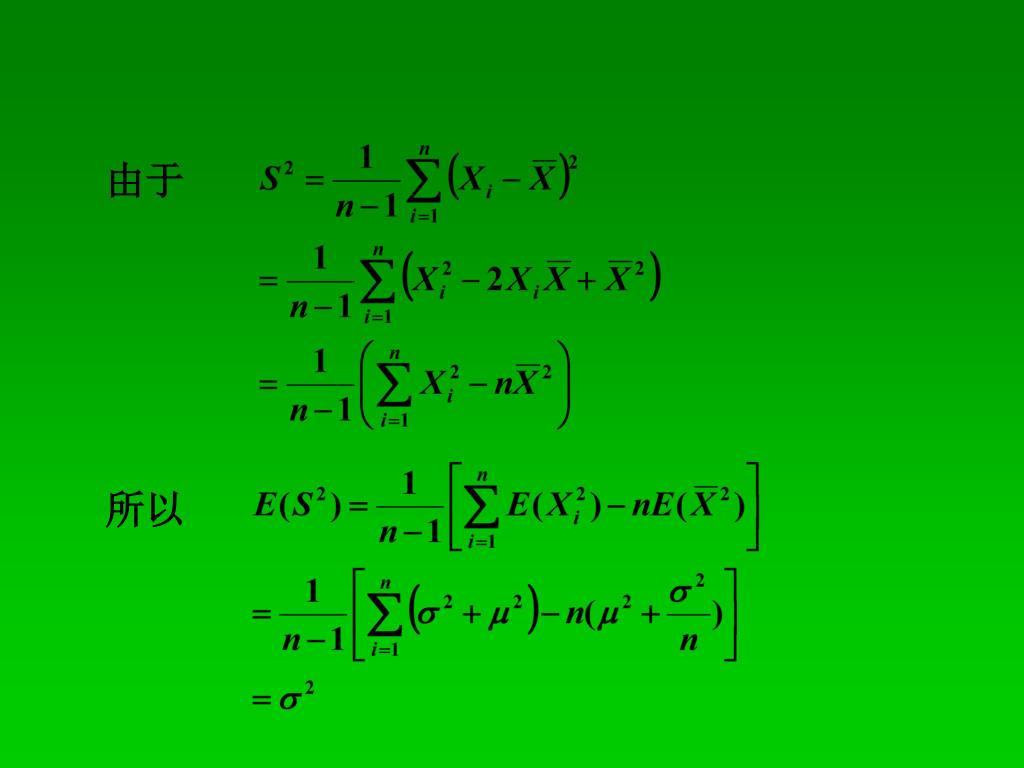
  9. 例2 设总体X的期望、方差分别为 X1,X2,…,Xn为来自总体X的样本,其样本均值和样本方差分别记为 。求

  10. 由于 所以

  11. 1、分布 设X1,X2,…,Xn是来自总体N(0,1)的样本,则统计量 服从自由度为n的 分布,记为 分布的概率分布密度为 第二节 抽样分布

  12. 分布具有以下性质:

  13. 标准正态分布的分位点也类似定义,标准正态分布的上 分位点记为 ,它满足 其中Z~N(0,1)。 对不同的 分布的上 分位点的值已制成表格,可以查用。

  14. 设X~N(0,1),Y~ ,且X与Y相互独立, 则随机变量 服从自由度为n的t分布,记为t~t(n)。 2、t 分布 t(n)分布的概率密度函数为

  15. t(n)分布的概率密度函数 关于t=0单峰对称

  16. 当n很大时t(n)分布接近于标准正态分布,利用Γ函数的性质可以证明当n很大时t(n)分布接近于标准正态分布,利用Γ函数的性质可以证明 t(n)分布的上 分位数记为 , 即 满足 t分布的上 分位数可由附表查得。 当n>45时,有 当n较小时,t(n)分布与N(0,1)分布之间有较大差异。

  17. 且U与V相互独立, 则随机变量 服从自由度为(n1,n2)的F分布,记为F~F(n1,n2) 3、F分布 F(n1,n2)分布的概率密度函数为

  18. 的上 分位点记为 ,即它满足 若F~F(n1,n2),则

  19. 若F~F(n1,n2),则 F分布的上 分位点有如下的性质:

  20. 4、正态总体的样本均值与样本方差的分布

More Related