1 / 32

บทที่ 2 Quick Review about Probability and Introduction to Decision Theory (ML & MAP)

บทที่ 2 Quick Review about Probability and Introduction to Decision Theory (ML & MAP). Quick Review about Probabilty. Joint Probability. Conditional Probability. Bayes Rule :. Mutually Exclusive Event : A  B= . Statistical Independent :. “Probability”

leo-hurst
Télécharger la présentation

บทที่ 2 Quick Review about Probability and Introduction to Decision Theory (ML & MAP)

An Image/Link below is provided (as is) to download presentation Download Policy: Content on the Website is provided to you AS IS for your information and personal use and may not be sold / licensed / shared on other websites without getting consent from its author. Content is provided to you AS IS for your information and personal use only. Download presentation by click this link. While downloading, if for some reason you are not able to download a presentation, the publisher may have deleted the file from their server. During download, if you can't get a presentation, the file might be deleted by the publisher.

E N D

Presentation Transcript


  1. บทที่ 2 Quick Review about Probability and Introduction to Decision Theory (ML & MAP)

  2. Quick Review about Probabilty Joint Probability Conditional Probability

  3. Bayes Rule : Mutually Exclusive Event : AB= Statistical Independent :

  4. “Probability” Measure numerically the outcome of random experiment” “Random Variables” Assign the rule or mapping by means of which a real number is given to each outcome “CDF” : Cumulative Distribution Function “Pdf” : Probability Density Function

  5. Marginal pdf:

  6. จำนวนวันทั้งหมด 365x10 วัน 10ปี = N • จำนวนวันที่มีฝนตก 1650 วัน = NR • จำนวนวันที่เกิดอุบัติเหตุ 360 วัน = NA • จำนวนวันที่เกิดอุบัติเหตุและฝนตก 240 วัน = NAR • --------------------------------------------------------------------------- • จำนวนวันที่เกิดอุบัติเหตุและฝนไม่ตก ? วัน = NAR’ • จำนวนวันที่เกิดไม่เกิดอุบัติเหตุและฝนตก ? วัน = NA’R • จำนวนวันที่ไม่เกิดอุบัติเหตุและฝนไม่ตก ? NA’R’ • คำถามจงหา Joint Prob • Marginal Prob • Conditional Prob

  7. จำนวนวันทั้งหมด 365x10 วัน 10ปี = N • จำนวนวันที่มีฝนตก 1650 วัน = NR • จำนวนวันที่เกิดอุบัติเหตุ 360 วัน = NA • จำนวนวันที่เกิดอุบัติเหตุและฝนตก 240 วัน = NAR • ------------------------------------------------------------------------------------------------------- • จำนวนวันที่เกิดอุบัติเหตุและฝนไม่ตก (360-240) วัน = NAR’ • จำนวนวันที่เกิดไม่เกิดอุบัติเหตุและฝนตก (1650-240) วัน = NA’R • จำนวนวันที่ไม่เกิดอุบัติเหตุและฝนไม่ตก (3650-360) – (1650-240) NA’R’ • คำถามจงหา Joint Prob Marginal Prob Conditional Prob

  8. Example 1. 0.3 0.2 0.3 0.1 0.1 -6 -3 0 3 6 A=(x  3.5) Find P(A) B=( x 0) Find P(B) Find P(AB)

  9. Example 2. S R 0.9 P(S=0) =0.6 0 0.1 0.1 0.9 1 1 P(S=1) =0.4 P(R=0|S=0)=0.9 P(R=1|S=0)=0.1 Find P(S=0|R=0)

  10. Example 3. S R 0.8 0 0.1 P(S=0)=0.4 P(S=1)=0.2 P(S=2)=0.4 1 0.1 2 Find P(R=0) Example 4. f(x,y) = 6exp(-2x-3y); x  0, y  0 = 0 ; otherwise Find P(x 1,y 1)

  11. Joint Moment Uncorrelate iff cov =0 Orthogonal iff E(xy) = 0 Statistical Independent Implies Uncorrelate Reverse is not true Uncorrelate does not implies Statistical Independent

  12. Joint Gaussian Random Variables Random Variables X1,X2,X3,..,Xn are jointly gaussian if their joint PDF is ij= cofactor for the elememt ij |K| = determinant of matrix K

  13. Gaussian Bivariate Distribution Bivariate Gaussian PDF

  14. Importance of Gaussian PDF 1.Central Limit Theorem 2 . Simplify Math Property I. Completely specfied by first and second moment Property II Uncorrelate implied Statistical Independent Others PDF not implied

  15. Property III If Joint PDF is Gaussian Marginal PDF, p(xi) is Gaussian Conditional PDF is Gaussian Property IV Linear combinations of joint Gaussian RV’s are also Gaussian Property V The Input Signal into a linear system is Gaussian  the output signal will also be Gaussian

  16. Gaussian Distribution Let  = x-m d = dx if X=m+a  = a

  17. m+a x m  a 0  0

  18. EXAMPLE 5. ส่งสัญญาณxขนาด 5 V. ผ่านช่องสัญญาณ AWGN ที่มี=3 จงหา P(x >7) x = 5+n

  19. Properties :

  20. Functional Transformation of Random Variables If PDF fx(x) of random variable x : is known Transformation Random variable y = h(x) Find PDF fy(y) Warning : input x(t) through a linear system h(t) or H(f) Output y(t) has power spectrum density (PSD) Syy(f) = |H(f)|2Sxx(f)

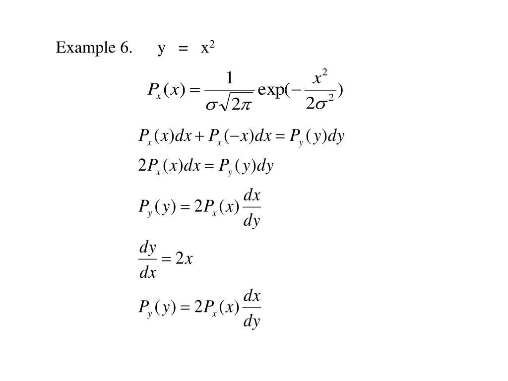
  21. Example 6. y = x2

  22. Py(y) Px(x) y

  23. Example 7.

  24. Maximum Likelihood Detection • Ex 8. a  {0,1} P(a=0) =1/2 P(a=1)=1/2 • n  {0,1} P(n=0) =1/2 P(n=1) =1/2 • a y=a+n Given a= 0; P(y=0|a=0) = 1/2 • n P(y=0|a=1) = 0 • a y P(y=2|a=1) = 1/2= P(n=1) • 0 0 P(y=2|a=0) = 0 • 1 P(y=1|a=0) = 1/2 = P(n=1) • 2 P(y=1|a=1) = 1/2 = P(n=0) n=0 n=1 n=0 n=1

  25. Ex 9. a  {0,1} P(a=0) =3/4 P(a=1)=1/4 n  {0,1} P(n=0) =1/2 P(n=1) =1/2 Only y is observable P(y=0,a=0) = P(y=0|a=0)P(a=0) = 3/8 = P(a=0|y=0)P(y=0) P(y=0,a=1) = P(y=0|a=1)P(a=1) = 0 = P(a=1|y=0)P(y=0) if observe y =0 what can you guess about a ? P(y=1,a=0) = P(y=1|a=0)P(a=0) = 3/8 = P(a=0|y=1)P(y=1) P(y=1,a=1) = P(y=1|a=1)P(a=1) = 1/8 = P(a=1|y=1)P(y=1) if observe y =1 what can you guess about a ? P(y=2,a=0) = P(y=2|a=0)P(a=0) = 0 = P(a=0|y=2)P(y=2) P(y=2,a=1) = P(y=2|a=1)P(a=1) = 1/8= P(a=1|y=2)P(y=2)

  26. ในตัวอย่างที่ 8 ถ้ารับ y ได้เท่ากับ 1 นักศึกษาคิดว่า a ที่ส่งเท่ากับเท่าไร ในตัวอย่างที่ 9 ถ้ารับ y ได้เท่ากับ 1 นักศึกษาคิดว่า a ที่ส่งเท่ากับเท่าไร P(y=1,a=0) = 3/8 = P(a=0|y=1)P(y=1) P(y=1,a=1) = 1/8 = P(a=1|y=1)P(y=1) เนื่องจาก P(y=1) เท่ากันทั้งสองบรรทัด ดังนั้นการเปรียบเทียบ P(y,a) จึงเหมือนกับการเปรียบเทียบ P(a|y) Maximum Likelihood (ML) เมื่อรับ y เข้ามาแล้วมาคำนวณ P(y=1|a=0), P(y=1|a=1), P(y=1|a=2)….. ค่า a ตัวใดที่ค่า Prob สูงสุด เราก็จะคิดว่า ด้านส่ง ส่ง a ตัวนั้น Maximum Posterior Probability (MAP) เมื่อรับ y เข้ามาแล้วมาคำนวณ P(a=0| y=1), P(a=1| y=1), P(a=2|y=1)….. ค่า a ตัวใดที่ค่า Prob สูงสุด เราก็จะคิดว่า ด้านส่ง ส่ง a ตัวนั้น

  27. Ex 10. a  {0,1} P(a=0) =1/2 P(a=1)=1/2 n ~ N(0,2) y = a+n  f(y|a=0) = ?  f(y|a=1) = ? P(y<0.5|a=1) = P(error|a=1) P(y>0.5|a=0) = P(error|a=0) 0 0.5 1 y Decision Region : y < 0.5  a = 0 y > 0.5  a = 1 P(error)=P(error|a=0)P(a=0)+P(error|a=1)P(a=1)

  28. Homework : • พิสูจน์ว่า MAP = ML เมื่อ P(ai) มีลักษณะ equally likely • พิสูจน์ว่า MAP เป็น Optimal detector ที่ให้P(error) น้อยที่สุด

More Related