1 / 11

Jednadžba stanja plina

Jednadžba stanja plina. grijač. Pa. izvor struje. p. V. T 2 , p 2 , V 2. p’ = p 1. T 1 , p 1 , V 1. T’, p’, V’. V’ = V 2. jednadžba stanja plina. Jednadžba stanja plina sadrži u sebi izobarnu, izhornu i izotermnu promjenu stanja plina:. p 1 = p 2. izobarna promjena stanja plina.

lael-malone
Télécharger la présentation

Jednadžba stanja plina

An Image/Link below is provided (as is) to download presentation Download Policy: Content on the Website is provided to you AS IS for your information and personal use and may not be sold / licensed / shared on other websites without getting consent from its author. Content is provided to you AS IS for your information and personal use only. Download presentation by click this link. While downloading, if for some reason you are not able to download a presentation, the publisher may have deleted the file from their server. During download, if you can't get a presentation, the file might be deleted by the publisher.

E N D

Presentation Transcript


  1. Jednadžba stanja plina grijač Pa izvor struje

  2. p V T2, p2, V2 p’ = p1 T1, p1, V1 T’, p’, V’ V’ = V2 jednadžba stanja plina

  3. Jednadžba stanja plina sadrži u sebi izobarnu, izhornu i izotermnu promjenu stanja plina: p1 = p2 izobarna promjena stanja plina V1 = V2 izohorna promjena stanja plina T1 = T2 izotermna promjena stanja plina

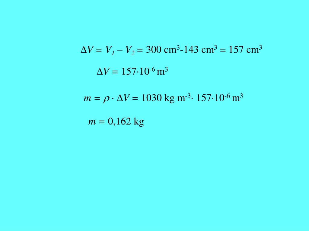
  4. Primjer: S bocom obujma 300 cm3 zaronimo do dubine 10 m držeći bocu okrenutu otvorom prema dolje. Koliko će vode (u kg) ući u bocu na toj dubini? Temperatura zraka na površini mora je 30 oC, a njegov tlak 101 300 Pa. Temperatura mora na dubini 10 m je 15 oC, anjegova gustoća 1 030 kg m-3. Rješenje: V1 = 300cm3 , h = 10m t1 = 30oC , T1 = 303K pa = 101 300 Pa t2 = 15oC , T2 = 288K  = 1 030kgm-3 m = ? V2 = 143 cm3

  5. V = V1 – V2 = 300 cm3-143 cm3 = 157 cm3 V = 15710-6 m3 m = V = 1030 kg m-3 15710-6 m3 m = 0,162 kg

  6. Drugi oblici jednadžbe stanja plina: Za mol plina pri 0 oC i normalnom tlaku vrijedi: po =1,013105 Pa, Vo = 22,1410-3 m3 To = 273,15 K, R = 8,314 JK-1mol-1 - opća plinska konstanta

  7. pV = nRT Za nmola plina vrijedi: M - molarna masa m = V  - gustoća plina NA = 6,0221023 mol-1 Avogadrova konstanta Boltzmannova konstanta pV = kBNT

  8. Primjer: Iz elektronske cijevi obujma 100 cm3 isisan je pri temperaturi 20 oC plin do tlaka 1,5910-3 Pa. Koliko je molekula plina preostalo u cijevi? Rješenje: V = 100cm3 = 10-4m3 , T = 293 K t1 = 20oC p = 1,59 10-3Pa N = ? N = 3,931013

  9. Avogadrov zakon  pV = kBNT Broj molekula plina (N), koje se pri temperaturi T i tlaku p nalaze u obujmu V neovisan je o vrsti plina.

  10. Zadatak 1: Gustoća kisika pri temperaturi 0 oC tlaku 1,013105 Pa je 1,43 kg m-3. Odredite gustoću kisika pri temperaturi 40 oC i tlaku 9,6104 Pa. Rješenje: 1 = 1,43 kg m-3 , , T1 = 273 K t1 =0 oC p1 = 1,013105 Pa , T2 = 313 K t2 = 40 oC 2 =? 2 = 1,18 kg m-3

  11. Zadatak 2: U balonu se nalazi zrak pri temperaturi 20 oC i tlaku 1,02105 Pa. Za koliko će se povećati obujam balona ako se, uz stalnu temperaturu i stalan tlak, u balon ubaci još 1 g zraka? Molarna masa plinova u zraku je 0,029 kg mol-1. Rješenje: , T = 293 K t =20 oC p= 1,02105 Pa m= 1 g = 0,001 kg M = 0,029 kg mol-1 V = ? V = 0,82 dm3

More Related