1 / 9

8.1 Multiplication Properties of Exponents

8.1 Multiplication Properties of Exponents. Goal: Use mutiplication properties of exponents. exponent. 3. x. x x x. =. base. Rule of Common Bases. a + b. a. b. x. x. x. =. Example:. 3 + 2. 3. 2. 5. n. n. n. n. =. =. 5. n n n. n n . n. =. Simplify. 1). 4).

taran
Télécharger la présentation

8.1 Multiplication Properties of Exponents

An Image/Link below is provided (as is) to download presentation Download Policy: Content on the Website is provided to you AS IS for your information and personal use and may not be sold / licensed / shared on other websites without getting consent from its author. Content is provided to you AS IS for your information and personal use only. Download presentation by click this link. While downloading, if for some reason you are not able to download a presentation, the publisher may have deleted the file from their server. During download, if you can't get a presentation, the file might be deleted by the publisher.

E N D

Presentation Transcript


  1. 8.1 Multiplication Properties of Exponents Goal: Use mutiplication properties of exponents.

  2. exponent 3 x x x x = base Rule of Common Bases a + b a b x x x = Example: 3 + 2 3 2 5 n n n n = = 5 n n n n n n =

  3. Simplify. 1) 4) 2) 5) 3) 6)

  4. Simplify. 1) 2) 3)

  5. Power to Power Rule b ( ) a ab x x = Example: 2 ( ) 3 6 3 2 n n n = = 2 6 (n n n) (n n n) (n n n) n = =

  6. Simplify. 1) 3) 2) 4)

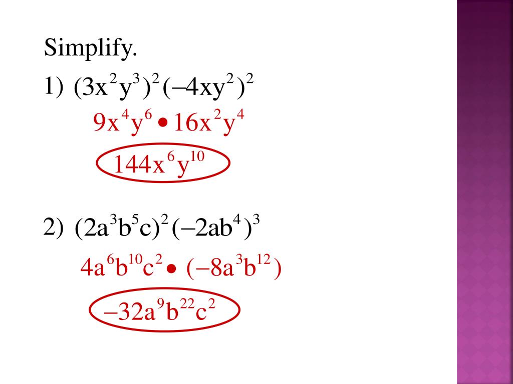
  7. Simplify. 1) 2)

  8. Simplify and name the rule that justifies each step. Statement Reason Given Power to Power Rule Rule of Common Bases Combine Like Terms

More Related