1 / 26

Ukuran Kemiringan dan Keruncingan

Ukuran Kemiringan dan Keruncingan. OLEH: RATU ILMA INDRA PUTRI. Ukuran Kemiringan

lada
Télécharger la présentation

Ukuran Kemiringan dan Keruncingan

An Image/Link below is provided (as is) to download presentation Download Policy: Content on the Website is provided to you AS IS for your information and personal use and may not be sold / licensed / shared on other websites without getting consent from its author. Content is provided to you AS IS for your information and personal use only. Download presentation by click this link. While downloading, if for some reason you are not able to download a presentation, the publisher may have deleted the file from their server. During download, if you can't get a presentation, the file might be deleted by the publisher.

E N D

Presentation Transcript


  1. UkuranKemiringandanKeruncingan • OLEH: • RATU ILMA INDRA PUTRI

  2. UkuranKemiringan • Ukurankemiringanadalahukuran yang menyatakansebuah model distribusi yang mempunyaikemiringantertentu. Apabiladiketahuibesarnyanilaiukuraninimakadapatdiketahui pula bagaimana model distribusinya, apakahdistribusiitusimetrik, positif, ataunegatif.

  3. Berikutinidiberikanketigamacam model distribusitersebut. Untukmengetahuiapakahsekumpulan data mengikuti model distribusipositif, negatif, atausimetrik, halinidapatdilihatberdasarkannilaikoefisienkemiringannya.

  4. Menurut Pearson adabeberaparumusuntukmenghitungkoefisienkemiringannya, yaitu :

  5. Koefisienkemiringan (Modus) • Koefisienkemiringan = • dimana : = rata-rata, Mo = Modus, s = simpanganbaku

  6. Koefisienkemiringan (Median) • KoefisienKemiringan = • dimana : = rata-rata, Mo = Median, s = simpanganbaku

  7. Koefisienkemiringanmenggunakannilaikuartil • Koefisienkemiringannya = • dimana : K1 = kuartilkesatu, K2 = kuartilkedua, K3 = kuartilketiga

  8. Menurut Pearson, darihasilkoefisienkemitingandiatas, adatiga criteria untukmengetahui model distribusidarisekumpulan data (baik data berkelompokmaupun data tidakberkelompok), yaitu : • Jikakoefisienkemiringan < 0, makabentukdistribusinyanegatif • Jikakoefisienkemiringan = 0, makabentukdistribusinyasimetrik • Jikakoefisienkemiringan > 0, makabentukdistribusinyapositif

  9. Contohsoal Misalkanberatbadanbayi (dicatatdalam Kg) yang barulahirdirumahsakitbersalin “Bunda” dapatdilihatdalamtabelberikut. Hitungkoefisienkemiringannyadenganmenggunakannilaikuartil

  10. Penyelesaian : koefisienkemiringannya =

  11. Q1 = ………… ? • Q1 = n • Q1 = 28 • Q1 = 7 (kelas interval ke 3) • Maka Q1 = Tb + p • ` ` • = 2,85 + 0,2 • = 2,85 + 0,08 • = 2,93

  12. Q2 = ………… ? • Q2 = n • Q2 = 28 • Q2 = 14 (kelas interval ke 4) • Maka Q2 = Tb + p • ` `= 3,05 + 0,2 • = 3,05 + 0,11 • = 3,16

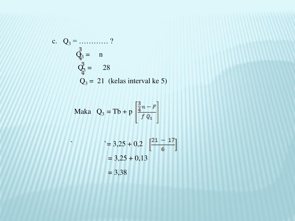
  13. Q3 = ………… ? • Q3 = n • Q3 = 28 • Q3 = 21 (kelas interval ke 5) • Maka Q3 = Tb + p • ` `= 3,25 + 0,2 • = 3,25 + 0,13 • = 3,38

  14. Sehinggakoefisienkemiringannya = = = = - 0,022

  15. UkuranKeruncingan (Kurtosis) • Ukurankeruncinganadalahkepuncakandarisuatudistribusi, biasanyadiambilrelatifterhadapdistribusi normal. Sebuahdistribusi yang mempunyaipuncakrelatiftinggidinamakanleptokurtik, sebuahdistribusimempunyaipuncakmendatardinamakanplatikurtik,distribusi normal yang puncaknyatidakterlalutinggiatautidakmendatardinamakanmesokurtik.

  16. Untukmengetahuiapakahsekumpulan data mengikutidistribusileptokurtik, platikurtik, danmesokurtik, halinidapatdilihatberdasarkankoefisienkurtosisnya.

  17. Untukmenghitungkoefisien kurtosis digunakanrumus Dimana K1 = Kuartilkesatu K2 = Kuartilkedua P10 = Persentilke 10 P90 = Persentilke 90

  18. Dari hasilkoefisien kurtosis diatas, adatiga criteria untukmengetahui model distribusidarisekumpulan data, yaitu : • Jikakoefisienkurtosisnya < 0,263 makadistribusinyaadalahplatikurtik • Jikakoefisienkurtosisnya = 0,263 makadistribusinyaadalahmesokurtik • Jikakoefisienkurtosisnya > 0,263 makadistribusinyaadalahleptokurtik

  19. Contohsoal Misalkanberatbadanbayi (dicatatdalam Kg) yang barulahirdirumahsakitbersalin “Bunda” dapatdilihatdalamtabelberikut. Hitungkoefisienkurtosisnya

  20. Penyelesaian :

  21. Q1 = ………… ? • Q1 = n • Q1 = 28 • Q1 = 7 (kelas interval ke 3) • Maka Q1 = Tb + p • ` ` • = 2,85 + 0,2 • = 2,85 + 0,08 • = 2,93

  22. Q3 = ………… ? • Q3 = n • Q3 = 28 • Q3 = 21 (kelas interval ke 5) • Maka Q3 = Tb + p • ` `= 3,25 + 0,2 • = 3,25 + 0,13 • = 3,38

  23. P10 = ………… ? • P10 = n • P10 = 28 • P10 = 2,8 (kelas interval ke 2) • maka P10 = Tb + p • ` `= 2,65 + 0,2 • = 2,65 + 0,05 • = 2,70

  24. P90 = ………… ? • P90 = n • P10 = 28 • P10 = 25,2 (kelas interval ke 6) • maka P10 = Tb + p • ` `= 3,45 + 0,2 • = 3.45 + 0,088 • = 3,54

  25. Sehinggakoefisienkuatisisnya = = = 0,268

  26. TerimaKasih

More Related