1 / 68

Chapter 7: Vectors and the Geometry of Space

Chapter 7: Vectors and the Geometry of Space. Section 7.1 Vectors in the Plane. Written by Dr. Julia Arnold Associate Professor of Mathematics Tidewater Community College, Norfolk Campus, Norfolk, VA With Assistance from a VCCS LearningWare Grant.

kipp
Télécharger la présentation

Chapter 7: Vectors and the Geometry of Space

An Image/Link below is provided (as is) to download presentation Download Policy: Content on the Website is provided to you AS IS for your information and personal use and may not be sold / licensed / shared on other websites without getting consent from its author. Content is provided to you AS IS for your information and personal use only. Download presentation by click this link. While downloading, if for some reason you are not able to download a presentation, the publisher may have deleted the file from their server. During download, if you can't get a presentation, the file might be deleted by the publisher.

E N D

Presentation Transcript


  1. Chapter 7: Vectors and the Geometry of Space Section 7.1 Vectors in the Plane Written by Dr. Julia Arnold Associate Professor of Mathematics Tidewater Community College, Norfolk Campus, Norfolk, VA With Assistance from a VCCS LearningWare Grant

  2. In this first lesson on vectors, you will learn: • Component Form of a Vector • Vector Operations; • Standard Unit Vectors; • Applications of Vectors. What is a vector? Many quantities in geometry and physics can be characterized by a single real number: area, volume, temperature, mass and time. These are defined as scalar quantities. Quantities such as force, velocity, and acceleration involve both magnitude and direction and cannot be characterized by a single real number. To represent the above quantities we use a directed line segment.

  3. What is a directed line segment? First let us look at a directed line segment: Q This line segment has a beginning, (the dot) and an ending (the arrow point). P We call the beginning point the “initial point” . Here we have called it P. The ending point (arrow point) is called the “terminal point” and here we have called it Q. The vector is the directed line segment and is denoted by In some text books vectors will be denoted by bold type letters such as u, v, or w.

  4. However, we will denote vectors the same way you will denote vectors by writing them with an arrow above the letter. It doesn’t matter where a vector is positioned. All of the following vectors are considered equivalent. because they are pointing in the same direction and the line segments have the same length.

  5. How can we show that two vectors and are equivalent? Suppose is the vector with initial point (0,0) and terminal point (6,4), and is the vector with initial point (1,2) and terminal point (7,6) . Since a directed line segment is made up of its magnitude (or length) and its direction, we will need to show that both vectors have the same magnitude and are going in the same direction. Looks verify but are not proof.

  6. How can we show that two vectors and are equivalent? The symbol we use to denote the magnitude of a vector is what looks like double absolute value bars. Thus represents the magnitude or length of the vector . Both vectors have the same length, verified by using the distance formula. To show that the two vectors have the same direction we compute the slope of the lines. (0,0) and (6,4) Since they are also equal we (1,2) and (7,6) . Conclude the vectors are equal

  7. What is standard position for a vector in the plane? Since all vectors of the same magnitude and direction are considered equal, we can position all vectors so that their initial point is at the origin of the Cartesian coordinate system. Thus the terminal point would represent the vector. Would be the vector whose terminal point would be (v1,v2) and initial point (0,0) The notation is referred to as the component form of v. v1 and v2 are called the components of v. If the initial point and terminal point are both (0,0) then we call this the zero vector denoted as .

  8. Here is the formula for putting a vector in standard position: If P(p1,p2) and Q(q1,q2) represent the initial point and terminal point respectively of a vector, then the component form of the vector PQ is given by: And the length is given by:

  9. Special Vectors If represents the vector v in standard position from P(0,0) to Q(v1,v2) and if the length of v, Then is called a unit vector. The length of a vector v may also be called the norm of v. If then v is the zero vector .

  10. Vector Operations: Now we need to define vector addition and scalar multiplication. We will start with addition and look at the geometric interpretation. Move the first vector into standard position.

  11. Vector Operations: Now we need to define vector addition and scalar multiplication. We will start with addition and look at the geometric interpretation.

  12. Vector Operations: Now we need to define vector addition and scalar multiplication. We will start with addition and look at the geometric interpretation.

  13. Vector Operations: Now we need to define vector addition and scalar multiplication. We will start with addition and look at the geometric interpretation. Move the second vector so that its initial point is at the terminal point of the first vector.

  14. Vector Operations: Now we need to define vector addition and scalar multiplication. We will start with addition and look at the geometric interpretation. Move the second vector so that its initial point is at the terminal point of the first vector.

  15. Vector Operations: Now we need to define vector addition and scalar multiplication. We will start with addition and look at the geometric interpretation. Move the second vector so that its initial point is at the terminal point of the first vector.

  16. Vector Operations: Now we need to define vector addition and scalar multiplication. We will start with addition and look at the geometric interpretation. Move the second vector so that its initial point is at the terminal point of the first vector.

  17. Vector Operations: Now we need to define vector addition and scalar multiplication. We will start with addition and look at the geometric interpretation. Move the second vector so that its initial point is at the terminal point of the first vector.

  18. Vector Operations: Now we need to define vector addition and scalar multiplication. We will start with addition and look at the geometric interpretation. Move the second vector so that its initial point is at the terminal point of the first vector.

  19. Vector Operations: Now we need to define vector addition and scalar multiplication. We will start with addition and look at the geometric interpretation. Move the second vector so that its initial point is at the terminal point of the first vector.

  20. Vector Operations: Now we need to define vector addition and scalar multiplication. We will start with addition and look at the geometric interpretation. Move the second vector so that its initial point is at the terminal point of the first vector.

  21. Vector Operations: Now we need to define vector addition and scalar multiplication. The result or the resultant vector is the one with initial point the origin and the terminal point at the endpoint of vector v. Is written in standard position. See that the resultant vector can be found by adding the components of the vectors, u and v.

  22. Vector Operations: Now we need to define vector addition and scalar multiplication. Notice, that if vector v is moved to standard position. The resultant vector becomes the diagonal of a parallelogram.

  23. Vector Operations: Now we need to define vector addition and scalar multiplication. Notice, that if vector v is moved to standard position. The resultant vector becomes the diagonal of a parallelogram.

  24. If and then the vector sum of u and v is Next we look at a scalar multiple of a vector, Example: Suppose we have a vector that we double. Geometrically, that would mean it would be twice as long, but the direction would stay the same. Thus only the length is affected. If then

  25. If and then the vector sum of u and v is If and k is a scalar then Since -1 is a scalar, the negative of a vector is the same as multiplying by the scalar -1. So, Example: The negative of the vector would become Making the terminal point in the opposite direction of the original terminal point.

  26. If and then the vector sum of u and v is If and k is a scalar then The negative of is Lastly, we examine the difference of two vectors: using the definition of the sum of two vectors and the negative of a vector.

  27. Geometrically, what is the difference? Let u and v be the vectors below. What is u – v? vectors u and v are in standard position. Now, create the vector -v

  28. Geometrically, what is the difference? Let u and v be the vectors below. What is u – v? vectors u and v are in standard position. Now, create the vector -v

  29. Geometrically, what is the difference? Use the parallelogram principle to draw the sum of u - v

  30. How do and relate to our parallelogram?

  31. How do and relate to our parallelogram?

  32. How do and relate to our parallelogram?

  33. How do and relate to our parallelogram?

  34. How do and relate to our parallelogram?

  35. How do and relate to our parallelogram? They are both diagonals of the parallelogram.

  36. If and then the vector sum of u and v is If and k is a scalar then The negative of is If and then the vector difference of u and v is

  37. Vector Properties of Operations Let be vectors in the plane and let c, and d be scalars. The commutative property: The associative property: Additive Identity Property: Additive Inverse Property: Associative Property with scalars: Distributive Property: Distributive Property: Also

  38. The length of a scalar multiple of a vector is the length of the vector times the scalar as was shown earlier and here again. If then Every non-zero vector can be made into a unit vector: Proof: First we will show that has length 1. Since is just a scalar multiple of , they are both going in the same direction.

  39. The process of making a non-zero vector into a unit vector in the direction of is called the normalization of . Thus, to normalize the vector , multiply by the scalar . Example: Normalize the vector and show that the new vector has length 1. Multiply by Now we will show that the normalized vector has length 1.

  40. Standard Unit Vectors The unit vectors <1,0> and <0,1> are called the standard unit vectors in the plane and are denoted by the symbols respectively. Using this notation, we can write a vector in the plane in terms of the vectors as follows: is called a linear combination of . The scalars are called the horizontal and vertical components of respectively.

  41. Writing a vector in terms of sin and cos . Let be a unit vector in standard position that makes an angle with the x axis. Thus

  42. Writing a vector in terms of sin and cos continued. Let be a non-zero vector in standard position that makes an angle with the x axis. Since we can make the vector v a unit vector by multiplying by the reciprocal of its length it follows that Example: Suppose vector v has length 4 and makes a 30o angle with the positive x-axis. First we use the radian measure for

  43. Sample Problems Find the component form of the vector v and sketch the vector in standard position with the initial point at the origin. Example 1: (-1,4) (3,1)

  44. Sample Problems Find the component form of the vector v and sketch the vector in standard position with the initial point at the origin. Example 1: (-1,4) <-4,3> (3,1)

  45. Example 2: Given the initial point <1,5> and terminal point <-3,6>, sketch the given directed line segment and write the vector in component form and finally sketch the vector in standard position.

  46. Example 2: Given the initial point <1,5> and terminal point <-3,6>, sketch the given directed line segment and write the vector in component form and finally sketch the vector in standard position. Solution: <-3-1,6-5>=<-4,1>

  47. Example 3: Use the graph below to sketch

  48. Example 3: Use the graph below to sketch First double the length of Next move into standard position. Now move into standard position Complete the parallelogram and draw the diagonal.

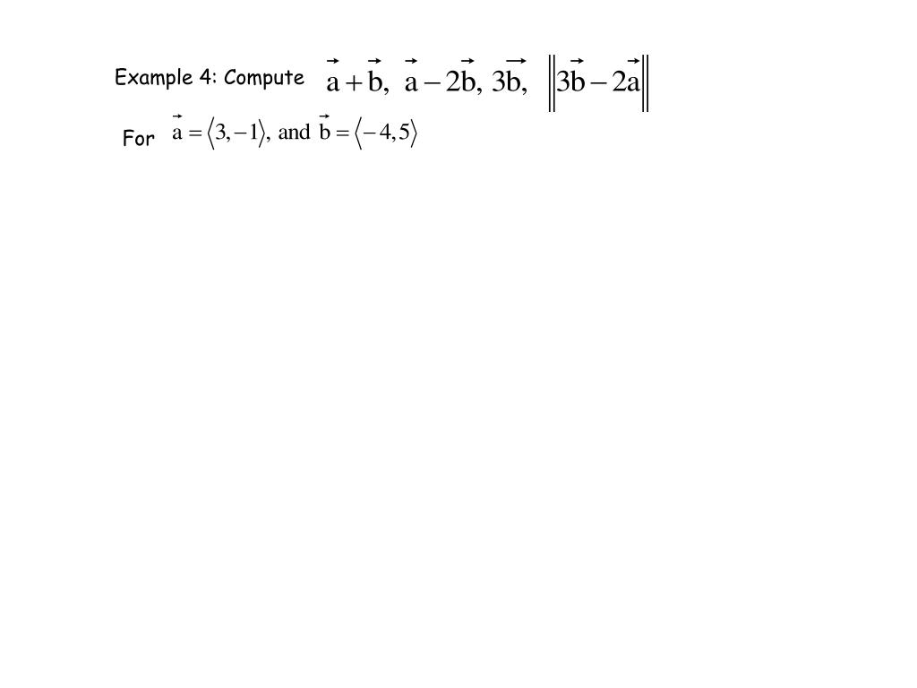
  49. Example 4: Compute For

More Related