1 / 105

Renormalization and Lorentz violation

Damiano Anselmi based on the papers arxiv:0707.2480 [hep-th] (PRD), with M. Halat, arxiv:0801.1216 [hep-th] (JHEP), arXiv:0808.3470 [hep-th], arXiv:0808.3474 [hep-th] and arXiv:0808.3475 [hep-ph]. Renormalization and Lorentz violation.

jane
Télécharger la présentation

Renormalization and Lorentz violation

An Image/Link below is provided (as is) to download presentation Download Policy: Content on the Website is provided to you AS IS for your information and personal use and may not be sold / licensed / shared on other websites without getting consent from its author. Content is provided to you AS IS for your information and personal use only. Download presentation by click this link. While downloading, if for some reason you are not able to download a presentation, the publisher may have deleted the file from their server. During download, if you can't get a presentation, the file might be deleted by the publisher.

E N D

Presentation Transcript


  1. Damiano Anselmi based on the papers arxiv:0707.2480 [hep-th] (PRD), with M. Halat, arxiv:0801.1216 [hep-th](JHEP), arXiv:0808.3470 [hep-th], arXiv:0808.3474 [hep-th] and arXiv:0808.3475 [hep-ph] Renormalization and Lorentz violation

  2. Lorentz symmetry is a basic ingredient of the Standard Model of particles physics.

  3. Lorentz symmetry is a basic ingredient of the Standard Model of particles physics. However, several authors have argued that at high energies Lorentz symmetry and possibly CPT could be broken.

  4. Lorentz symmetry is a basic ingredient of the Standard Model of particles physics. However, several authors have argued that at high energies Lorentz symmetry and possibly CPT could be broken. The Lorentz violating parameters of the Standard Model (Colladay-Kostelecky) extended in the power-counting renormalizable sector have been measured with great precision.

  5. Lorentz symmetry is a basic ingredient of the Standard Model of particles physics. However, several authors have argued that at high energies Lorentz symmetry and possibly CPT could be broken. The Lorentz violating parameters of the Standard Model (Colladay-Kostelecky) extended in the power-counting renormalizable sector have been measured with great precision. It turns out that Lorentz symmetry is a very precise symmetry of Nature, at least in low-energy domain.

  6. Lorentz symmetry is a basic ingredient of the Standard Model of particles physics. However, several authors have argued that at high energies Lorentz symmetry and possibly CPT could be broken. The Lorentz violating parameters of the Standard Model (Colladay-Kostelecky) extended in the power-counting renormalizable sector have been measured with great precision. It turns out that Lorentz symmetry is a very precise symmetry of Nature, at least in low-energy domain. Several parameters have bounds

  7. The set of power-counting renormalizable theories is considerably “small”

  8. The set of power-counting renormalizable theories is considerably “small” Relaxing some assumptions can enlarge it, but often it enlarges it too much

  9. The set of power-counting renormalizable theories is considerably “small” Relaxing some assumptions can enlarge it, but often it enlarges it too much Without locality in principle every theory can be made finite

  10. The set of power-counting renormalizable theories is considerably “small” Relaxing some assumptions can enlarge it, but often it enlarges it too much Without locality in principle every theory can be made finite Without unitarity even gravity can be renormalized

  11. The set of power-counting renormalizable theories is considerably “small” Relaxing some assumptions can enlarge it, but often it enlarges it too much Without locality in principle every theory can be made finite Without unitarity even gravity can be renormalized Relaxing Lorentz invariance appears to be interesting in its own right

  12. The set of power-counting renormalizable theories is considerably “small” Relaxing some assumptions can enlarge it, but often it enlarges it too much Without locality in principle every theory can be made finite Without unitarity even gravity can be renormalized Relaxing Lorentz invariance appears to be interesting in its own right It could be useful to define the ultraviolet limit of quantum gravity, to study extensions of the Standard Model, effective field theories, nuclear physics, and the theory of critical phenomena

  13. The set of power-counting renormalizable theories is considerably “small” Relaxing some assumptions can enlarge it, but often it enlarges it too much Without locality in principle every theory can be made finite Without unitarity even gravity can be renormalized Relaxing Lorentz invariance appears to be interesting in its own right It could be useful to define the ultraviolet limit of quantum gravity, to study extensions of the Standard Model, effective field theories, nuclear physics, and the theory of critical phenomena Here we are interested in the renormalization of Lorentz violating theories obtained improving the behavior of propagators with the help of higher space derivatives and study under which conditions no higher time derivatives are turned on

  14. The set of power-counting renormalizable theories is considerably “small” Relaxing some assumptions can enlarge it, but often it enlarges it too much Without locality in principle every theory can be made finite Without unitarity even gravity can be renormalized Relaxing Lorentz invariance appears to be interesting in its own right It could be useful to define the ultraviolet limit of quantum gravity, to study extensions of the Standard Model, effective field theories, nuclear physics, and the theory of critical phenomena Here we are interested in the renormalization of Lorentz violating theories obtained improving the behavior of propagators with the help of higher space derivatives and study under which conditions no higher time derivatives are turned on Some models are already in use in the theory of critical phenomena to describe the critical behavior at Lifshitz points, with a variety of applications to real physical systems

  15. Scalar fields

  16. Scalar fields

  17. Scalar fields Start from the free theory

  18. Scalar fields Start from the free theory This free theory is invariant under the “weighted” scale transformation

  19. Scalar fields Start from the free theory This free theory is invariant under the “weighted” scale transformation Add vertices constructed with , and .

  20. Scalar fields Start from the free theory This free theory is invariant under the “weighted” scale transformation Add vertices constructed with , and . Call their degrees under N = number of legs, = extra label

  21. Scalar fields Start from the free theory This free theory is invariant under the “weighted” scale transformation Add vertices constructed with , and . Call their degrees under N = number of legs, = extra label

  22. Other quadratic terms can be treated as “vertices” for the purposes of renormalization

  23. Other quadratic terms can be treated as “vertices” for the purposes of renormalization Consider a diagram G with L loops, I internal legs, E external legs and vertices of type (N , )

  24. Other quadratic terms can be treated as “vertices” for the purposes of renormalization Consider a diagram G with L loops, I internal legs, E external legs and vertices of type (N , )

  25. Other quadratic terms can be treated as “vertices” for the purposes of renormalization Consider a diagram G with L loops, I internal legs, E external legs and vertices of type (N , ) is a weighted measure of degree

  26. Other quadratic terms can be treated as “vertices” for the purposes of renormalization Consider a diagram G with L loops, I internal legs, E external legs and vertices of type (N , ) is a weighted measure of degree is a homogeneous weighted function of degree

  27. Other quadratic terms can be treated as “vertices” for the purposes of renormalization Consider a diagram G with L loops, I internal legs, E external legs and vertices of type (N , ) is a weighted measure of degree is a homogeneous weighted function of degree Its overall divergent part is a homogeneous weighted polynomial of degree

  28. Using the standard relations

  29. Using the standard relations we get Where

  30. Using the standard relations we get Where Renormalizable theories have

  31. Using the standard relations we get Where Renormalizable theories have Indeed implies

  32. Homogeneous (i.e. strictly renormalizable) theories have

  33. Homogeneous (i.e. strictly renormalizable) theories have Writing we see that polynomiality demands

  34. Homogeneous (i.e. strictly renormalizable) theories have Writing we see that polynomiality demands and the maximal number of legs is

  35. Homogeneous (i.e. strictly renormalizable) theories have Writing we see that polynomiality demands and the maximal number of legs is E = 2 implies 2

  36. Homogeneous (i.e. strictly renormalizable) theories have Writing we see that polynomiality demands and the maximal number of legs is E = 2 implies 2 E > 2 implies < 2

  37. Homogeneous (i.e. strictly renormalizable) theories have Writing we see that polynomiality demands and the maximal number of legs is Conclusion: renormalization does not turn on higher time derivatives E = 2 implies 2 E > 2 implies < 2

  38. Homogeneous models

  39. Homogeneous models

  40. Homogeneous models They are classically weighted scale invariant, namely invariant under

  41. Homogeneous models They are classically weighted scale invariant, namely invariant under The weighted scale invariance is anomalous at the quantum level

  42. Homogeneous models They are classically weighted scale invariant, namely invariant under The weighted scale invariance is anomalous at the quantum level Case Nmax = 4 :

  43. Homogeneous models They are classically weighted scale invariant, namely invariant under The weighted scale invariance is anomalous at the quantum level Case Nmax = 4 :

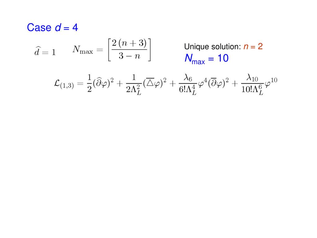
  44. Case d = 4

  45. Case d = 4

  46. Case d = 4 Unique solution: n = 2 Nmax = 10

  47. Case d = 4 Unique solution: n = 2 Nmax = 10

  48. Case d = 4 Unique solution: n = 2 Nmax = 10

More Related