1 / 35

Use of A( , ). bandpass filtering

Filtering/smoothing. Use of A( , ). bandpass filtering. Suppose X(x,y)   j,k  jk exp{i(  j x +  k y)} Y(x,y) = A[X](x,y)   j,k A(  j ,  k )  jk exp{i(  j x +  k y)} e.g. If A(  ,  ) = 1, |  ±  0 |, |  ±  0 |  

venice
Télécharger la présentation

Use of A( , ). bandpass filtering

An Image/Link below is provided (as is) to download presentation Download Policy: Content on the Website is provided to you AS IS for your information and personal use and may not be sold / licensed / shared on other websites without getting consent from its author. Content is provided to you AS IS for your information and personal use only. Download presentation by click this link. While downloading, if for some reason you are not able to download a presentation, the publisher may have deleted the file from their server. During download, if you can't get a presentation, the file might be deleted by the publisher.

E N D

Presentation Transcript


  1. Filtering/smoothing. Use of A(,). bandpass filtering Suppose X(x,y)  j,kjk exp{i(j x + k y)} Y(x,y) = A[X](x,y) j,k A(j,k) jk exp{i(j x + k y)} e.g. If A(,) = 1, | ± 0|, |±0|  = 0 otherwise Y(x,y) contains only these terms Repeated xeroxing

  2. Approximating an ideal low-pass filter. Transfer function A() = 1 ||  Ideal Y(t) =  a(u) X(t-u) t,u in Z A() =  a(u) exp{-i  u) - <  a(u) =  exp{iu}A()d / 2 = |lamda|<Omega exp{i u}d/2 = / u=0 = sin u/u u  0

  3. Bank of bandpass filters

  4. Fourier series. How close is A(n)() to A() ?

  5. By substitution

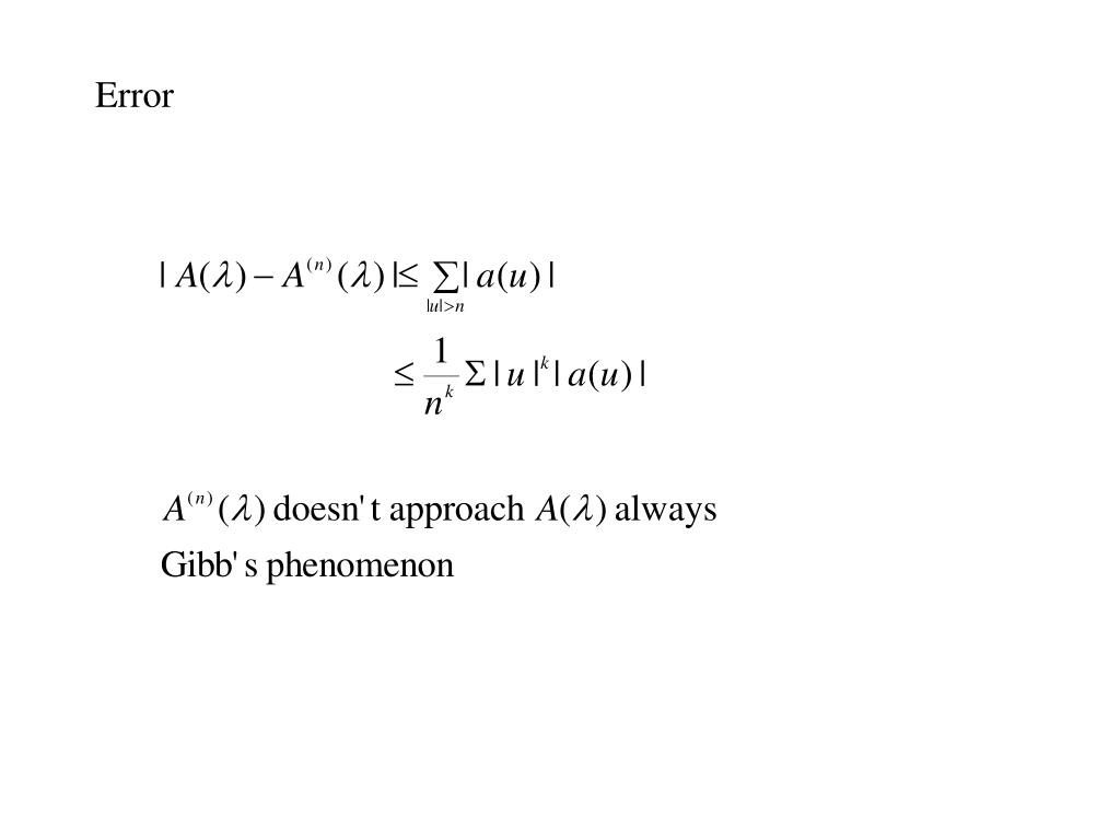
  6. Error

  7. Convergence factors. Fejer (1900) Replace (*) by Fejer kernel integrates to 1 non-negative approximate Dirac delta

  8. General class. h(u) = 0, |u|>1  h(u/n) exp{-iu} a(u) =  H(n)() A(-) d (**) with H(n)() = (2)-1 h(u/n) exp{-iu} h(.): convergence factor, taper, data window, fader (**) = A() + n-1H()d A'() + ½n-22H()d A"() + ...

  9. Lowpass filter.

  10. Smoothing/smoothers. goal: retain smooth/low frequency components of signal while reducing the more irregular/high frequency ones difficulty: no universal definition of smooth curve Example. running mean avet-kst+k Y(s)

  11. Kernel smoother. S(t) =  wb(t-s)Y(s) /  wb(t-s) wb(t) = w(t/b) b: bandwidth ksmooth()

  12. Local polynomial. Linear case Obtain at , bt OLS intercept and slope of points {(s,Y(s)): t-k  s  t+k} S(t) = at + btt span: (2k+1)/n lowess(), loess(): WLS can be made resistant

  13. Running median medt-kst+k Y(s) Repeat til no change Other things: parametric model, splines, ... choice of bandwidth/binwidth

  14. Finite Fourier transforms. Considered

  15. Empirical Fourier analysis. Uses. Estimation - parameters and periods Unification of data types Approximation of distributions System identification Speeding up computations Model assessment ...

  16. Examples. 1. Constant. X(t)=1

  17. Inversion. fft()

  18. Convolution. Lemma 3.4.1. If |X(t)M, a(0) and |ua(u)| A, Y(t) =  a(t-u)X(u) then, |dYT() – A() dYT() |  4MA Application. Filtering Add S-T zeroes

  19. Periodogram. |dT ()|2

  20. Chandler wobble.

  21. Interpretation of frequency.

  22. Some other empirical FTs. 1. Point process on the line. {0j <T}, j=1,...,N N(t), 0t<T dN(t)/dt = j (t-j) Might approximate by a 0-1 time series Yt = 1 point in [0,t) = 0 otherwise j Yt exp{-it}

  23. 2. M.p.p. (sampled time series). {j , Mj } {Y(j )} j Mj exp{-ij} j Y(j ) exp{-ij}

  24. 3. Measure, processes of increments 4. Discrete state-valued process Y(t) values in N, g:NR t g(Y(t)) exp{-it} 5. Process on circle Y(), 0   <  Y() = k k exp{ik}

  25. Other processes. process on sphere, line process, generalized process, vector-valued time, LCA group

More Related