1 / 27

Rotation of the Galaxy

Rotation of the Galaxy. Determining the rotation when we are inside the disk rotating ourselves. 23.5 °. 39.1 °.

kiefer
Télécharger la présentation

Rotation of the Galaxy

An Image/Link below is provided (as is) to download presentation Download Policy: Content on the Website is provided to you AS IS for your information and personal use and may not be sold / licensed / shared on other websites without getting consent from its author. Content is provided to you AS IS for your information and personal use only. Download presentation by click this link. While downloading, if for some reason you are not able to download a presentation, the publisher may have deleted the file from their server. During download, if you can't get a presentation, the file might be deleted by the publisher.

E N D

Presentation Transcript


  1. Rotation of the Galaxy

  2. Determining the rotation when we are inside the disk rotating ourselves 23.5° 39.1° To determine the rotation curve of the Galaxy, we will introduce a more convenient coordinate system, called the Galactic coordinate system. Note that the plane of the solar system is not the same as the plane of the Milky Way disk, and the Earth itself is tipped with respect to the plane of the solar system. The Galactic midplane is inclined at an angle of 62.6 degrees from the celestial equator, as shown above.

  3. The Galactic midplane is inclined 62.6° with the plane of the celestial equator. We will introduce the Galactic coordinate system. l=0° Galactic longitute (l) is shown here l l=90° l=270° l=180°

  4. Galactic latitude(b) is shown here b

  5. Galactic Coordinate System: b l

  6. Assumptions: • Motion is circular constant velocity, constant radius • Motion is in plane only (b = 0) no expansion or infall l = 180 w0 Q0 l = 90 l = 270 l d w Q R0 R R0 Radius distance of  from GC R Radius distance of  from  d Distance of  to  Q0 Velocity of revolution of  Q Velocity of revolution of  w0 Angular speed of  w Angular speed of  GC l = 0 w (rad/s)

  7. Keplerian Model for [l = 0, 180]:  l = 180 vR = 0 Q1 vR = 0 Q0 R0 d vR = 0 Q2 R GC l = 0

  8. Keplerian Model for [l = 45, 135]: Q1R Q0R-Q1R = vR < 0 w1 Q1 Star moving toward sun l = 180 l = 180 R > R0 R > R0 Q0R w0 w0 Q0 Q0 45 45 l = 270 l = 90 Q0R 45 45 d d w2 R0 R0 Q2 Q2R Q0R-Q2R = vR > 0 R < R0 R < R0 Star moving away from sun GC GC l = 0 l = 0

  9. Keplerian Model for [l for all angles]: Outer Star Leading Inner Star (moving away from Sun) Leading Star At Same Radius Inner Leading Star Lagging Outer Star (moving away From Sun) Lagging Star At Same Radius Inner Leading Star Lagging Outer Star (moving towards Sun) Leading Inner Star (moving towards Sun) R > R0 R < R0 R < R0 R = R0 R = R0 At 90 and 270, vR is zero for small d since we can assume the Sun and star are on the same circle and orbit with constant velocity.

  10. What is the angle g? Q0 We have two equations: d + l + a = 90 (1) l d + l + g = 180 (2) d d l If we subtract (1) from (2), i.e. (2) – (1): 90-a g  g - a = 90 g = 90 + a a l R0 Q d QR QT R d GC

  11. c A B a b C Now let us derive the speed of s relative to the , vR (radial component). Q0 Relative speed, vR = QR – Q0R = Q·cosa – Q0·sinl l Q0R = Q0 sinl l d We now can employ the Law of Sines d l 90-a 90 +a a l R0 Q d QR = Q cosa R GC

  12. Therefore, From v = Rw, we may substitute the angular speeds for the star and Sun,

  13. Now let us derive the speed of s relative to the , vT (tangential component). Q0 vT = QT – Q0T= Q·sina – Q0·cosl l Q0T = Q0 cosl l d d l 90-a 90 +a a l R0 Q d QT = Q sina R GC

  14. Therefore, l R0sin(90-l)=R0cosl d 90 +a Rsina R0 90 -a R Rcosa a 90 -l GC

  15. Summarizing, we have two equations for the relative radial and tangential velocities:

  16. Now we will make an approximation. We can work equally with w(R) or v(R) for the following approximation. Here we will work with w(R). Let us write R=R0+DR. Then, the Taylor Expansion yields

  17. Here we make the approximation to retain only the first term in the expansion: If we continue the analysis for speed, we would use the substitution: Q=Rw. Therefore, w=Q/R. The derivative term on the right-hand side of the equation must be evaluated after substitution by using the Product Rule. Therefore, the radial relative speed between the Sun and neighboring stars in the galaxy is written as

  18. d dcos(l) l R R0 When d<<R0, then we can also make the small-angle approximation: R0=R+dcos(l).  Using the sine of the double angle, viz. We may abbreviate the relation to where

  19. If we then focus our attention to the transverse relative speed, vT, we begin with Picking up on the lessons learned from the previous analysis, we write simply Using the cosine of the double angle, viz. Because RR0, ww0, which implies the last term is written as:

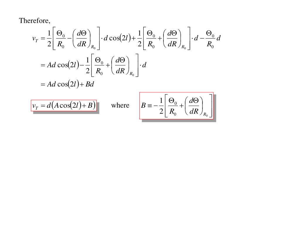
  20. Therefore, where

  21. Summarizing, where The units for A and B are or

  22. We can define a new quantity that is unit-dependent. So that the transverse relative speed becomes when [d] = parsec, [vT] = km/s. The angular speed of the Sun around the Galactic Center is found algebraically Likewise, the gradient of the rotation curve at the Sun’s distance from the Galactic Center is

  23. The quantities used can all be measured or calculated if the following order is obeyed.

  24. So, summarizing, for stars in the local neighborhood (d<<R0), Oort came up with the following approximations: Vr=Adsin2l Vt= =d(Acos2l+B) Where the Oort Constants A, B are: w0=A-B dQ/dR |R0 = -(A+B)

  25. Keplarian Rotation curve

  26. Dark Matter Halo • M = 55  1010 Msun • L=0 • Diameter = 200 kpc • Composition = unknown! 90% of the mass of our Galaxy is in an unknown form

More Related