alesia
Uploaded by
52 SLIDES
2372 VUES
940LIKES

Lecture 17. Density Functional Theory (DFT)

DESCRIPTION

Lecture 17. Density Functional Theory (DFT). References A bird’s-eye view of density functional theory (Klaus Capelle) http://arxiv.org/PS_cache/cond-mat/pdf/0211/0211443.pdf Nobel lecture: Electronic structure of matter — wave functions and density functionals (Walter Kohn; 1998)

1 / 52

Télécharger la présentation

Lecture 17. Density Functional Theory (DFT)

An Image/Link below is provided (as is) to download presentation Download Policy: Content on the Website is provided to you AS IS for your information and personal use and may not be sold / licensed / shared on other websites without getting consent from its author. Content is provided to you AS IS for your information and personal use only. Download presentation by click this link. While downloading, if for some reason you are not able to download a presentation, the publisher may have deleted the file from their server. During download, if you can't get a presentation, the file might be deleted by the publisher.

E N D

Presentation Transcript


  1. Lecture 17. Density Functional Theory (DFT) • References • A bird’s-eye view of density functional theory (Klaus Capelle) • http://arxiv.org/PS_cache/cond-mat/pdf/0211/0211443.pdf • Nobel lecture: Electronic structure of matter — wave functions and density functionals (Walter Kohn; 1998) • http://prola.aps.org/pdf/RMP/v71/i5/p1253_1

  2. Postulate #1 of quantum mechanics • The state of a quantum mechanical system is completely specified by the wavefunction or state function that depends on the coordinates of the particle(s) and on time. • The probability density to find the particle in the volume element located at r at time t is given by . (Born interpretation) • The wavefunction must be single-valued, continuous, finite, and normalized (the probability of find it somewhere is 1). • = <|> Probability density

  3. Wave Function vs. Electron Density • Probability density of finding any electron within a volume element dr1 N electrons are indistinguishable Probability density of finding electron 1 with arbitrary spin within the volume element dr1 while the N-1 electrons have arbitrary positions and spin • Wavefunction • Function of 3N variables (r1, r2, …, rN) • Not observable • Function of three spatial variables r • Observable (measured by diffraction) • Possible to extend to spin-dependent electron density

  4. Electron Density as the Basic Variable • Wavefunction as the center quantity • Cannot be probed experimentally • Depends on 4N (3N spatial, N spin) variables for N-electron system • Can we replace the wavefunction by a simpler quantity? • Electron density (r) as the center quantity • Depends on 3 spatial variables independent of the system size

  5. Density suffices. • Unique definition of the molecular system (through Schrödinger equation) • (N, {RA}, {ZA})  Hamiltonian operator wavefunction properties • N = number of electrons • {RA} = nuclear positions • {ZA} = nuclear charges • Unique definition of the molecular system (through density, too) • (N, {RA}, {ZA})  electron density properties • (r) has maxima (cusps) at {RA}

  6. Electron Density as the Basic Variable1st Attempt: Thomas-Fermi model (1927) • Kinetic energy based on the uniform electron gas (Coarse approximation) • Classical expression for nuclear-electron and electron-electron interaction • (Exchange-correlation completely neglected) • The energy is given completely in terms of the electron density(r). • The first example of density functional for energy. • No recourse to the wavefunction.

  7. Slater’s Approximation of HF Exchange: X method (1951) • Approximation to the non-local exchange contribution of the HF scheme • Interaction between the charge density and the Fermi hole (same spin) • Simple approximation to the Fermi hole (spherically symmetric) • Exchange energy expressed as a density functional • Semi-empirical parameter  (2/3~1) introduced to improve the quality (from uniform electron gas) X or Hartree-Fock-Slater (HFS) method

  8. Thomas-Fermi-Dirac Model • Combinations of the above two: • Thomas-Fermi model for kinetic & classical Coulomb contributions • Modified X model for exchange contribution • Pure density functionals • NOT very successful in chemical application

  9. The Hohenberg-Kohn Theorems (1964) • Reference • P. Hohenberg and W. Kohn, Phys. Rev. (1964) 136, B864 • http://prola.aps.org/pdf/PR/v136/i3B/pB864_1

  10. Hohenberg-Kohn Theorem #1 (1964) Proof of Existence

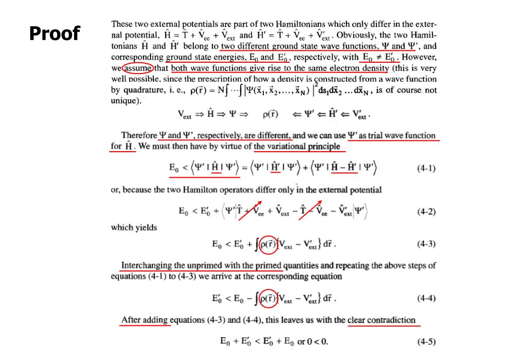
  11. There cannot be two different Vext (thus two different wavefuntion ) that yield the same ground state electron density (r). Hohenberg-Kohn Theorem #1 (1964) Proof of Existence The ground state electron density (r) in fact uniquely determines the external potential Vext and thus the Hamilton operator H and thus all the properties of the system.

  12. Proof

  13. Hohenberg-Kohn Functional • Since the complete ground state energy is a functional of the ground state electron density, so must be its individual components. system-independent, i.e. independent of (N,{RA},{ZA}) Hohenberg-Kohn functional

  14. Hohenberg-Kohn Functional: Holy Grail of DFT

  15. Finding Unknown Functional: Major Challenge in DFT • The explicit form of the functionals lies completely in the dark. • Finding explicit forms for the unknown functionals represent the major challenge in DFT. Kinetic energy Non-classical contribution Self-interaction, exchange, correlation Classical coulomb interaction

  16. Hohenberg-Kohn Theorem #2 (1964) Variational Principle • FHK[] delivers the lowest energyif and only if the input density • is the trueground state density 0. • * Limited only to the ground state energy. No excited state information! Proof from the variational principle of wavefunction theory

  17. Variational Principle in DFT Levy’s Constrained Search (1979) • Use the variation principle in wavefunction theory (Chapter 1) • Do it in two separate steps: • Search over the subset of all the antisymmetric wavefunctions X that yield a particular density X upon quadrature  Identify Xmin which delivers the lowest energy EXfor the given densityX • Search over all densities (=A,B,…,X,…)  Identify the density  for which the wavefunction min from (Step 1) delivers the lowest energy of all. Search over all allowed, antisymmetric N-electron wavefunction

  18. Variational Principle in DFT • Determined simply by the density • Independent of the wavefunction • The same for all the wavefunctions • integrating to a particular density Universal functional

  19. HK Theorem in Real Life? Pragmatic Point of View • The variational principle applies to the exact functional only. • The true functional is not available. • We use an approximation for F[]. • The variational principle in DFT does not hold any more in real life. • The energies obtained from an “approximate” density functional theory can be lower than the exact ones! • Offers no solution to practical considerations. Only of theoretical value.

  20. The Kohn-Sham Approach (1965) • Reference • W. Kohn and L.J. Sham, Phys. Rev. (1965) 140, A1133 • http://prola.aps.org/abstract/PR/v140/i4A/pA1133_1

  21. Implement Hohenberg-Kohn Theorems: Thomas-Fermi? • Hohenberg-Kohn theorems • Hohenberg-Kohn universal functional • Thomas-Fermi(-Dirac) model for kinetic energy: fails miserably • “No molecular system is stable with respect to its fragments!” Classical coulomb known Explicit forms remain a mystery. (from uniform electron gas)

  22. Hartree-Fock, a Single-Particle Approach: Better than TF Section IV.C, Nobel lecture: Electronic structure of matter — wave functions and density functionals (Walter Kohn; 1998)

  23. Better Model for the Kinetic Energy: Orbitals & Non-Interacting Reference System (HF for DFT?) Section IV.C, Nobel lecture: Electronic structure of matter — wave functions and density functionals (Walter Kohn; 1998) • A single Slater determinant constructed from N spin orbitals (HF scheme) • Approximation to the true N-electron wavefunction • Exact wavefunction of a fictitious system of N non-interacting electrons (fermions) under an effective potential VHF • The kinetic energy is exactly expressed as • Use this expression in order to compute the major fraction of the kinetic energy of the interacting system at hand

  24. Non-Interacting Reference System: Kohn-Sham Orbital • Hamiltonian with an effective localpotential Vs (no e-e interaction) • The ground state wavefunction (Slater determinant) • One-electron Kohn-Sham orbitals determined by • with the one-electron Kohn-Sham operator • satisfy Vs chosen to satisfy the density condition Ground state density of the real target system of interacting electrons

  25. ( ) The Kohn-Sham One-Electron Equations • If we are not able to accurately determine the kinetic energy through an explicit functional, we should be a bit less ambitious and • concentrate on computing as much as we can of the true kinetic energy exactly; and then • deal with the remainder in an approximate manner. • Non-interacting reference system with the same density as the real one • Exchange-Correlation energy (Junkyard of all the unknowns) Kohn-Sham orbitals

  26. The Kohn-Sham Equations. Vs and SCF • Energy expression • Variational principle (minimize E under the constraint ) Density-based Wavefunction -based only term unknown iterative solution SCF where

  27. The Kohn-Sham Approach: Wave Function is Back! A bird’s-eye view of density functional theory (Klaus Capelle), Section 4 http://arxiv.org/PS_cache/cond-mat/pdf/0211/0211443.pdf

  28. The Kohn-Sham Equation is “in principle” exact! • Hartree-Fock: • By using a single Slater determinant which can’t be the true wavefunction, the approximation is introduced right from the start • Kohn-Sham: • If the exact forms of EXC and VXC were known (which is not the case), it would lead to the exact energy. • Approximation only enters when we decide on the explicit form of the unknown functional, EXC and VXC. • The central goal is to find better approximations to those exchange-correlation functionals. Section IV.C, Nobel lecture: Electronic structure of matter — wave functions and density functionals (Walter Kohn; 1998)

  29. The Kohn-Sham Procedure I where

  30. The Kohn-Sham Procedure II

  31. The Kohn-Sham Procedure III

  32. The Exchange-Correlation Energy: Hartree-Fock vs. Kohn-Sham • Hatree-Fock • Kohn-Sham

  33. The Quest for Approximate Exchange-Correlation (XC) Functionals • The Kohn-Sham approach allows an exact treatment of most of the contributions to the electronic energy. • All remaining unknown parts are collective folded into the “junkyard” exchange-correlation functional (EXC). • The Kohn-Sham approach makes sense only if EXC is known exactly, which is unfortunately not the case. • The quest for finding better and better XC functionals (EXC) is at the very heart of the density functional theory.

  34. Is There a Systematic Strategy? • Conventional wavefunction theory • The results solely depends on the choice of the approximate wavefunction. • The true wavefunction can be constructed by • Full configuration interaction (infinite number of Slater determinants) • Complete (infinite) basis set expansion • Never realized just because it’s too complicated to be ever solved, • but we know how it can be improved step by step in a systematic manner • Density functional theory • The explicit form of the exact functional is a total mystery. • We don’t know how to approach toward the exact functional. • There is no systematic way to improve approximate functionals. • However, there are a few physical constraints for a reasonable functional.

  35. (constant everywhere) The Local Density Approximation (LDA) • Model • Hypothetical homogeneous, uniform electron gas • Model of an idealized simple metal with a perfect crystal • (the positive cores are smeared out to a uniform background charge) • Far from realistic situation (atom,molecule) with rapidly varying density • The only system for which we know EXC exactly • (Slater or Dirac exchange functional in Thomas-Fermi-Dirac model)

  36. The Local Density Approximation (LDA) • Exchange • Correlation • From numerical simulations, (VWN)

  37. Gradient Expansion Approximation (GEA) • LDA: not sufficient for chemical accuracy, solid-state application only • includes only (r), the first term of Taylor expansion • In order to account for the non-homogeneity, • let’s supplement with the second term, (r) (gradient) • Works when the density is not uniform but very slowly varying • Does not perform well (Even worse than LDA) •  Violates basic requirements of true holes (sum rules, non-positiveness) • (LDA meets those requirements.)

  38. Generalized Gradient Approximation (GGA) • Contains the gradients of the charge density and the hole constraints • Enforce the restrictions valid for the true holes • When it’s not negative, just set it to zero. • Truncate the holes to satisfy the correct sum rules. Reduced density gradient of spin  Local inhomogeneity parameter

  39. Exact Exchange Approach? • Exchange contribution is bigger than correlation contribution. • Exchange energy of a Slater determinant can be calculated exactly (HF). • Exact HF exchange + approximate functionals only for correlation • (parts missing in HF) • Good for atoms, Bad for molecules (32 kcal/mol G2 error) *HF 78 kcal/mol • Why? • The resulting total hole has the wrong characteristics (not localized). • “Local” Slater exchange from uniform electron gas seems a better model. This division is artificial anyway. “delocalized” (due to a single Slater determinant) “local” model functional (should be delocalized to compensate Ex)

  40. Slater’s Approximation of HF Exchange: X method (1951) • Approximation to the non-local exchange contribution of the HF scheme • Interaction between the charge density and the Fermi hole (same spin) • Simple approximation to the Fermi hole (spherically symmetric) • Exchange energy expressed as a density functional • Semi-empirical parameter  (2/3~1) introduced to improve the quality (from uniform electron gas) X or Hartree-Fock-Slater (HFS) method

  41. 0 linear Becke’s Hybrid Functionals: Adiabatic Connection where Non-interacting, Exchange only (of a Slater determinant), Exact 1 Fully-interacting, Unknown, Approximated with XC functionals Empirical Fit (Becke93) (2-3 kcal/mol G2 error) Half-and-half (Becke93) (6.5 kcal/mol G2 error) “B3LYP”

  42. Summary: XC Functionals • LDA: Good structural properties, Fails in energies with overbinding • GGA (BP86, BLYP, BPW91, PBE): Good energetics (< 5 kcal/mol wrt G2) • Hybrid (B3LYP): The most satisfactory results

  43. Self-Interaction Problem • Consider a one-electron system (e.g. H) • There’s absolutely no electron-electron interaction. • The general KS equation should still hold. • Classical electron repulsion • To remove this wrong self-interaction error, we must demand • None of the current approximate XC functions (which are set up independent of J[]) is self-interaction free.  0 even for one-electron system (naturally taken care of in HF)

  44. Self-Interaction in HF • Coulomb term J when i = j (Coulomb interaction with oneself) • Beautifully cancelled by exchange term K in HF scheme • HF scheme is free of self-interaction errors.  0 = 0

  45. Self-Interaction Error J[]+EXC[]

  46. HK Theorem in Real Life? • The variational principle applies to the exact functional only. • The true functional is not available. • We use an approximation for F[]. • The variational principle in DFT does not hold any more in real life. • The energies obtained from an “approximate” density functional theory can be lower than the exact ones!

More Related
SlideServe
Audio
Live Player
Audio Wave
Play slide audio to activate visualizer