1 / 18

Świat kwantowy

Świat kwantowy. Interferencja/dyfrakcja. Dyskretne poziomy energetyczne. Tunelowanie. Zazwyczaj dotyczą pojedynczych atomów/cząsteczek. Czy obiekty (zbiory) makroskopowe (składające się z makroskopowej liczby cząstek N > 10 6 ) mogą zachowywać się jak pojedyncza cząstka? Sztuczne atomy?.

urit
Télécharger la présentation

Świat kwantowy

An Image/Link below is provided (as is) to download presentation Download Policy: Content on the Website is provided to you AS IS for your information and personal use and may not be sold / licensed / shared on other websites without getting consent from its author. Content is provided to you AS IS for your information and personal use only. Download presentation by click this link. While downloading, if for some reason you are not able to download a presentation, the publisher may have deleted the file from their server. During download, if you can't get a presentation, the file might be deleted by the publisher.

E N D

Presentation Transcript


  1. Świat kwantowy Interferencja/dyfrakcja Dyskretne poziomy energetyczne Tunelowanie Zazwyczaj dotyczą pojedynczych atomów/cząsteczek

  2. Czy obiekty (zbiory) makroskopowe (składające się z makroskopowej liczby cząstek N > 106) mogą zachowywać się jak pojedyncza cząstka? Sztuczne atomy?

  3. Zmienna makroskopowa to ta, która opisuje zachowanie wielu, wielu cząstek (obiektu makroskopowego). Np.: • - wychylenie z położenia równowagi – drgania kanapki piezoelektrycznej – obiektu makroskopowego, oscylator harmoniczny – kwantowy czy klasyczny? Czy można go umieścić w superpozycji stanów? • - nadprzewodząca faza to faza ta sama dla wielu par Coopera; • - magnetyzacja to sumaryczny moment magnetyczny wielu elektronów; Czy wielkości te obowiązuje „rozmycie” kwantowe? Jeśli tak to czy istnieje mechanizm tunelowania tzn. jeśli układ może istnieć dla dwóch różnych wartości zmiennej makroskopowej oddzielonych bariera potencjału to czy może tunelować pod barierą? Czy energia im odpowiadająca podlega kwantowaniu?

  4. Faza nadprzewodząca – wielkość makroskopowa (macroscopic wave function) Elektrony są falami materii. A fale mają fazę. W stanie normalnym przewodnictwa względne przesunięcia fazowe pomiędzy elektronami przyjmują wartości przypadkowe- żadna faza nie jest wyróżniona. Wejściu w stan przewodnictwa towarzyszy złamanie symetrii fazy. Wszystkie elektrony uzgadniają między sobą wartość fazy – ta sama wartość fazy jest przypisana wielu elektronom. A zatem faza w stanie nadprzewodzącym uzyskuje znaczenie makroskopowe. Wskazując dowolna część nadprzewodnika można powiedzieć jaka jest jego faza w tym miejscu. Względne przesunięcia fazowe pomiędzy odległymi miejscami nadprzewodnika są ściśle określone – to jest właśnie to co rozumiemy pod pojęciem stanu koherentnego materii. Gdy płynie prąd przez nadprzewodnik to jest on proporcjonalny do gradientu fazy. Fala elektronowa w nadprzewodniku jest zatem analogiczna do koherentnej fali fotonowej (elektromagnetycznej) jaką jest światło laserowe. Falę elektronową wygodnie jest opisywać za pomocą liczby zespolonej postaci A(x)*exp(i*g(x)). W dowolnym punkcie przestrzeni |A|2 jest ilością elektronów (sparowanych), natomiast g jest ich fazą w tym punkcie.

  5. Josephson effect(Wykład 1) Czy obiekty makroskopowe zachowują się kwantowo?

  6. Jak zrobić i zmierzyć JJ? prąd

  7. Gdzie to podłączyć? SQUID bias line e-beam lithography designed to be 50W at T < 1K 700µm antenna

  8. Photolithography

  9. E-beam lithography

  10. S I S g1 g2 Josephson relations Wyprowadzenie formuł Josephsona: Feynman, tom III, seminarium poświecone nadprzewodnictwu

  11. Okablowanie kriostatu

  12. = Electrical circuit Thevenin equivalent Pure Josephson element obeying Josephson relations

  13. Quasiparticle branch Supercurrent branch switching Isw retrapping Hysteretic behavior !!! Vjsw = IswRb Subgap current IV curve I-V characteristics of JJ biased through RB bias resistor. JJ supports supercurrent only to certain level. On crossing the threshold value I0 finite voltage develops across JJ.

  14. RCSJ model(Resistively and Capacitively Shunted Junction)

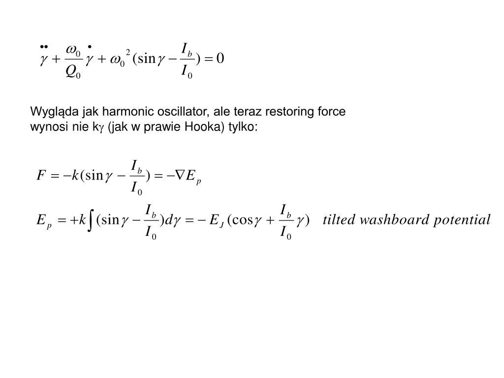
  15. RCSJ model Harmonic oscillator: First, consider g->0, IB=0 and map it into harmonic oscillator: Q - quality factor, amplitude of harmonic oscillator falls by a factor of e in Q/p cycles of free oscillations Back to full equation:

  16. Wygląda jak harmonic oscillator, ale teraz restoring force wynosi nie kg (jak w prawie Hooka) tylko:

  17. Tilted washboard potential • <-> x V/j0 (napięcie) <-> v (prędkość)

  18. Q (quality factor) <-> hysteresis

More Related