1 / 28

Introduction. Elements differential and integral calculations

Introduction. Elements differential and integral calculations. Plan. Derivative of function Integration Indefinite integral Properties of indefinite integral Definite integral Properties of indefinite integral. Derivative of function

caelan
Télécharger la présentation

Introduction. Elements differential and integral calculations

An Image/Link below is provided (as is) to download presentation Download Policy: Content on the Website is provided to you AS IS for your information and personal use and may not be sold / licensed / shared on other websites without getting consent from its author. Content is provided to you AS IS for your information and personal use only. Download presentation by click this link. While downloading, if for some reason you are not able to download a presentation, the publisher may have deleted the file from their server. During download, if you can't get a presentation, the file might be deleted by the publisher.

E N D

Presentation Transcript


  1. Introduction. Elements differential and integral calculations

  2. Plan • Derivative of function • Integration • Indefinite integral • Properties of indefinite integral • Definite integral • Properties of indefinite integral

  3. Derivative of function Derivative of function y=f(x) along argument х is called limit of ratio increase of function to increase of argument. Derivative of function y=f(x) is denoted by у, у(х), f, f(x), . So, due to definition, Derivative of derivative is called derivative of the second order or second derivative. It is denoted as y, y2, f(x), f2(x),

  4. “the derivative of f with respect to x” “f prime x” or “y prime” “the derivative of y with respect to x” or “dee why dee ecks” “the derivative of f with respect to x” or “dee eff dee ecks” “the derivative of f of x” “dee dee ecks uv eff uv ecks” or

  5. Physical sense of derivative Velocity of some arbitrary moving point is vector quantity, it is defined with the help of vector - displacement of point per some interval of time. However, if point is moving along the line, then its position, displacement, velocity, acceleration is given by numbers, i.e. scalar quantities. Let         is position function of some point, then s'(t) expresses velocity of movement as some moment t (instantateous velocity), i.e.         .

  6. Differentiation Rules If f(x) = x6 +4x2 – 18x + 90 f’(x) = 6x5 + 8x – 18 *multiply by the power, than subtract one from the power.

  7. General differential formulas

  8. Integration Anti-differentiation is known as integration The general indefinite formula is shown below,

  9. Integrals of Rational and Irrational Functions

  10. Definite integrals y y = x2 – 2x + 5 Area under curve = A A = ∫1 (x2-2x+5) dx = [x3/3 – x2 + 5x]1 = (15) – (4 1/3) = 10 2/3 units2 3 3 1 3 x

  11. y = x2 – 2x + 5 y = x2 – 2x + 5 x x Integration – Area Approximation The area under a curve can be estimated by dividing the area into rectangles. Two types of which is the Left endpoint and right endpoint approximations. The average of the left and right end point methods gives the trapezoidal estimate. LEFT y RIGHT

  12. Newton-Leibniz formula The formula expressing the value of a definite integral of a given function f over an interval as the difference of the values at the end points of the interval of any primitive F of the function f : It is named after I. Newton and G. Leibniz, who both knew the rule expressed by (*), although it was published later. If f is Lebesgue integrable over [a,b] and F is defined by where C is a constant, then F   is absolutely continuous,                 almost-everywhere on   [a,b]     (everywhere if f   is continuous on [a,b] ) and (*) is valid. A generalization of the Newton–Leibniz formula is the Stokes formula for orientable manifolds with a boundary.

  13. Properties of definite integral

  14. Properties of definite integral

  15. Integration bySubstitution. Separable Differential Equations The chain rule allows us to differentiate a wide variety of functions, but we are able to find antiderivatives for only a limited range of functions. We can sometimes use substitution to rewrite functions in a form that we can integrate. Greg Kelly Hanford High School Richland, Washington M.L.King Jr. Birthplace, Atlanta, GA Photo by Vickie Kelly, 2002

  16. Example 1: The variable of integration must match the variable in the expression. Don’t forget to substitute the value for u back into the problem!

  17. One of the clues that we look for is if we can find a function and its derivative in the integrand. The derivative of is . Note that this only worked because of the 2x in the original. Many integrals can not be done by substitution. Example 2: (Exploration 1 in the book)

  18. Example 3: Solve for dx.

  19. Example 4:

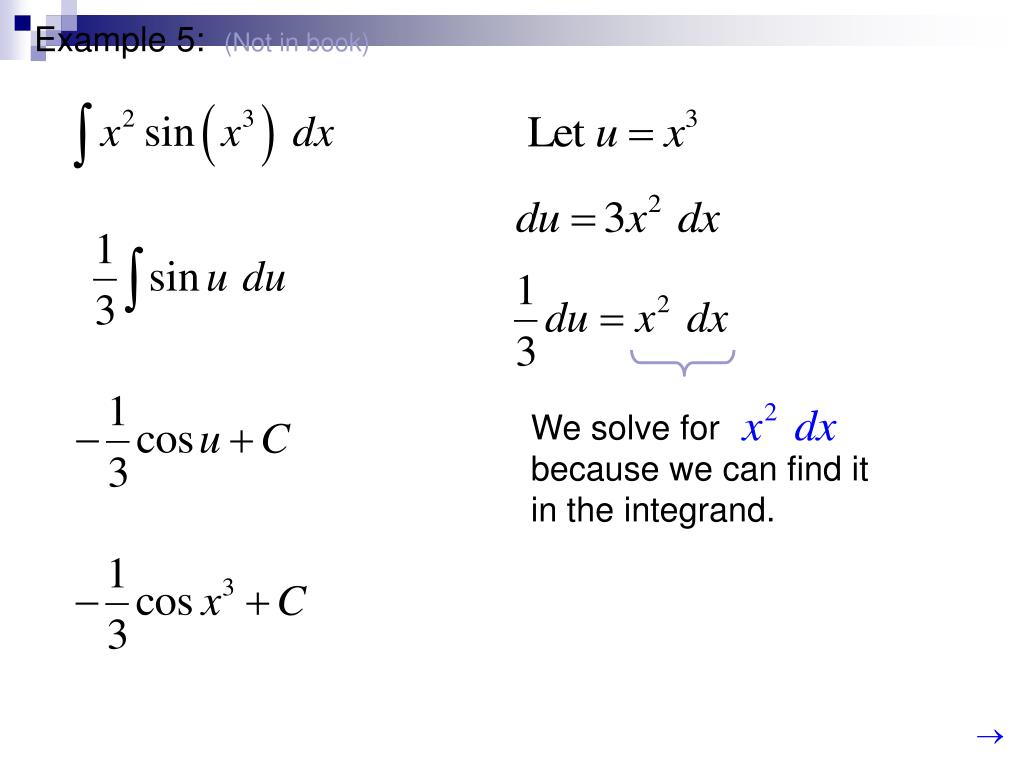
  20. We solve for because we can find it in the integrand. Example 5: (Not in book)

  21. Example 6:

  22. The technique is a little different for definite integrals. new limit new limit Example 7: We can find new limits, and then we don’t have to substitute back. We could have substituted back and used the original limits.

  23. Example 8: (Exploration 2 in the book) Don’t forget to use the new limits.

  24. Separable Differential Equations A separable differential equation can be expressed as the product of a function of x and a function of y. Example: Multiply both sides by dx and divide both sides by y2 to separate the variables. (Assume y2 is never zero.)

  25. Separable Differential Equations A separable differential equation can be expressed as the product of a function of x and a function of y. Example 9: Combined constants of integration

  26. Example 10: Separable differential equation Combined constants of integration

More Related