gitel
Uploaded by
12 SLIDES
406 VUES
120LIKES

Factorisation par double mise en évidence

DESCRIPTION

Factorisation par double mise en évidence. Remarque:. Tu devrais visionner la présentation: Factorisation par simple mise en évidence.ppt avant de visionner celle-ci. La double mise en évidence est l’opération inverse de la double distributivité. Exemple:. Double distributivité.

1 / 12

Télécharger la présentation

Factorisation par double mise en évidence

An Image/Link below is provided (as is) to download presentation Download Policy: Content on the Website is provided to you AS IS for your information and personal use and may not be sold / licensed / shared on other websites without getting consent from its author. Content is provided to you AS IS for your information and personal use only. Download presentation by click this link. While downloading, if for some reason you are not able to download a presentation, the publisher may have deleted the file from their server. During download, if you can't get a presentation, the file might be deleted by the publisher.

E N D

Presentation Transcript


  1. Factorisation par double mise en évidence Remarque: Tu devrais visionner la présentation: Factorisation par simple mise en évidence.ppt avant de visionner celle-ci.

  2. La double mise en évidence est l’opération inverse de la double distributivité. Exemple: Double distributivité Double mise en évidence xy + 2x + 4y + 8 ( x + 4 ) ( y + 2 ) x ( y + 2 ) + 4 ( y + 2 ) x X y + x X 2 + 4 X y + 4 X 2 x X y + x X 2 + 4 X y + 4 X 2 x ( y + 2 ) + 4 ( y + 2 ) ( x + 4 ) ( y + 2 ) xy + 2x + 4y + 8 Il s’agit donc de mettre en évidence les facteurs constituant l’expression algébrique.

  3. 4 4 x x ( y + 2 ) ( y + 2 ) Il s’agit donc de mettre en évidence les facteurs constituant l’expression algébrique. xy + 2x + 4y + 8 pour ce faire, il faut : Exemple: xy + 2x + 4y + 8 regrouper deux à deux les termes ayant un facteur commun; xy + 2x + 4y + 8 mettre en évidence le facteur commun dans chacun des groupes; x ( ) remettre en évidence les facteurs communs à ces nouveaux groupes. y + 2 + 4 ( ) y + 2 ( x + 4 ) ( y + 2 ) La double mise en évidence s’utilise avec des polynômes à 4 termes. Remarque :

  4. 2 2 y y ( x + 4 ) ( x + 4 ) Il s’agit donc de mettre en évidence les facteurs constituant l’expression algébrique. xy + 2x + 4y + 8 Exemple: on pourrait regrouper les termes différemment; xy + 4y + 2x + 8 regrouper deux à deux les termes ayant un facteur commun; xy + 4y + 2x + 8 mettre en évidence le facteur commun dans chacun des groupes; y( ) x + 4 remettre en évidence les facteurs communs à ces nouveaux groupes. x + 4 + 2 ( ) ( x + 4 ) ( y + 2 )

  5. 2 2 x x ( y + 3 ) ( y + 3 ) Il s’agit donc de mettre en évidence les facteurs constituant l’expression algébrique. xy + 3x + 2y + 6 pour ce faire, il faut : Exemple: xy + 3x + 2y + 6 regrouper deux à deux les termes ayant un facteur commun; xy + 3x + 2y + 6 mettre en évidence le facteur commun dans chacun des groupes; x ( ) remettre en évidence les facteurs communs à ces nouveaux groupes. y + 3 + 2 ( ) y + 3 ( x + 2 ) ( y + 3 ) Remarque : Pour s’assurer d’une bonne factorisation, on vérifie si les deux binômes sont identiques lors de la première mise en évidence.

  6. b b 2 2 ( a + 3 ) ( a + 3 ) 3 3 2x 2x ( 2 + y ) ( 2 + y ) Exemple: ab + 3b + 2a + 6 b ( ) a + 3 a + 3 + 2 ( ) ( b + 2) ( a + 3 ) 4x + 2xy + 6 + 3y Exemple: 2x ( ) + 3 ( ) 2 + y 2 + y ( 2x + 3 ) ( 2 + y )

  7. b b - 4 - 4 ( a + 5 ) ( a + 5 ) a3 a3 b b ( 2b + 3 ) ( 2b + 3 ) Exemple: ab – 20 + 5b - 4a regrouper deux à deux les termes ayant un facteur commun; ab + 5b - 4a - 20 b ( ) a + 5 a + 5 - 4 ( ) obtenir le même binôme; ( b – 4 ) ( a + 5 ) Exemple: 2a3b + 3a3 + 2b2 + 3b a3 ( ) 2b + 3 + b ( ) 2b + 3 ( 2b + 3 ) ( a3 + b )

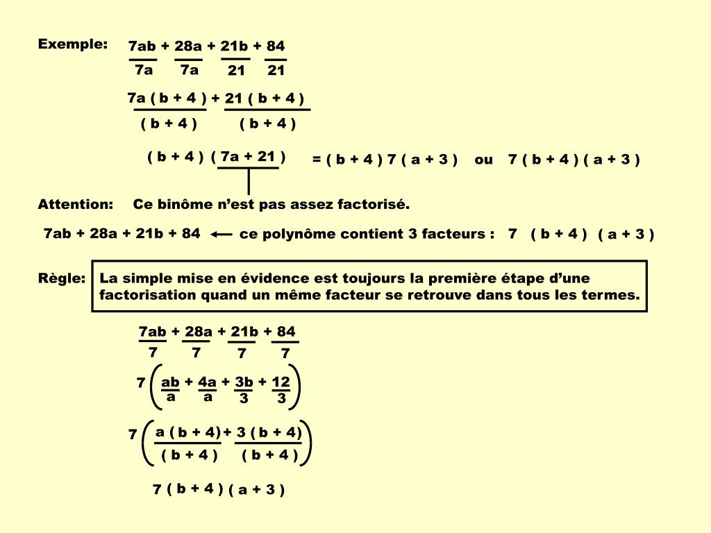
  8. 7a 7a 21 21 ( b + 4 ) ( b + 4 ) Ce binôme n’est pas assez factorisé. ce polynôme contient 3 facteurs : 7 7 7 7 7 a a 3 3 7 ( b + 4 ) ( b + 4 ) Exemple: 7ab + 28a + 21b + 84 7a ( ) b + 4 b + 4 + 21 ( ) ( 7a + 21 ) ( b + 4 ) = ( b + 4 ) 7 ( a + 3 ) ou 7 ( b + 4 ) ( a + 3 ) Attention: 7ab + 28a + 21b + 84 7 ( b + 4 ) ( a + 3 ) Règle: La simple mise en évidence est toujours la première étape d’une factorisation quand un même facteur se retrouve dans tous les termes. 7ab + 28a + 21b + 84 ab + 4a + 3b + 12 a ( ) b + 4 + 3 ( ) b + 4 ( b + 4 ) 7 ( a + 3 )

  9. 2 2 2 2 2 x x 2 2 2 ( y - 4 ) ( y - 4 ) 2xy - 8x + 4y - 16 Exemple: xy - 4x + 2y - 8 x ( ) y - 4 + 2 ( ) y - 4 ( x + 2 ) ( y - 4 ) 2

  10. x x 1 1 ( y + 3 ) ( y + 3 ) xy + 3x + y + 3 Factorise: 1 1 Rappel : Factorise ( y + 3 ) 1) PGCF: 1 y + 3 2) Diviser chaque terme par le PGCF. 3) Mettre le PGCF en évidence. 1 ( ) y + 3 x ( ) + 1 ( ) y + 3 y + 3 ( x + 1 ) ( y + 3 )

  11. ( a – 3 ) ( a – 3 ) ( 2a + b a + 3b ) ( a – 3 ) + ( a – 3 ) ( 3a + 4b ) Factorise ( 2a + b ) ( a – 3 ) + ( a + 3b ) ( a – 3 ) P.G.C.F. : ( a – 3 ) ( 2a + b ) ( a – 3 ) + ( a + 3b ) ( a – 3 ) ( 2a + b ) ( a + 3b ) ( a – 3 ) +

  12. Démarche exigée ab + 3b + 2a + 6 b ( ) a + 3 a + 3 + 2 ( ) ( b + 2) ( a + 3 ) Remarque: La double mise en évidence est une des étapes de la factorisation de trinômes de la forme ax2 + bx + c.

More Related