1 / 30

Machine Studies and Instrumentation in High Energy Particle Collider

December/January operations focus on luminosity enhancement, orbit stability, beam monitoring, and simulation. Addressing tilt, tune spread, and monitoring vital for performance optimization.

Télécharger la présentation

Machine Studies and Instrumentation in High Energy Particle Collider

An Image/Link below is provided (as is) to download presentation Download Policy: Content on the Website is provided to you AS IS for your information and personal use and may not be sold / licensed / shared on other websites without getting consent from its author. Content is provided to you AS IS for your information and personal use only. Download presentation by click this link. While downloading, if for some reason you are not able to download a presentation, the publisher may have deleted the file from their server. During download, if you can't get a presentation, the file might be deleted by the publisher.

E N D

Presentation Transcript


  1. CESR-c Status • -Operations/Luminosity • December/January vs September/October • Machine studies and instrumentation • Simulation and modeling D. Rubin - Cornell

  2. Peak Luminosity D. Rubin - Cornell

  3. Specific Luminosity D. Rubin - Cornell

  4. Integrated Luminosity D. Rubin - Cornell

  5. D. Rubin - Cornell

  6. D. Rubin - Cornell

  7. Machine Studies/Instrumentation • Horizontal separator tilt Level measurements, tilt < 0.3 mrad, negligible effect on orbit But what about plate/vacuum can alignment ? Beam based measurement, tilt ~ 4 mrad • Tune spread - Safe operating space in tune plane narrows with increasing current - Tune spread reduces current limit - Instability in magnet power supply? - Modify feedback circuit for all quad choppers, no effect on tune spread D. Rubin - Cornell

  8. D. Rubin - Cornell

  9. Machine Studies/Instrumentation • Orbit stability Evidence of vertical orbit motion in - synchrotron radiation light monitor - orbit measurement with beam position monitors - turn by turn data at IR beam detectors - fast luminosity monitor Sources of vertical motion might include - Instability in quadrupole power supplies (Q48,49) - of vertical separator plate voltages - of skew quadrupole currents, SCIR skew quads D. Rubin - Cornell

  10. Machine Studies/Instrumentation • Continuously monitor electron positron orbit difference - BPM electronics and software under development “true” differences with arbitrary time scales - Better monitoring of suspect elements D. Rubin - Cornell

  11. Machine Studies/Instrumentation • Luminosity monitor - Luminosity signal is compromised by lost particles when electron lifetime is poor - Detector segmentation provides means for correction DSP software begin developed - Plan to implement “true” calibration - Software also in the works to enable bunch by bunch luminosity measurement D. Rubin - Cornell

  12. Machine Studies/Instrumentation • Knobs to control differential coupling using skew sextupoles 3 new sextupoles installed • Demonstrated capability to measure with turn by turn BPM data, coupling at IP - And “good” luminosity corresponds to measured flat beam at IP • Developing IR BPM calibration and software to implement as part of coupling correction procedure D. Rubin - Cornell

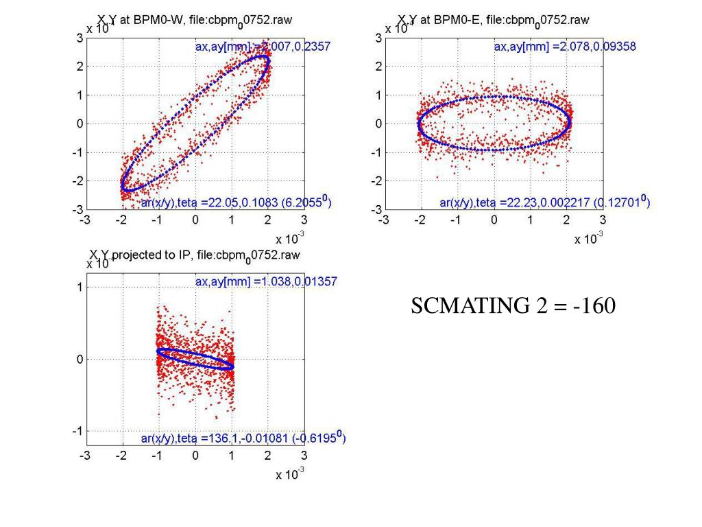
  13. SCMATING 2 = -160 D. Rubin - Cornell

  14. SCMATING 2 = -120 D. Rubin - Cornell

  15. SCMATING 2 = -70 D. Rubin - Cornell

  16. SCMATING 2 = -40 D. Rubin - Cornell

  17. SCMATING 2 = -120 D. Rubin - Cornell

  18. SCMATING 2 = -70 D. Rubin - Cornell

  19. SCMATING 2 = -40 D. Rubin - Cornell

  20. SCMATING 2 = 70 D. Rubin - Cornell

  21. SCMATING 2 = 40 D. Rubin - Cornell

  22. D. Rubin - Cornell

  23. Beam beam simulation • Semi strong-strong simulation • Machine model includes all individual guide field elements • (RF, wigglers, separators,…) and nonlinearities • radiation, damping, crossing angle, pretzel, parasitic • interactions, … • Weak beam ~ 200 macroparticles • Track for 200,000 turns • Use weak beam size to update strong beam -> Beams have equal charge and size Strong beam is fixed in space D. Rubin - Cornell

  24. Beam beam simulation 1.89 GeV/beam D. Rubin - Cornell

  25. D. Rubin - Cornell

  26. Simulation -Real wigglers, -Linearized wigglers, -Pretzel off/real wigglers No significant difference In low current behavior D. Rubin - Cornell

  27. D. Rubin - Cornell

  28. Machine Studies/Instrumentation (cont) • More bunches -10 bunches/train, 2 sets of 5 displaced by 2ns -Calculation of optical distortion due to parasitic additional interactions indicates small effect -Established injection of single 10 bunch train -Collisions of 2,3 electron bunches with 10 bunch positron train • Alternatively 9 bunches/train 1 set 5 and 1 set 4 displaced 6ns under study D. Rubin - Cornell

  29. Simulation plan • Lattice with distributed radiation excitation • Dependence • differential offset/angle at IP • coupling/ differential coupling • sextupoles/chromaticity • tune spread Thanks to CLEO collaborators Minnesota and Illinois and CHESS for making computers available and for help getting started D. Rubin - Cornell

  30. D. Rubin - Cornell

More Related