quinlan-rosales
Uploaded by
21 SLIDES
289 VUES
210LIKES

数列复习

DESCRIPTION

数列复习. 一、一般数列的基本概念:. 1 、 数列的定义; 按一定次序排成的一列数叫数列。 2 、 有穷数列与无穷数列; 项数有限的数列叫有穷数列; 项数无限的数列叫无穷数列。. 3 、 递增(减)、摆动、常数列; 4 、 数列 {a n } 的通项公式 a n ; 5 、 数列 {a n } 的递推公式; 6 、 数列 {a n } 的前 n 项和 S n. 练习: 1. 写出下面数列的一个通项公式,. 使它的前几项分别是下列各数:. 3 ). 为正奇数. 知识点:. 2). 为正偶数.

1 / 21

Télécharger la présentation

数列复习

An Image/Link below is provided (as is) to download presentation Download Policy: Content on the Website is provided to you AS IS for your information and personal use and may not be sold / licensed / shared on other websites without getting consent from its author. Content is provided to you AS IS for your information and personal use only. Download presentation by click this link. While downloading, if for some reason you are not able to download a presentation, the publisher may have deleted the file from their server. During download, if you can't get a presentation, the file might be deleted by the publisher.

E N D

Presentation Transcript


  1. 数列复习

  2. 一、一般数列的基本概念: 1、数列的定义; 按一定次序排成的一列数叫数列。 2、有穷数列与无穷数列; 项数有限的数列叫有穷数列; 项数无限的数列叫无穷数列。

  3. 3、 递增(减)、摆动、常数列; 4、 数列{an}的通项公式an; 5、 数列{an}的递推公式; 6、 数列{an}的前n项和Sn

  4. 练习:1.写出下面数列的一个通项公式, 使它的前几项分别是下列各数: 3) 为正奇数 知识点: 2) 为正偶数

  5. 设 数列 的前 项和, 即 则 2. 设数列 前 项的和 求 的通项公式. 知和求项:

  6. 二、等差数列 1、定义: 2、 通项公式: 推广:

  7. 5.等差数列性质: (1) (3)若数列 是等差数列,则 也是等差数列 (2) 若 则 (4)等差数列{an}的任意等距离的项构成的数列 仍为等差数列

  8. 等差数列判定方法: (1)定义法: (2)递推公式法: (3)看通项法: (4)看前n项和法:

  9. 练习: 为等差数列 1. 5.在等差数列{an}中,S10=100, S100=10,求S110 -3;2;-5/2;26 =-30 0 =-110

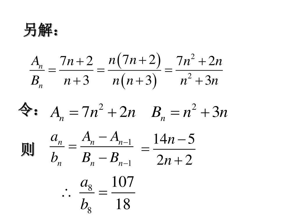
  10. 7. 已知 是两个等差数列,前 项和 分别是 和 且 求

  11. 令: 则 另解:

  12. 三、等比数列

  13. 5.等比数列的性质 (3)若数列 是等比数列,则 也是等比数列 (1) (2) (4)等比数列{an}的任意等距离的项 构成的数列仍为等比数列

  14. 等比数列判定方法: (1)定义法: (2)递推公式法: (3)看通项法: (4)看前n项和法:

  15. 答案:(1)必要不充分 (2)充要

  16. (3)已知 求 练习: 1、在等比数列 中, 30 (1)若 则 50 (2)若 则 32 = 4 (4)若 则

  17. 四、一般数列求和法 ①倒序相加法求和,如an=3n+1 ②错项相减法求和,如an=(2n-1)2n ③拆项法求和, 如an=2n+3n ④裂项相加法求和,如an=1/n(n+1) ⑤公式法求和, 如an=2n2-5n

  18. 练习:1.求下列各数列的前n项和 2. 求 的值 (1) (2)

  19. 五、已知数列递推公式求通项公式: ①累加法,如 ②累乘法,如 ③构造新数列:如 ④分解因式:如 ⑤取倒数:如

  20. 1.求数列 通项公式 (1) (构造新数列) (分解因式) (取倒数、累加)

  21. 六、应用问题: 1.某布匹批发市场一布商在10月20日投资购进4000匹布,21日开始销售,且 每天他都能销售前一天的20%,并新进1000匹新布. 设n天后所剩布匹的数目为 (第一天为20日). (1)计算 并求 ; (2)若干天后,布商所剩布匹能否稳定在4900到5000匹之内?若能,说出是几天后;若不能,说明理由.

More Related
SlideServe
Audio
Live Player
Audio Wave
Play slide audio to activate visualizer