odele
Uploaded by
46 SLIDES
767 VUES
470LIKES

Exercice1

DESCRIPTION

SERIE I  : ELECTROSTATIQUE. Distributions de charges, Forces électrostatiques. Exercice1. Quelle est la force coulombienne de répulsion s’exerçant entre deux protons dans un noyau de fer si on suppose que la distance qui les sépare est de 4.10-15m.

1 / 46

Télécharger la présentation

Exercice1

An Image/Link below is provided (as is) to download presentation Download Policy: Content on the Website is provided to you AS IS for your information and personal use and may not be sold / licensed / shared on other websites without getting consent from its author. Content is provided to you AS IS for your information and personal use only. Download presentation by click this link. While downloading, if for some reason you are not able to download a presentation, the publisher may have deleted the file from their server. During download, if you can't get a presentation, the file might be deleted by the publisher.

E N D

Presentation Transcript


  1. SERIE I : ELECTROSTATIQUE Distributions de charges, Forces électrostatiques Exercice1 Quelle est la force coulombienne de répulsion s’exerçant entre deux protons dans un noyau de fer si on suppose que la distance qui les sépare est de 4.10-15m. FSR SVI STU (Semestre 2) 2003 / 2007M.Elbelkacemi - M. Loghmarti

  2. Exercice1: Donnés: r = 4.10-5m , q1 =q2 = 1,6.10-19 C La force de répulsion entre les deux protons est AN: FSR SVI STU (Semestre 2) 2003 / 2007M.Elbelkacemi - M. Loghmarti

  3. SERIE I : ELECTROSTATIQUE Distributions de charges, Forces électrostatiques Exercice 2 On considère trois charges Q1, Q2 et Q3 placées comme l’indique la figure 1. Quelle est la force qui agit sur Q1 ? On donne , Q1 = -1.10-6 C, Q2 = +3.10-6 C, Q3 = -2.10-6 C, r12 = 15 cm, r23 = 10cm et θ = 30° FSR SVI STU (Semestre 2) 2003 / 2007M.Elbelkacemi - M. Loghmarti

  4. Exercice 2 y j Q3<0 i Avec: F2-1 F1 F2-1 + F3-1 = x Q1<0 Q2>0 q F3-1 F1 Projetons sur les deux axes ox et oy i F2-1 = F2-1 F1 = (F2-1 + F3-1 sin ) i - F3-1 cos ( ) j j + - F3-1 Cos q F3-1 sin q i F3-1 = FSR SVI STU (Semestre 2) 2003 / 2007M.Elbelkacemi - M. Loghmarti

  5. SERIE I : ELECTROSTATIQUE Distributions de charges, Forces électrostatiques Exercice 3 On considère deux charges ponctuelles identiques +q = 2C disposées en A et B suivant l’axe Oy à une distance a = 30 cm du centre O. Une charge +Q=4C est placée en M sur l’axe Ox à l’abscisse x=OM. Déterminer en fonction de x l’intensité et la direction de la résultante des forces électrostatiques agissant sur Q. Même question avec qA = -q et qB =+q. FSR SVI STU (Semestre 2) 2003 / 2007M.Elbelkacemi - M. Loghmarti

  6. Exercice 3 x Y a) A +q uA j r FB i M   2a X o  +Q F r FA +q B uB La charge q (A) exerce sur la charge Q(M) une force: La charge q (B) exerce sur la charge Q(M) une force: FSR SVI STU (Semestre 2) 2003 / 2007M.Elbelkacemi - M. Loghmarti

  7. Calculons : j uB i   uA A r  2a o x M  r B FSR SVI STU (Semestre 2) 2003 / 2007M.Elbelkacemi - M. Loghmarti

  8. b) On remplace la charge q(A) par -q(A) x Y A -q uA F j r FA i M FB   2a X o +Q r +q B uB La charge -q (A) exerce sur la charge Q(M) une force: La charge q (B) exerce sur la charge Q(M) une force: FSR SVI STU (Semestre 2) 2003 / 2007M.Elbelkacemi - M. Loghmarti

  9. Calculons : FSR SVI STU (Semestre 2) 2003 / 2007M.Elbelkacemi - M. Loghmarti

  10. SERIE I : ELECTROSTATIQUE Distributions de charges, Forces électrostatiques Exercice 4 Calculer le champ créé par un dipôle électrique le long de son axe. Les deux charges –q et +q sont séparées par la distance a .Tracer la courbe E= E(x) FSR SVI STU (Semestre 2) 2003 / 2007M.Elbelkacemi - M. Loghmarti

  11. EXERCICE 4: Calcul du champ électrique crée par un dipôle le long de son axe a/2 a/2 EA EB X +q -q i M O A B 1er cas:le point M est à droite du point B Le champ électrique crée par les 2charges au point M est: Avec: et FSR SVI STU (Semestre 2) 2003 / 2007M.Elbelkacemi - M. Loghmarti

  12. 2ème cas:le point M est à gauche du point A X EB a/2 EA a/2 +q -q i M O B A Le champ électrique crée par les 2charges au point M est: Avec: et FSR SVI STU (Semestre 2) 2003 / 2007M.Elbelkacemi - M. Loghmarti

  13. 3ème cas:le point M est entre O et B X a/2 a/2 -q +q M i EB EA O B A Le champ électrique crée par les 2charges au point M est: Avec: et FSR SVI STU (Semestre 2) 2003 / 2007M.Elbelkacemi - M. Loghmarti

  14. 4ème cas:le point M est entre O et A X a/2 a/2 -q +q M EA i EB O B A Le champ électrique crée par les 2charges au point M est: Avec: et FSR SVI STU (Semestre 2) 2003 / 2007M.Elbelkacemi - M. Loghmarti

  15. 5ème cas: le point M et O sont confondus Pour X=0 FSR SVI STU (Semestre 2) 2003 / 2007M.Elbelkacemi - M. Loghmarti

  16. SERIE I : ELECTROSTATIQUE Distributions de charges, Forces électrostatiques Exercice 5 Soient 3 boules identiques A,B,C. A et B sont fixes, distantes de d et portent des charges respectivement q et q’= 2q. La boule C, pouvant se déplacer librement sur la droite AB, est initialement neutre. On amène la boule C au contact de A et on l’abandonne . 1/ Déterminer la position d’équilibre de la boule C. 2/ Trouver la relation entre q et q’ pour que la boule C retrouve sont équilibre au milieu du AB FSR SVI STU (Semestre 2) 2003 / 2007M.Elbelkacemi - M. Loghmarti

  17. Exercice 5 1) d q’=2q à t = 0 q x A C B AO origine des abscisses Quand on met C en contacte avec A Transfert de charge de A vers C (La boule C est initialement neutre) Les boules A et C vont se partager La charge q puisqu ils sont identiques qA = q/2 et qc = q/2 à l’équilibre Les boules A et C vont se repousser car qA et qC de même signe q/2 q/2 FA-C 2q A B FB-C C FSR SVI STU (Semestre 2) 2003 / 2007M.Elbelkacemi - M. Loghmarti

  18. avec et avec et à l’équilibre FSR SVI STU (Semestre 2) 2003 / 2007M.Elbelkacemi - M. Loghmarti

  19. 2) Relation entre q et q’ pour que C retrouve son équilibre au milieu de AB On déduit que la charge au point C (q’): FSR SVI STU (Semestre 2) 2003 / 2007M.Elbelkacemi - M. Loghmarti

  20. SERIE I : ELECTROSTATIQUE Distributions de charges, Forces électrostatiques Exercice 6 Un cercle de centre O de rayon R, porte une charge q répartie uniformément. 1/ Calculer la densité de charge λ. 2/ Déterminer le potentiel et le champ électrique sur l’axe normal au plan du cercle en O. 3/ Tracer les courbes V(x) et E(x). FSR SVI STU (Semestre 2) 2003 / 2007M.Elbelkacemi - M. Loghmarti

  21. Exercice 6 x dV M OM = x r O dl R dq ( C ) FSR SVI STU (Semestre 2) 2003 / 2007M.Elbelkacemi - M. Loghmarti

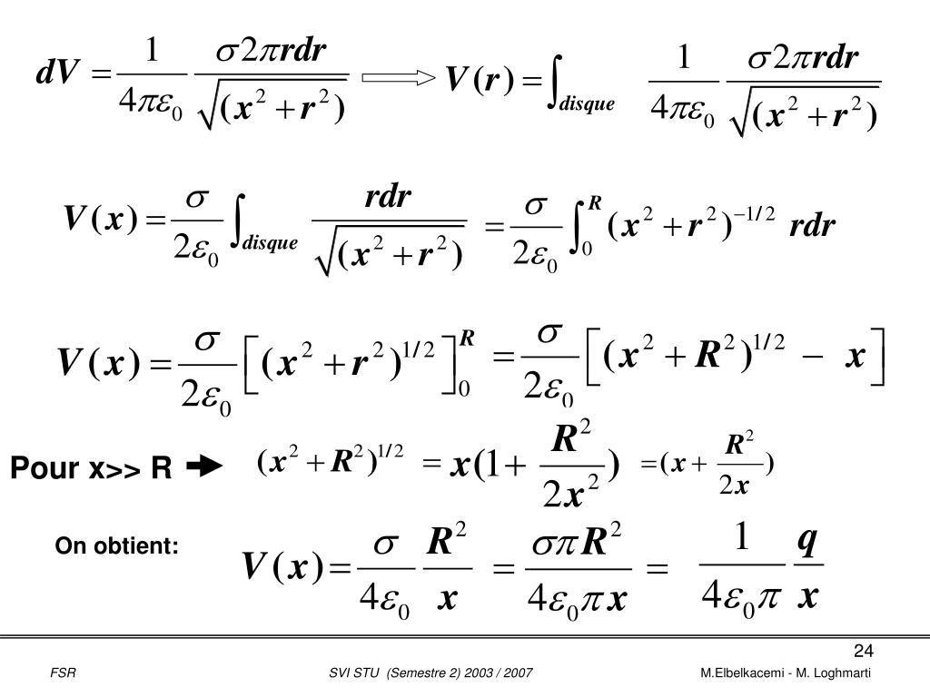
  22. SERIE II : ELECTROSTATIQUE potentiel électrique, énergie potentielle et théorème de Gauss Exercice I Soit un disque uniformément chargé avec une densité surfacique . Déterminer le potentiel en un point P de son axe. FSR SVI STU (Semestre 2) 2003 / 2007M.Elbelkacemi - M. Loghmarti

  23. Exercice1 dr r P X x dV R Tout les points de l’anneau sont à la même distance r’ du point P FSR SVI STU (Semestre 2) 2003 / 2007M.Elbelkacemi - M. Loghmarti

  24. Pour x>> R On obtient: FSR SVI STU (Semestre 2) 2003 / 2007M.Elbelkacemi - M. Loghmarti

  25. SERIE II : ELECTROSTATIQUE potentiel électrique, énergie potentielle et théorème de Gauss Exercice II Trois charges ponctuelles Q1, Q2 et Q3 fixes forment entre elles in triangle équipotentiel de coté a. Quelle est l’énergie potentielle du système ? On donne : Q1 =-4Q, Q2 = +2Q, Q3 = +Q. Q=10-7C et a =10cm FSR SVI STU (Semestre 2) 2003 / 2007M.Elbelkacemi - M. Loghmarti

  26. Exercice2 Energie potentielle du système -4Q Wtotale = W1-2 + W1-3 + W2-3 a a a +Q +2Q FSR SVI STU (Semestre 2) 2003 / 2007M.Elbelkacemi - M. Loghmarti

  27. SERIE II : ELECTROSTATIQUE potentiel électrique, énergie potentielle et théorème de Gauss Exercice III Dans un champ électrique E uniforme, on place un cylindre fermé de rayon R de telle sorte que son axe est parallèle . Déterminer le flux Eà travers cette surface fermée. Si on place à l’intérieur de ce même cylindre une charge Q, donner la valeur du flux à travers cette même surface. FSR SVI STU (Semestre 2) 2003 / 2007M.Elbelkacemi - M. Loghmarti

  28. Exercice3 1) Le flux à travers une surface fermée ne contenant pas de charge à l’intérieur est nul FSR SVI STU (Semestre 2) 2003 / 2007M.Elbelkacemi - M. Loghmarti

  29. SERIE II : ELECTROSTATIQUE potentiel électrique, énergie potentielle et théorème de Gauss Exercice IV Soit un fil infini uniformément chargé avec une densité linéaire λ . 1- En utilisant la méthode directe la méthode de Gauss , calculer le champ E à une distance a de ce fil. 2- On dispose maintenant d’un deuxième fil infini , portant une densité linéaire - λ, et disposé par rapport au premier fil comme l’indique ci-dessous . En supposant que le point M se trouvant dans le plan formé par les deux fils , donner la valeur du champ au point M . FSR SVI STU (Semestre 2) 2003 / 2007M.Elbelkacemi - M. Loghmarti

  30. Théorème de Gauss Exercice 4 Y . M h o X a E FSR SVI STU (Semestre 2) 2003 / 2007M.Elbelkacemi - M. Loghmarti

  31. Comme le champ E est constant en tout point M sur la surface latérale FSR SVI STU (Semestre 2) 2003 / 2007M.Elbelkacemi - M. Loghmarti

  32. 2) -λ λ et i Eλ E- λ M a b FSR SVI STU (Semestre 2) 2003 / 2007M.Elbelkacemi - M. Loghmarti

  33. SERIE III : ELECTROCINETIQUE Association de condensateurs, de résistances & réseaux electriques Exercice 1 Trois condensateurs de capacité C1=1mF, C2=3,3mF, C3=4,7mF sont associés en parallèle. La charge totale du groupement est q=0,216 mC. Calculer : 1 - la capacité équivalente 2 - la tension aux bornes 3 - l'énergie stockée par l'ensemble 4 -Que devient cette énergie si la tension diminue d'un tiers. FSR SVI STU (Semestre 2) 2003 / 2007M.Elbelkacemi - M. Loghmarti

  34. Exercice 1 Les condensateurs étant montés en dérivation, la capacité du condensateur équivalent à l'ensemble est C= C1 + C2 + C3 = 4,7 + 1 + 3,3 = 9mF. La tension aux bornes du condensateur équivalent V = Q/C = 2,16 10-4 /9 10-6 = 24V. L’énergie stockée dans les condensateurs est: W = 1/2 CV² = 0,5 . 9 10-6 . 24²= 2,59 mJ. la nouvelle tension vaut 16 V ainsi l’énergie devient  W = 1,15 mJ FSR SVI STU (Semestre 2) 2003 / 2007M.Elbelkacemi - M. Loghmarti

  35. SERIE III : ELECTROCINETIQUE Association de condensateurs, de résistances & réseaux electriques Exercice 2 Calculer la capacité d'un condensateur dont l'armature interne est une sphère de centre O et de rayon R1. La surface interne de l'armature externe est une sphère de centre O et de rayon R2. FSR SVI STU (Semestre 2) 2003 / 2007M.Elbelkacemi - M. Loghmarti

  36. Exercice 2 V1: potentiel de l'armature interne ( R1) V2 : potentiel de l'armature externe ( R2) Q : charge de l'armature A Les lignes de champ sont radiales, les surfaces équipotentielles sont des sphères de centre O. Th. de gauss: calcul du champ puis du potentiel flux du champ à travers la sphère Σ de rayon x : FSR SVI STU (Semestre 2) 2003 / 2007M.Elbelkacemi - M. Loghmarti

  37. puisque E ne dépend que de x intégrer entre R1 et R2. capacité = Q/(V2-V1) FSR SVI STU (Semestre 2) 2003 / 2007M.Elbelkacemi - M. Loghmarti

  38. SERIE III : ELECTROCINETIQUE Association de condensateurs, de résistances & réseaux electriques Exercice 3 Déterminer la résistance RAB équivalente de l’ensemble Des résistances représentées ci contre , entre les points A et B FSR SVI STU (Semestre 2) 2003 / 2007M.Elbelkacemi - M. Loghmarti

  39. Exercice 3 Résistance équivalente entre A et B Cas a 2Ω 6Ω 2Ω RAB= 9Ω 4Ω 6Ω FSR SVI STU (Semestre 2) 2003 / 2007M.Elbelkacemi - M. Loghmarti

  40. Cas b Le point C et B sont au même potentiel C  B C RAB= 7Ω On constate que: Cas C A  D et C  B C D FSR SVI STU (Semestre 2) 2003 / 2007M.Elbelkacemi - M. Loghmarti

  41. SERIE III : ELECTROCINETIQUE Association de condensateurs, de résistances & réseaux electriques Exercice 4 Un fil cylindrique d’argent de 0.5 mm de rayon est traversé par des charges électriques A raison de 72C/h. L’argent contient 5.8 électrons par cm3. calculer : Le module de la densité de courent J. La vitesse moyenne des électrons de conduction. FSR SVI STU (Semestre 2) 2003 / 2007M.Elbelkacemi - M. Loghmarti

  42. Exercice 4 FSR SVI STU (Semestre 2) 2003 / 2007M.Elbelkacemi - M. Loghmarti

  43. SERIE III : ELECTROCINETIQUE Association de condensateurs, de résistances & réseaux electriques Exercice 5 • La puissance perdue par effet joule dans le circuit suivant est de 50w. • Calculer : • la f.e.m du générateur et le courent qu’il débite • les courent traversant les différentes résistances. • les d.d.p aux borne R1 et R3 • on donne : R1= 6 , R2= 3 , R3 = 4 FSR SVI STU (Semestre 2) 2003 / 2007M.Elbelkacemi - M. Loghmarti

  44. La puissance perdue par effet joule dans le circuit suivant est : P= 50 w. Exercice 5 I I I I FSR SVI STU (Semestre 2) 2003 / 2007M.Elbelkacemi - M. Loghmarti

  45. I On donne la puissance : AN FSR SVI STU (Semestre 2) 2003 / 2007M.Elbelkacemi - M. Loghmarti

  46. b-les courants traversant les différentes résistances. gauche I1 I1 I3 Remarque: le circuit est symétrique, on traite alors juste la portion (gauche) I I2 Dans la résistance R1 circule le courant I3 I2 Dans cette maille on a : et La résolution du système d’équations donne : FSR SVI STU (Semestre 2) 2003 / 2007M.Elbelkacemi - M. Loghmarti

More Related