miya
Uploaded by
27 SLIDES
517 VUES
270LIKES

ПРИМЕРЫ РЕШЕНИЯ ЗАДАЧ ПО КУРСУ

DESCRIPTION

ПРИМЕРЫ РЕШЕНИЯ ЗАДАЧ ПО КУРСУ ФИЗИЧЕСКИЕ ОСНОВЫ ЭКСПЕРИМЕНТАЛЬНЫХ МЕТОДОВ ИССЛЕДОВАНИЯ РЕАЛЬНОЙ СТРУКТУРЫ КРИСТАЛЛОВ № 2. Д.ф.-м.н., проф. Э.В.Суворов.

1 / 27

Télécharger la présentation

ПРИМЕРЫ РЕШЕНИЯ ЗАДАЧ ПО КУРСУ

An Image/Link below is provided (as is) to download presentation Download Policy: Content on the Website is provided to you AS IS for your information and personal use and may not be sold / licensed / shared on other websites without getting consent from its author. Content is provided to you AS IS for your information and personal use only. Download presentation by click this link. While downloading, if for some reason you are not able to download a presentation, the publisher may have deleted the file from their server. During download, if you can't get a presentation, the file might be deleted by the publisher.

E N D

Presentation Transcript


  1. ПРИМЕРЫ РЕШЕНИЯ ЗАДАЧПО КУРСУ ФИЗИЧЕСКИЕ ОСНОВЫ ЭКСПЕРИМЕНТАЛЬНЫХ МЕТОДОВ ИССЛЕДОВАНИЯ РЕАЛЬНОЙ СТРУКТУРЫ КРИСТАЛЛОВ № 2 Д.ф.-м.н., проф. Э.В.Суворов

  2. №1 Какое предельное разрешение можно получить на электронном микроскопе с ускоряющим напряжением 100kV, 400kV если все ошибки за исключением дифракционной равны нулю. Релятивистскую поправку не учитывать. Угловая апертура объективной линзы 610-3 рад.

  3. 100 kV 400 kV

  4. №2 Определить длину волны электронов с учетом релятивистских поправок и без них в электронном микроскопе с ускоряющими напряжениями 100kV, 400kV. Какую ошибку вносит отсутствие релятивистских поправок.

  5. 100 kV

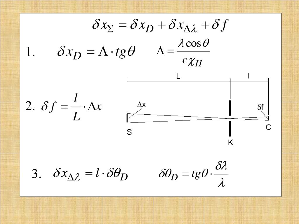
  6. №3 Оценить пространственное разрешение на рентгеновской топограмме снятой по методу Ланга. Излучение MoK1 (=0,70926Å), расстояние образец - фотопластинка l=10мм, размеры источника x=30мкм, расстояние источник - щель L=450мм, используемое отражение (220), фурье-компанента поляризуемости кристалла для этого случая (220)=(2.04+i0.017)10-6.

  7. 1. 2. 3.

  8. 1. Дифракционное разрешение (размытие) 2. Спектральное уширение (размытие) 3. Геометрическое уширение (размытие)

  9. №4 Какой контраст (экстинкционный или бормановский) будет наблюдаться на топограмме монокристалла кремния толщиной 900мкм на отражении (220) на излучении а)-MoK1 - б)-CuK1 -

  10. экстинкционный бормановский

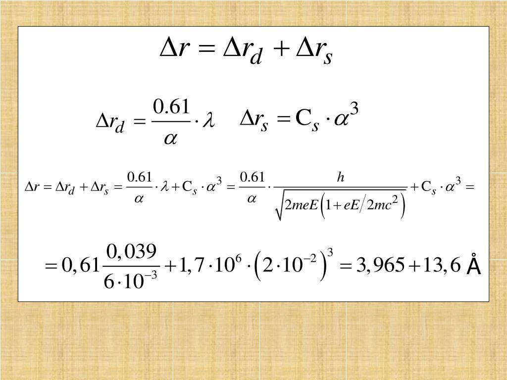
  11. №5 Какое разрешение можно получить на электронном микроскопе с ускоряющим напряжением 100kV, если учесть дифракционную ошибку и сферическую аберрацию. Угловая апертура объективной линзы 610-3 рад. Коэффициент сферической аберрации Cs=0,17мм.

  12. Å

  13. №6 Определить величину ускоряющего напряжения, начиная с которого разница длин волн электронов с учетом и без учета релятивистской поправки будет составлять 15 процентов.

  14. В результате получим искомое значение ускоряющего напряжения порядка 150кв, при котором ошибка составит 15%.

  15. №7 Определить коротковолновую границу тормозного спектра рентгеновского излучения для ускоряющего напряжения 20kV, 40kV, 60kV.

  16. №8 При съемке на дифрактометре в медном излучении в качестве селективного фильтра используется никель. Определить, насколько уменьшится интенсивность Ka и Kb излучений. Толщина фильтра 0,0021см, NI=8,9x103 кг/м3. В области длин волн =1,5Å в никеле наблюдается резкий скачек коэффициента поглощения

  17. Используя значение Ni , определяем  для CuK и CuK излучений. Из закона поглощения найдем

  18. №9 Длина волны Ka-серии меди K=1,540Å. Определить длину волны Ka-серии молибдена, если zCu=29, zMo=42.

  19. R-постоянная Ридберга, a-константа определяемая типом линии. a~3/4 Для Ka,

  20. №10 Определить количество экстинкционных полос которое будет наблюдаться на топограмме кристалла кремния с клиновидным срезом на краю. Толщина кристалла 450мкм, поверхность кристалла перпендикулярна вектору [111], топограмма снята на отражении (220) перпендикулярном поверхности кристалла на излучении MoK1 (=0,70926Å). Фурье-компанента поляризуемости кристалла для этого случая (220)=(2.04+i0.017)10-6. Параметр решетки для кремния а=5,4306Å.

  21. t – толщина кристалла, а  - экстинкционная длина.

  22. №11 На рентгеновской топограмме кристалла с входной поверхностью (111), полученной по методу Ланга, наблюдаются прямолинейные дислокации. Они лежат в плоскости ( 11) вдоль направления [0 1]. Изображение гаснет при отражении от системы плоскостей ( 22). Определить тип этих дислокаций.

  23. Погасание контраста происходит в случае если скалярное произведение вектора дифракции на вектор Бюргерса равно нулю т.е. Подставляя в это соотношение координаты вектора дифракции можно определить возможные координаты вектора Бюргерса Следовательно, возможный тип дислокаций это винтовые дислокации.

More Related