erin-rosales
Uploaded by
22 SLIDES
435 VUES
220LIKES

Физические основы темной энергии М.Г. Ларионов

DESCRIPTION

Физические основы темной энергии М.Г. Ларионов. Возможные эволюционные изменения мировых констант М.Г. Ларионов. Риман : «пространство на микроскопических масштабах может быть значительно искривленным», Клиффорд : «частица - искривленное пустое пространство»,

1 / 22

Télécharger la présentation

Физические основы темной энергии М.Г. Ларионов

An Image/Link below is provided (as is) to download presentation Download Policy: Content on the Website is provided to you AS IS for your information and personal use and may not be sold / licensed / shared on other websites without getting consent from its author. Content is provided to you AS IS for your information and personal use only. Download presentation by click this link. While downloading, if for some reason you are not able to download a presentation, the publisher may have deleted the file from their server. During download, if you can't get a presentation, the file might be deleted by the publisher.

E N D

Presentation Transcript

Playing audio...

  1. Физические основы темной энергииМ.Г. Ларионов Возможные эволюционные изменения мировых констант М.Г. Ларионов

  2. Риман: «пространство на микроскопических масштабах может быть значительно искривленным», • Клиффорд: «частица - искривленное пустое пространство», • Вейль, Уиллер, Мизнер: «электрический заряд определяет топологию пространства на микроскопических масштабах», • Планк: «квантование энергии, моментов, спинов…», • Вяльцев: «дискретное пространство-время», • Золотарев и Шамшев «квантование материи». • ФИЗИЧЕСКИЙ ВАКУУМ (ФВ) КВАНТУЕТСЯ И ЭЛЕМЕНТОМ КВАНТОВАНИЯ ЯВЛЯЕТСЯ ЯЧЕЙКА С ЭНЕРГИЕЙ (МАССОЙ): ћ/2с=Е= 1,810-45 эрг, mэфф=2,010-66 гр.

  3. Энергетические запасы ВселеннойЕМ=1,41077 эрг • Энергетические запасы ячейки ФВЕ=1,8 10-45 эрг • ЕМ/ Е= 7,710121, значит Вселенная заполнена 7,710121 ячейками (ФВ). • Что это за материя? • Есть три состояния частиц материи: 1. Стабильные частицы. 2. Нестабильные частицы. 3. Виртуальные частицы.

  4. Первые две категории частиц отпадают из-за характера распределения в пространстве и возможности их обнаружения (не барионная). Из не экзотических видов материи остается виртуальная лептонная составляющая. 1. Мы наблюдаем эффект поляризации ФВ (шуба из е-р виртуальных пар). 2. Эффект Казимира (взаимодействие зеркал). 3. Лэмбовский сдвиг атомных уровней. 4. Отличие g-фактора от целочисленного. ФВ – специфическая виртуальная среда для распространения электромагнитного излучения.

  5. Число ячеексм-3:N=/mэфф=(3Ho2)/(4G mэфф); N=1,01037см-3;V=1/N=1,010-37см3; r=2,810-13см r=re=e2/(mc2); Среда ФВ–лептонная составляющ из виртуальных ячеек e-p пар с re=2,810-13см; -------------------------------------------------------------------- Время существования - из условия, что среда ФВ ФВ служит основой для распространения электромагнитного излучения t=re/c= 2,810-13/31010=0,910-23сек. Распространение ЭМ излучения – фазирование спинов виртуальных е-р пар и передача возмущения от ячейки к ячейке. Гиперчастотные колебания виртуальных е-р пар Происходят вне поверхности трехмерного пространства-времени (не макроскопич. движения).

  6. Е t =1,810-450,910-23 = 1,610-68 = Кћ/2 К0,510-27эргсек К=1,610-41=(Gm2)/(e2), К ћ/2 = ĥ/2, ĥ = 3,210-68 эргсек –Константа гравитац. квантования ФВ. К позволяет определить m без доп. предполож. *Свойства не термодинамической среды: 1. Среда ФВ обладает высокой упругостью (с), но в ней нет ни макроскопических движений, ни диссипативных процессов (нет пон.энтропии). Нельзя писать уравнение состояния среды ФВ. 2. Красное смещение z – следствие растяжения ячеек в процессе расширения Вселенной. 3. Спин распространяющегося кванта равен 1 и формируется изспина электрона и позитрона.

  7. 4. Спины нейтрино 0,5, что может означать фазировку спинов либо только виртуальных электронов, либо только виртуальных позитрон. ---------------------------------------------------------------------- ФВ – без энтропийная и не термодинамическая среда , к ней, по-видимому, не применимы Начала термодинамики, в том числе уравнения состояния. Если Е=1,810-45 эрг, то Тэфф=1,310-29К. Разница температур барионной составляющей: Тб=1012 К и виртуальной лептонной - 41 порядок. Поэтому наблюдается слабая связь между барионной составляющей и виртуальной лептонной (ФВ). Тем не менее, взаимодействие может Осуществляться на электродинамическом уровне.

  8. Е=ћ/2c;  - функция Ни Модели. =2Но2/c2;Но=72км/сек/мпк; Е=1,810-45эрг. mэфф=2,010-66гр С точностью до коэфф. 2 энергия Е и mэфф в любой Модели Мира от плоского до замкнутого (сферич.) ------------------------------------------------------------------ qo+o=o/2; o+o=1+(kc2)/(Ho2Ro2), о=с2/3Но2 1. o+o=1, Плоский Мир, k=0, o=1/3,o=2/3. 2. o+o=2, Замкнутый со сфер. симметр. =2cr, cr=3Ho2/8G, qo=0, k=1, o=4/3, o=2/3.

  9. Е=ћ/2c=2/2Ho ћ. Nяч=(c2)/(Е), Nяч=(3Hoc2)/(22GЋ). Vяч=1/ Nяч, rяч3=,(2G Ћ)/(2Hoc2)=(e2/mec2)3. , Ho=2/2(GЋc4me3)/(e6)=2,510-18сек-3, = 76 км/сек/мпк. Если =cr, то Ho=38 км/сек/мпк. Лептонная составляющая: meи e, Квантование: Ћ, глобальная Вселенная:G и c. Всего 5 констант. ---------------------------------------------------------------------- • Предсказания – увеличение с на 2 см/сек/год.

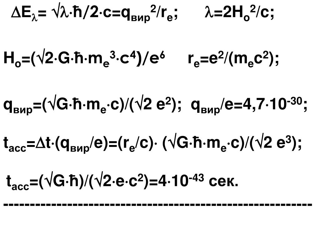
  10. Е= ћ/2с=qвир2/re; =2Ho2/c; Ho=(2Gћme3c4)/e6 re=e2/(mec2); qвир=(Gћmec)/(2 e2); qвир/e=4,710-30; tасс=t(qвир/e)=(re/c) (Gћmec)/(2 e3); tасс=(Gћ)/(2ec2)=410-43сек. ----------------------------------------------------------

  11. Как объяснить это? Модель «плоского» Мира, расши- ряющегося с ускорением, имеет две основные твердые опоры: • Угловык флуктуации фона; 2. Сверхновые. Барионы мы не трогаем, их плот- ность может быть одинаковой.

  12. Сверхновые могут быть видны более слабыми на ~(2m- 2,5m) на больших красных смещениях из-за того, что в модели Мира со сферической симметрией фотометрические расстояния больше по сравнению с моделью «плоского» Мира для одних и тех же красных смещений.

  13. Та=(SэффР)/2к Вклад субмилл. источников равен 35 Ян на кв. град. При диаграмме 30 угл. мин. телесный угол равен 0,25 кв. град. Вклад в диаграмму – 8,5 Ян, что соответствует антенной температуре Та=1,1 mK (при Sэфф=0,4 м2)

  14. В рамках гипотезы квантования ФВ даны параметры элементарных ячеек виртуальной среды ФВ, как лептонной составляющей материи: их массы, размеров, времени нахождения в состоянии материи и анти материи. 2. Найдено значение виртуального заряда в каждой ячейке, как причины расширения Вселенной, и времени асимметрии е-р пар.

  15. 3. Получено значение Но=76км/сек/мпк =(2Gћme3c4)/(2e6), согласующееся с моделью сферического замкнутого Мира. 4. Значение плотности Мира через Мировые «константы»:=(3Gћ2c8me6)/8e12=2,210-29г/см3, 5.Радиуса кривизны и массы Вселенной: R=(2e6)/(2Gћme3c3)=1,21028см; M=(2e6)/(2G2ћme3c)=1,6 1056гр.

  16. Из Е=(Ноћ)/2=mэффс2. mэфф=(Gћ2c2me2)/2c6, (Gme)/re2=Hov aэфф=(G2 c6me5)/2e10=1.710-48см/сек2. a= aэффRo/re=(G ћ c5me3)/c6Ноc=7.510-8 см/сек2.

  17. Но=const и замк. c=НоR, a= Но2R, • t= r/c=const, me=e2/(rec2)=const • e2~R3, G~R3, ћ~R2, c~R, m=const. • Отношение эл. сил к гравита- • ционным и -члену сохраняется. • =e2/(ћc)=const, Сохранение • постоянных взаимодействий приводит к сохранению устой- • чивости структурных образова- ний во Вселенной.

  18. Возраст Вселенной t=(lnR2-lnR1)/Ho От z=10 до наших дней–30 мрд лет. От начала первичной фрагмента- ции (Т=150-200 К) до z=10 еще око- ло 20 мрд. лет. Вот почему в этой модели нет необходимости в привлечении темной материи. Отсутствует проблема сингуляр- ности, так как начальное R=108см.

More Related