1 / 35

Chapter 8 Optoelectronic Devices (brief introduction)

Chapter 8 Optoelectronic Devices (brief introduction). 8.1 Photodiodes 8.1.1 Current and Voltage in an Illuminated Junction 8.1.2 Solar Cells 8.1.3 Photodetectors 8.1.4 Gain, Bandwidth, and Signal-to-Noise Ratio of Photodetectors 8.2 Light-Emitting Diodes 8.2.1 Light-Emitting Materials

orde
Télécharger la présentation

Chapter 8 Optoelectronic Devices (brief introduction)

An Image/Link below is provided (as is) to download presentation Download Policy: Content on the Website is provided to you AS IS for your information and personal use and may not be sold / licensed / shared on other websites without getting consent from its author. Content is provided to you AS IS for your information and personal use only. Download presentation by click this link. While downloading, if for some reason you are not able to download a presentation, the publisher may have deleted the file from their server. During download, if you can't get a presentation, the file might be deleted by the publisher.

E N D

Presentation Transcript


  1. Chapter 8 Optoelectronic Devices (brief introduction)

  2. 8.1 Photodiodes • 8.1.1 Current and Voltage in an Illuminated Junction • 8.1.2 Solar Cells • 8.1.3 Photodetectors • 8.1.4 Gain, Bandwidth, and Signal-to-Noise Ratio of Photodetectors • 8.2 Light-Emitting Diodes • 8.2.1 Light-Emitting Materials • 8.2.2 Fiber-Optic Communications • 8.3 Lasers • 8.4 Semiconductor Lasers • 8.4.1 Population Inversion at a Junction • 8.4.2 Emission Spectra for p-n Junction Lasers • 8.4.3 The Basic Semiconductor Laser • 8.4.4 Heterojunction Lasers • 8.4.5 Materials for Semiconductor Lasers

  3. Photoconductor Fig. 4-10

  4. 8.1.1 Current and voltage in an illuminated junction Optical generation rate Optically generated current

  5. Optical generation of carriers in a p-n junction

  6. Open-circuit Voltage

  7. For a symmetric junction Thermal generation rate Neglecting generation within W

  8. pn is fixed, for a given Ndand T. • As minority carrier concentration is increased by optical generation of EHPs, the lifetime n becomes shorter, and pn/n becomes larger. • Therefore, Voc cannot increase indefinitely with increased generation rate. • In fact, the limit on Voc is the equilibrium contact potential Vo. (see next page) The appearance of a forward voltage across an illuminated junction is known as the photovoltaic effect.

  9. The limit on Voc The contact potential Vo is the maximum forward bias that can appear across a junction.

  10. Photodetector Solar cell Photodiode operation at different quadrants • The photodiode can be operated in either the third or fourth quarters of its I-V characteristic. • Power is delivered to the device from the external circuit when the current and junction voltage are both positive or both negative (first or third quadrants). • In the fourth quadrant, the junction voltage is positive and the current is negative. Power is delivered from the junction to the external circuit. • Notice that in the fourth quadrant the current flows from the negative side of V to the positive side, as in a battery.

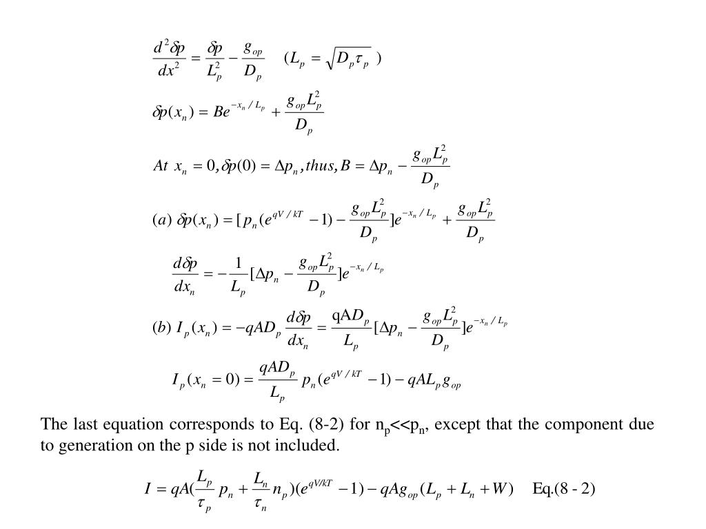
  11. Example 8-1 For steady state optical excitation, we can write the hole diffusion equation as Assume that a long p+-n diode is uniformly illuminated by an optical signal, resulting in gop EHP/cm3-s. Calculate the hole diffusion current Ip(xn) and evaluate it at xn = 0. Compare the result with Eq. (8-2) evaluated for a p+-n junction.

  12. The last equation corresponds to Eq. (8-2) for np<<pn, except that the component due to generation on the p side is not included.

  13. 8.1.2 Solar cells The voltage is restricted to values less than the contact potential, which is in turn is generally less than the band gap voltage Eg/q. For Si the voltage Voc is less than about 1 V. The current generated depends on the illuminated area, but typically Iop is in the 10-100 mA range for a junction with an area of about 1 cm2. Arrays of solar cells are used.

  14. Design consideration of a solar cells • Large area • Surface coating • Junction depth • Compromises • The junction depth • The junction depth d must be less than Lp. • The thickness of p region must be such that electrons generated in this region can diffuse to the junction before recombination takes place. • A proper match between Ln, dp-region, and . • Doping • Desirable large contact potential Vo. • - Heavy doping is required. • Long lifetimes are desirable. • - Reduced by doping too heavy. • Large area • Large area for light harvest. • Series resistance be small to reduce ohmic losses. • Contacts to the thin n region require special design. • - Add small contact fingers.

  15. Open-circuit voltage Short-circuit current Maximum power Fill factor Solar Cell Characteristics

  16. 8.1.3 Photodetectors • When the photodiode is operated in the third quadrant of its I-V characteristic, the current is essentially independent of voltage but is proportional to the optical generate rate. • Measure the illumination levels • Convert time-varying optical signal into electrical signals

  17. Bandwidth The bandwidth is how fast the photodiode is to respond to a series of light pulses. • To increase the bandwidth • The carrier diffusion step in this process should be eliminated. • Large depletion width (Depletion layer photodiode) • Most of the photons are absorbed in W rather than in the neutral regions • When EHP is created in the depletion region, the carriers are swept by the electric field. • Fast response. • Dope at least one side of the junction lightly so that W can be made large.

  18. The appropriate width for W The appropriate width for W is chosen as a compromise between sensitivity and speed of response. • If W is wide, most of the incident photons will be absorbed in the depletion region, leading to high sensitivity. • A wide W results in a small junction capacitance (see Eq.(5-62)), thereby reducing the RC time constant of the detector circuit. • On the other hand, W must not be so wide that the time required for drift of photo-generated carriers out of the depletion region is excessive, leading to low bandwidth.

  19. The p-i-n photodetector One convenient method of controlling the width of the depletion region is to build a p-i-n photodetector. • When the device is reverse biased, the applied voltage appears almost entirely across the i region. • The carrier lifetime within i region is long. • Low recombination, low loss.

  20. Photocurrent density Incident optical power density External quantum efficiency • An important figure of merit for a photodetector is the external quantum efficiency Q. • - The number of carriers that are collected for every photon impinging on the detector. • For a photodiode that has no current gain, the maximum Q is unity. • If low-level optical signals are to be detected, it is often desirable to operate the photodiode in the avalanche region of its characteristic. • In this mode each photogenerated carrier results in a significant change in the current because of avalanche multiplication, leading to gain and quantum efficiencies of greater than 100%. • Avalanche photodiodes (APDs) are useful as detectors in fiber-optic systems.

  21. Intrinsic and extrinsic detectors • The intrinsic detector is the type of photodiode sensitive to photons with energies near the band gap energy. • If h is less than Eg, the photons will not be absorbed. • If the photons are much more energetic than Eg, they will be absorbed very near the surface, where the recombination rate is high. • Detectors sensitive to longer wavelengths can be designed such that photons can excite electrons into or out of impurity levels (extrinsic detectors). • However, the sensitivity of such extrinsic detectors is much less than intrinsic detectors.

  22. Chapter 7 Bipolar Junction Transistors 7.1 Fundamentals of BJT Operation 7.2 Amplification with BJTs 7.3 BJT Fabrication 7.4 Minority Carrier Distributions and Terminal Currents 7.5 Generalized Biasing 7.6 Switching 7.7 Other Important Effects 7.8 Frequency Limitations of Transistors 7.9 Heterojunction Bipolar Transistors (brief introduction)

  23. 7.1 Fundamentals of BJT Operation • 7.2 Amplification with BJTs • 7.3 BJT Fabrication • 7.4 Minority Carrier Distributions and Terminal Currents • 7.4.1 Solution of the Diffusion Equation in the Base Region • 7.4.2 Evaluation of the Termonal Currents • 7.4.3 Approximations of the Terminal Currents • 7.4.4 Current Transfer Ratio • 7.5 Generalized Biasing • 7.5.1 The Coupled-Diode Model • 7.5.2 Charge Control Analysis • 7.6 Switching • 7.6.1 Cutoff • 7.6.2 Saturation • 7.6.3 The Switching Cycle • 7.6.4 Specifications for Switching Transistors • 7.7 Other Important Effects • 7.8 Frequency Limitations of Transistors • 7.9 Heterojunction Bipolar Transistors

  24. 7.1 Fundamentals of BJT Operation • 7.2 Amplification with BJTs • 7.3 BJT Fabrication • 7.4 Minority Carrier Distributions and Terminal Currents • 7.4.1 Solution of the Diffusion Equation in the Base Region • 7.4.2 Evaluation of the Termonal Currents • 7.4.3 Approximations of the Terminal Currents • 7.4.4 Current Transfer Ratio • 7.5 Generalized Biasing • 7.5.1 The Coupled-Diode Model • 7.5.2 Charge Control Analysis • 7.6 Switching • 7.6.1 Cutoff • 7.6.2 Saturation • 7.6.3 The Switching Cycle • 7.6.4 Specifications for Switching Transistors • 7.7 Other Important Effects • 7.8 Frequency Limitations of Transistors • 7.9 Heterojunction Bipolar Transistors

  25. For simplicity, we shall assume (a) unity emitter injection efficiency and (b) negligible collector saturation current. • The average excess hole spends a time t, defined as the transit time from emitter to collector. • The hole lifetime in the base is p. • An average excess electron supplied from the base contact spends p in the base. • The average electron waits p for recombination with hole. • While recombination with electrons, many individual holes can enter and leave the base region, each with an average transit time t.

More Related