1 / 59

Radiative neutron capture and photonuclear data in view of global information on

Radiative neutron capture and photonuclear data in view of global information on electromagnetic strength and level density. E. Birgerson, E. Grosse, A. Junghans, R. Massarczyk, G. Schramm and R. Schwengner, FZ Dresden-Rossendorf and TU Dresden Giant dipole resonances and nuclear shapes

coy
Télécharger la présentation

Radiative neutron capture and photonuclear data in view of global information on

An Image/Link below is provided (as is) to download presentation Download Policy: Content on the Website is provided to you AS IS for your information and personal use and may not be sold / licensed / shared on other websites without getting consent from its author. Content is provided to you AS IS for your information and personal use only. Download presentation by click this link. While downloading, if for some reason you are not able to download a presentation, the publisher may have deleted the file from their server. During download, if you can't get a presentation, the file might be deleted by the publisher.

E N D

Presentation Transcript


  1. Radiative neutron capture and photonuclear data in view of global information on electromagnetic strength and level density. E. Birgerson, E. Grosse, A. Junghans, R. Massarczyk, G. Schramm and R. Schwengner, FZ Dresden-Rossendorf and TU Dresden Giant dipole resonances and nuclear shapes Spreading width and electric dipole transitions Magnetic dipole transition strength Level densities and radiative capture Conclusions

  2. Dipole strength f1fE1 is controlled by the isovector giant dipole resonance GDR. GDR{ n γ-transitions between high lying states Eth(n) Axel-Brink hypothesis: dipole strength only depends on Eγ 5 types of data for f1: photo-dissociation: (γ,n) photon scattering,nrf: (γ,γ) pre-dissociation photons radiative capture cross s. γ-decay spectra after (n,γ) average width × level density ▼ ▼▼▼ dipole strength function Bartholomew et al., Advances in Nuclear Physics 7(1973) 229 Axel, Phys. Rev. 126 (1962) 671

  3. Deformation induced GDR splitting – known since long, but interpreted in various ways if weakly deformed nucleiare treated as spherical theapparent width is enlarged simple Lorentzian fits result in widely variing widths σ0seeminglyfluctuates with A => deviations from sum rule The E1-strength at low energy governs radiative capture processes; it is proportional to deviation from sum rule and to GDR width – their determination needs special care ! P.Carlos et al., NPA 172 (1971) 437 Bohr & Mottelson, Nuclear Structure, Vol. II

  4. AZ B(E2↑) (e2b2) exp. FRDM 150Nd 2.76 2.59 148Nd 1.35 1.67 146Nd 0.76 0.84 144Nd 0.49 0.02 142Nd 0.26 0.01 100 10 1 6 8 10 12 14 16 18 20 Global parametrization for GDR splitting, width and strength 3 parameters – in addition to the B(E2)-values and 2 parameters determined by fit to masses – suffice to describe the GDR not only for the Nd-isotopes, but for all nuclei with A > 60.

  5. EGDR (MeV) 20 18 16 14 12 50 100 150 200 A GDR-energies as obtained from Lorentzian fits (1 or 2 poles, why not 3?) average GDR energy E0 variesonly weakly with A average GDR-energies E0 are well predicted using mass fits (FRDM ) and m* = 874 MeV V.A. Pluiko, www-nds.iaea.org/RIPL-3/gamma/gdrparameters-exp.dat; subm. to ADNDT; R. Capoteet al., NDS 110 (2009) 3107 W.D. Myers et al., PR C 15 (1977) 2032 A.Junghans et al., PLB 670 (2008) 200

  6. 35 no axial nuclei with small B(E2) 30 25 20 15 no tri-axial nuclei with large B(E2) 10 5 0 e²b² 2 4 6 8 10 12 Experimental study (Coulex etc.) of >150 nuclei reveals close correlation betweenE2-collectivity q2 and axiality q3 (both are rotation invariant observables) axiality q3(eb)3/2: systematics: -cos(3γ) = q3/q23/2 = 0.55 · B(E2)0.24 2 parameters fixed by spectroscopy data E2-collectivity: q2 = ΣB(E2,0→2+i) ≈ B(E2,0→2+1) D. Cline, ARNPS 36 (1986) 683 K. Kumar, PRL 28 (72) 249 M. Zielinska et al., NP A 712 (02) 3 W. Andrejtscheff and P. Petkov, PRC 48 (93) 2531 S. Raman, ADNDT 42(89)1 L. Esser et al., PRC 55 (97) 206 C. Y. Wu and D. Cline, PRC 54 (96) 2356 V. Werner et al., PRC 71, 054314 (05)

  7. 18 16 Ek 14 12 E(MeV) 10 160Dy prolate 8 6 25 4 Γk 2 20 Ek 0 0 2 4 6 8 10 B(E2)(e²b²) 15 80Se oblate 10 E(MeV) Γk 5 0 0 0.2 0.4 0.6 0.8 1 B(E2)(e²b²) E2-collectivity q2 and axiality q3determine axes of ellipsoid by only assuming reflection symmetry and homogeneous distribution of charge and mass; GDR-energies and widths vary accordingly from systematics: -cos(3γ) = q3/q23/2 ≈ 0.55·B(E2)0.24 K. Kumar, Phys. Rev. Lett. 28, 249 (1972)

  8. ΓGDR (MeV) 10 8 6 4 2 50 100 150 200 A GDR-widths as obtained from Lorentzian fits (1 or 2 poles, why not 3?) average spreading widthΓ0varies only weakly with A; but individual fitsyield large scatter; results from neglect of triaxiality. average GDR-widths are well predicted by hydrodynamics using wall formula Γ0 = 0.05 ·E01.6;which leads for the 3 components toΓk = 0.05 ·Ek 1.6. V.A. Pluiko, www-nds.iaea.org/RIPL-3/gamma/gdrparameters-exp.dat; subm. to ADNDT; R. Capoteet al., NDS 110 (2009) 3107 A. Junghans et al., PLB 670 (2008) 200 B. Bush and Y. Alhassid, NPA 531 (1991) 27

  9. GDR-integrals as obtained from Lorentzian fits (1 or 2 poles, why not 3?) 3 2.5 2 GGT sum rule – derived alone from unitarity and causality allows small surplus mainly for energies above pion mass 1.5 0.5 0 0 50 100 150 200 A V.A. Pluiko, www-nds.iaea.org/RIPL-3/gamma/gdrparameters-exp.dat; subm. to ADNDT; R. Capote et al., NDS 110 (2009) 3107 M. Gell-Mann et al., PR 95 (1954) 1612

  10. 168Er 196Pt 1000 f1 (GeV-3) 100 2 4 6 8 10 12 14 16 18 Eγ(MeV) 2 4 6 8 10 12 14 16 18 Eγ(MeV) Triple Lorentzians (TLO) compared to dipole data for prolate and oblate nucleus ► good description of photon-data in GDR and (n,γ)-data below – E1 – + M1 G.M.Gurevich et al., NPA,351(81) 257 A. Junghans et al., PLB 670 (2008) 200 A.M.Goryachev,G.N.Zalesnyy, YF27(78)1479 S.F. Mughabghab, C.L. Dunford, PLB 487(00)155

  11. 90Zr 1000 f1 (GeV-3) 100 Eγ(MeV) 2 4 6 8 10 12 14 16 18 2 4 6 8 10 12 14 16 18 Triple Lorentzians (TLO) compared to dipole data for 'quasi-magic' nuclei; small B(E2) – i.e. small q2 – leads to unsignificant deformation induced split. 206Pb 1000 f1 (GeV-3) 100 Eγ(MeV) ELBE (γ,γ)-measurements agree well to Urbana data unobserved (γ,p) leads to misssing strength In 'quasi-magic' nuclei large fluctuations and/or pygmy resonances occur near Ex ~7 MeV. R. Schwengner et al., PRC78 (08) 064314 R.D.Starr et al., PRC (82) 25 780 R.R.Harvey et al., PR136 (64) B126 P. Axel et al.,PRC 2 (70) 689 A.Lepretre et al., NPA 175 (71) 609 A. Junghans et al., PLB 670 (08) 200

  12. 238U 78Se 2 4 6 8 10 12 14 16 18 6 8 10 12 14 16 18 20 22 Eγ(MeV) Eγ(MeV) Triple Lorentzians (TLO) compared to GDR for A=78 and A=238 with contradicting data 1000 f1 (GeV-3) 100 Y. Birenbaum et al, PRC36(87)1293 P. Carlos et al., NPA 258 (76) 365 A. Veyssière, et al., NPA 199 (73) 45 A. Junghans et al., PLB 670 (2008) 200 A.M.Goryachev, G.N.Zalesnyy, VTYF 8 (82) 121 G.M.Gurevich et al., NPA 273 (76) 326

  13. 4 6 8 10 12 14 16 18 20 Simple Lorentzian fits to GDR data may result in too large fE1 because of no deformation induced split – or erroneous normalzation of CEA-data 1000 f1 (GeV-3) 100 CEA-data CEA-data Eγ(MeV) Rusev et al., PRC 79, 061302 (09); Pluiko in Capoteet al., NDS 110 (2009) 3107 Junghans et al., PLB 670 (08) 200 Beil et al., NP A 227 (74) 427 Erhard et al., PRC81(10)034319

  14. A good global descrption of the GDR shapes is possible (on absolute scale), when triaxial nuclei are treated as such (they are not rare) =>TLO. The global TLO fit results in a smooth A-dependence of the spreading width and allows to obey the GGT sum rule (no need for pionic effects). The resulting E1 strength can thus be considered reliable. GDR peak shape does not have an impact on fE1 at low Eγ, but it optimizes global fit. Local fits with 3 resonances would need additional input. Three questions remain, before this TLO-fE1 is used for radiative processes: 1. What role play magnetic dipole transitions (M1)? 2. Can it be extrapolated to low energies (2-5 MeV)? 3. Can the effect of f1 be distinguished from the impact of the level density and its energy dependence?

  15. (γ,n) 100Mo (γ,γ) 96Mo (γ,p) 92Mo Triple Lorentzian (TLO) – fE1 fitted globally to GDR's –inserted into TALYS =► several exit channels well described simultaneously M. Erhard et al., PRC81(10)034319 A. Junghans et al., PLB 670 (08) 200 H. Beil et al., Nucl. Phys. A 227 (74) 427 Calculations with TALYS, A.Koning et al. Rusev et al., PRC 79 (09) 061302

  16. 100 208Pb 10 σ (fm2) 1 SM-calc., A. Brown 24 orbit model space incl. all conf igurations up to 2 part. - 2 hole. ┌| E1, ┌| M1 (200 keV av'd) – E1-Lorentzian;+M1 – M1, 2 Gaussians 0.1 5 10 15 20 Eγ (MeV) E1 and M1 in the shell model For the magic nucleus 208Pb particle – hole calculations in a shell model basis are feasable. The resulting GDR (E1) has a Lorentzian shape. Equivalent calculations of the M1 strength show a much narrower distribution – more like a Gaussian. The widespread use of a Lorentzian also for M1 appears to be justified by analogy only. More M1 data are needed. B.A.Brown, PRL 85 (2000) 5300 , cf. R.Schwengner et al., PRC 81, 054315 (2010)

  17. Results for M1 strength in heavy nuclei newly compiled for Rev. Mod. Phys. => In heavy nuclei M1 strength has little influence on radiative capture M1 strength in heavy nuclei well described by 3 Gaussians with a total strength of < 0.2 A µN2. K.Heyde et al., arxiv 1004-3429 A. Richter, Prog. Part. Nucl. Phys. 34 (1995) 261.

  18. 197Au(ñ,γ) 197Au(ñ,γ) E1 –– M1 –– sum –– E1 –– M1 –– sum –– E1 –– M1 –– sum –– 93Nb(γ,n) 197Au(ñ,γ) 93Nb(ñ,γ) A sum of 3 Gaussians (orbital, isoscalar & isovector spin flip) is proposed for fM1, withtheir poles and integrals adjusted to experiments specific on magnetic strength; this parametrization is in accord to old polarized neutron data for M1. 197Au(γ,n) J.Kopecky + M.Uhl, PRC 41 (90) 1941 A. Veyssière et al., NPA 159 (70) 561 A.Lepretre et al., NPA 175 (71) 609

  19. 96Mo 96Mo γγ – coincidence data (two step cascade, TSC) yield information on ρ and f1 – but these two quantities are very strongly anti-correlated! TLO-dipole strength (together with CTM)is in reasonable agreement to data The thin curves represent the best randomly selected functions of the density of intermediate cascade levels, reproducing Iγγ with the same χ2 values and ● are their mean values. Line 2 shows the prediction by Strutinsky's model with the parameter g depending on shell inhomogeneities of one-particle spectrum; line 3 shows the same model for g = const. CTM with T= 783 keV and T= 820 keV using D(Sn) =15 eV. Thin curves depict the best random functions reproducing Iγγ with the same small χ2 values and ● are their mean values. Solid black curve is the best approximation by model of Sukhovoj et al., dotted curve depicts strength function of KMF model. "Intensities of the two-step cascades can be reproduced with equal and minimal values of χ2 by infinite set of different level densities and radiative strength functions". –-: A. Junghans et al., PLB 670 (2008) 200 –-: id. + M1, K. Heyde et al., RMP (2010) A. M. Sukhovoj, V.A.Khitrov (2008), submitted to Yadernaya Fizika

  20. βγ(°) 0.21 20 0.33 4 0.35 2 0.34 3 'Triple' dipole strength is in reasonable agreement to recent JINR-data for the low energy tail – which determines the radiative capture. In contrast to 96Mo no information is given on the correlation between ρ and f1 –-: A. Junghans et al., PLB 670 (2008) 200 –-: id. + M1, K. Heyde et al., RMP (2010) data taken from: W. Furman, PSF Praha (07)

  21. 1000 164Dy 165Ho f1 (GeV-3) 100 2 4 6 8 10 12 14 16 18 Result of triple Lorentzian fits compared to results from 'Oslomethod' Triple electric dipole strength is in average agreement also to new Oslo-data for energies below GDR –radiative capture is determined byf1 for Eγ< 5 MeV. Triple magnetic strength may need adjustment – its effect on radiative capture is small. Oslo data are taken with He-projectiles, which excite nuclei in states with ℓ ≈ 3-5 ħ =► thus the extraction of strength for low J depends on the spin dependence of the level density. H.T. Nyhus et al., PRC 81 (10) 024325; http://ocl.uio.no/compilation B.L.Berman et al., PR185 (69) 1576 R.Bergère et al., NPA 121 (68) 463 A. Junghans et al., PLB 670 (08) 200

  22. Average photon width and radiative capture 92Zr 10 yield of 1st photon = sensitivity E1, <ΓRγ> = 140 meV E1+M1, <ΓRγ> = 149 meV QRPA, <ΓRγ> = 37 meV f1(J) fE1(G) 1 0.1 CTM→ average photon width depends only on Eγ , f1 ,T andnoton ρ(Sn), which cancels out . The factor 3 accounts for the decay statistics, it may be smaller. the radiative capture cross section depends also on ρ(ER). 0.01 Eγ(MeV) 1 2 3 4 5 6 7 8 QRPA predicts onsiderably smaller f1 and thus also smaller radiative capture CTM is good choice for ρ, as sensitivity on Eγ peaks at ≈ 4 MeV; it is taken as valid up to Sn, even if EM< Sn. J: A.Junghans et al., PLB 670 (2008) 200 G:S. Goriely et al., NPA 739 (2004) 331

  23. 10000 10000 156Gd+γ NZ/A=3.77 σ (mb) 1 1000 1000 1000 100 0.1 D= 1.8 eV T= 580 keV f1 (GeV‒3) 100 10 100 1000 100 En(keV) 6 8 10 12 14 16 18 TLOgives good description of both: photon absorption and radiative capture EGLO fails – it starts from 1 or 2 Lorentzians (i.e.large Γ) and reduces low energy strength by setting Γ~Eγ² 155Gd(n,γ) 197Au(n,γ) 197Au+γ NZ/A=4.73 1000 1000 σ (mb) 100 100 D= 16 eV T= 620 keV Junghans et al.,PLB 670 (08) 200 RIPL-2:EGLO (Kopecky & Uhl) QRPA-SLy4(Goriely & Khan) 100 10 Eγ/MeV 10 100 A. Veyssiere et al., Nucl. Phys. A159 (1970) 561 N.Yamamuro et al., NST 20(1983)797 A.N.Davletshin et al., AE 65 (1988) 343 G.M. Gurevich et al., Nucl. Phys. A 338 (1980) 97 K.Wisshak et al., PRC 52 (1995) 2762 S.F. Mughabghab, C.L. Dunford, Phys. Lett. B 487 (2000) 155

  24. 1 1 0.1 60 100 140 180 220 0 50 100 150 200 A Average radiative width ‹Γ›and temperature T <Γ> (eV) T MeV 5 + local fit ⃟ global fit o T(A) RIPL2 0.5 ◘ even nuclei + odd nuclei ◊ data from '97 T(A)=16 MeV·A‒⅔ A average radiative width ‹Γ›and energy dependence of level density T show surprisingly similar trends in their dependence on mass number A; ► a slowly varying f1is favoured. A.Koning et al., Nucl. Phys. A 810 (08) 13 T.Belgya, RIPL2 Handbook (2006) IAEA-TECDOC-1506 A. Ignatyuk, IAEA-TECDOC-1506, RIPL-2

  25. 1 1 0.1 0.1 0.01 0.01 50 100 150 200 A 50 100 150 200 250 Newly compiled (RIPL-3) average radiative widths‹Γ› – compared to prediction of global TLO-fit for f1 combined to T(A) ~A-2/3 ‹Γ› (eV) ‹Γ› (eV) T=17.6 MeV·A– ⅔ T=17.6 MeV·A– ⅔ T=16 MeV·A– ⅔ fE1(TLO) fE1+M1(TLO) fE1+M1(TLO)*1.1 Average radiative widths ‹Γ›in heavy nuclei are approximately reproduced in trend and absolute size; local effects like shell closure etc. are not and the influence of M1 is marginal. An increase of 10% inT(A)rises ‹Γ›by 70% – as compared to 10% for 10% change in f1 . A. Ignatyuk in RIPL-3 (09), § 3 Resonances

  26. 1 1 0.1 0.1 0.01 0.01 50 100 150 200 A 50 100 150 200 A Average radiative widths ‹Γ› as measured in even-even nuclei compared to prediction of global TLO fit for f1 combined to variousT(A) ‹Γ› (eV) ‹Γ› (eV) TLO and the local fits for T reproduce the data much better than the global T(A) Hilaire in RIPL-3 (08) local fit to RIPL-2 resonance data Belgya, RIPL-2 Handbook(06) IAEA-TECDOC-1506 Egidy & Bucurescu, PRC80 (09) 054310 local Koning et al., NPA 810 (08) 13 global A. Ignatyuk in RIPL-3 (09), § 3 Resonances

  27. Conclusions The E1 strength fE1 as controlled by the isovector giant dipole resonance GDR has at Eγ«EGDR a value proportional to (1) the spreading width ΓGDR and (2) the ratio to the dipole sum rule. To extract both from GDR data the nuclear deformation has to be considered: The deviation from axial symmetry has an important effect, neglected up to now. Recent nuclear structure investigations show that triaxiality is (1) observed in very many nuclei and (2) anti-correlated to the dynamic quadrupole moment q2 . Any use of a Lorentzian for fE1 should be in accord to that; thus GDR data do not indicate (1) a strong deviation from the GMT sum rule (with mπ=0) (2)a strong variation of ΓGDR with A and Z. Radiative neutron capture strongly depends onT(E)and less onf1– on bothfor Eγ ≈ 4 MeV. Combined to local CTM fits, predictions with the triple Lorentzian TLO compare well to data – in dependence of A and on an absolute scale. M1 strengh does not have Lorentzian shape – and it has a minor effect on radiative capture .

  28. A. M. Sukhovoj, V.A.Khitrov (2008), submitted to Yadernaya Fizika

  29. 7 6 Esci (MeV) 5 4 3 2 1 EGDR/4.8 0 50 100 150 200 250 M. Krticka et al., PRL 92(04)172501 A. Schiller et al., PLB 633(05)225 7 B(M1↑)sci (µ²K) OrbitalM1 strength:"scissors mode" Photon scattering lines ⇨ΣB(M1) 6 ∗ β²Z²/120 data 5 energy of scissors mode is approximately proportional to EGDR 4 3 2 J.Enders et al., PRC 71 (05) 014306 G. Rusev et al., PRC 73 (06) 044308 C. Fransen et al., PRC 70,(04) 044317 1 0 A 50 100 150 200 250 a compromise was searched for between B(M1) data from elastic scattering γ-lines and data which also contain quasi-continuum A

  30. 1 0 20 40 60 80 100 120 140 N 0 50 100 150 200 A 0 10 20 30 40 50 60 70 80 90 Z T depends on A-2/3 and on shell structure T MeV 2 T MeV 2 T= 16·A– ⅔ 1 0.5 0.5 T MeV 2 1 to test dipole strength for different A, Z and N the average photon width is calculated from globally averaged T ⃟ global fit + local fit 0.5 A.Koning et al., Nucl. Phys. A 810 (08) 13

  31. 800 700 1000 600 500 100 400 300 200 60 80 100 120 140 160 180 200 220 240 100 0 60 80 100 140 160 180 200 220 240 120 ◘ even nuclei + odd nuclei ◊ data from '97 A average radiative width (meV) A A. Ignatyuk, IAEA-TECDOC-1506, RIPL-2

  32. average radiative widths for s-wave resonances(RIPL-2, BNL) <ΓRγ> temperature values from 2 different methods(RIPL-2) A (A. Ignatyuk) global fit T(A) (RIPL-2) (T. Belgya) IAEA-TECDOC-1506 , RIPL-2, Library-2

  33. 6 5 4 3 2 1 6 0 5 0 50 100 150 200 250 4 3 2 1 0 0 50 100 150 200 250 ⃟global fit + local fit T(A) (MeV) A T(A) (MeV) T= 16·A– ⅔ A T. Belgya, IAEA-TECDOC-1506 , RIPL-2, A.Koning et al., Nucl. Phys. A 810 (08) 13

  34. 1 1 0.1 0.1 0.01 100 150 200 250 0.01 100 150 200 250 average radiative width (eV) even-odd for capture of s & p-wave neutrons into various compound nuclei odd- even even-even A 1 A 0.1 0.01 100 150 200 250

  35. T (MeV) <Γγ> (eV) 1 1 0.1 T (MeV) <Γγ> (eV) A 0.1 60 80 100 120 140 160 180 200 240 220 no M1 even Z even N 60 80 100 120 140 160 180 200 220 240 A

  36. T (MeV) ⃟ RIPL-3 ––T∝A⅔ <Γγ> (eV) 1 0.1 50 100 150 200 250

  37. 1 0.1 0.01 50 100 150 200 250

  38. 1 0.1 0.01 50 100 150 200 250

  39. 1 0.1 60 80 100 120 140 160 180 200 220 240 T (MeV) <Γγ> (eV) even Z odd N A

  40. Conclusions The E1 strength fE1 is controlled by the isovector giant dipole resonance GDR: At Eγ«EGDR its value is proportional (1) to the spreading width ΓGDR and (2) to the excess over the dipole sum rule. To extract both from GDR data the nuclear deformation has to be accounted for: The deviation from axial symmetry has an important effect, neglected up to now. Modern nuclear structure investigations show that triaxiality is (1) observed in very many nuclei and (2) anti-correlated to the quadrupole moment Qi . Any use of a Lorentzian for fE1 has to be in accord to that; GDR data do not indicate (1) a strong deviation from the GMT sum rule (with mπ=0) (2)a strong variation of ΓGDR with A and Z. Radiative neutron capture strongly depends on ρ and on the dipole strength f1 in the region 2 - 6 MeV. It is thus influenced by orbital magnetism (scissors mode) and the isoscalar spin flip M1 strengh. Respective data show that (1) they do not have Lorentzian shape (with ΓGDR ) and (2) hitherto unobserved continua may increase their strength. Very low energy strength (as predicted by KMF) is very difficult to be clearly identified experimentally.

  41. Mo dipole strength studies @ ELBE agree to 98Mo measurements @Duke-HiγS statistical analysis for 92Mo (γ,γ) shows no collective strength (pigmy?),only Porter –Thomas fluctuations. and disagree to (3He,3He)-data from cyclotron @ Oslo. Tonchev et al.; Siem et al., contrib. to PSF-workshop 2008 Erhard et al., PRC xx (2010) Erhard et al., PRC81(10)034319

  42. Dynamic rms Q-moment vs. static deformation in relation to harmonic oscillator vs. winebottle potential (Mexican hat) "vibrational" nucleus (γ=0) vs. "rotational" nucleus (γ=0) With the rotation invariantobservables the the "traditional" mean deformation parameters Q0, βandγ are replaced by the root mean square (rms) averages Qrms ,d andδ. The distictionbetween spherical, vibrational, rotational is lost; quantitative information is used to define rms-values and their variance instead. Experiment can onlydeliver rms-information about non-sphericity and non-axiality. Fig. from V. Werner et al., PRC 78, 051303 (2008)

  43. Triaxiality in Nilsson-Strutinski calculations (FRDM-HFB) oblate and in calculations with the Thomas-Fermi plus Strutinsky integral (ETFSI) method, saying: We are thus inclined to accept the widespread ( >30% ) occurrence of triaxiality…as being an essential feature of ETFSI calculations, if not of the real world …albeit the associated reduction in energy, …never exceeds 0.7MeV. triaxial prolate out of ~ 9000 studied. P. Möller et al., PRL 97(06) 162502 A. K. Dutta et al., PRC 61(00)054303

  44. Various contributions to the sum of E2-strengths - i.e. the quadrupolar deformation For most nuclei, the e.m. transition dominates the sum by ~ 95%. But: in nearly sperical nuclei the transition from the g.s. to the high energy quadrupole mode GQR is comparable with . It corresponds to a fast oscillation and causes a respective increase of Qrms. N. Pietralla et al.,, Phys. Rev. Lett. 73, 2962 (1994)

  45. Observation vs. theory The only "theoretical" assumptions to get d and δare: reflection symmetry and equal distribution of charge and mass (i.e. protons and neutrons). The radii Ri of a non-axial ellipsoidal shape (assumed) and the dipole oscillation frequencies ωi directly result from the observables K2and K3. The K3 are well determined for ~ 100 nuclei only. For these the approximations needed have been proven to be OK: K3 can also be derived from excitation energy information with nearly no experimental uncertainty, but often systematic problems due to theoretical approximations. W. Andrejtscheff and P. Petkov, PRC 48 (93) 2531 V. Werner et al., PRC 71, 054314 (2005) C. Y. Wu and D. Cline, PRC 54 (96) 2356

  46. Apparent GDR-width – from (γ,n)-data taken at CEN Saclay nuclei usually considered deformed Ag 100Mo Au 92Mo Sn 4.6 3.1 spreading widthΓ↓varyingonly weakly with A ➥ for A > 80theapparent width of GDR is determined by: a. spreading (coupling of p-h, 2p-2h,.. -configurations) b. escape of particles Γ↑≈ 1 MeV (negligibly small) c. splitting due to (static & dynamic) deformation not only for well deformed nuclei Carlos et al., NP A 219 (1974) 61 Junghans et al., PLB 670 (2008) 200

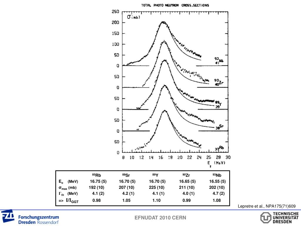
  47. 85Rb 88Sr 89Y 90Zr 93Nb Eo(MeV) 16.75 (5) 16.70 (5) 16.70 (5) 16.65 (5) 16.55 (5) σmax(mb) 192 (10) 207 (10) 225 (10) 211 (10) 202 (10) Γfit(MeV) 4.1 (2) 4.2 (1) 4.1 (1) 4.0 (1) 4.7 (2) => I/IGGT 0.98 1.05 1.10 0.99 1.08 Lepretre et al., NPA175(71)609

  48. fE1 (GeV-3) dΓ dE 10-8 10-9 10-10 10 1 0.1 Eγ(MeV) 0 1 2 3 4 5 6 7 8 A.Junghans et al., PLB 670 (2008) 200

More Related