1 / 17

Helicity as a Constraint on the Solar Dynamo

If you worry about publicity Do not speak of Current Helicity Jan Stenflo. Helicity as a Constraint on the Solar Dynamo. Alexei A. Pevtsov. Dynamo? Which dynamo?. 1 – e.g. mean-field, overshoot region, interface dynamo 2 – AKA local, surface, photospheric, turbulent dynamo.

dobry
Télécharger la présentation

Helicity as a Constraint on the Solar Dynamo

An Image/Link below is provided (as is) to download presentation Download Policy: Content on the Website is provided to you AS IS for your information and personal use and may not be sold / licensed / shared on other websites without getting consent from its author. Content is provided to you AS IS for your information and personal use only. Download presentation by click this link. While downloading, if for some reason you are not able to download a presentation, the publisher may have deleted the file from their server. During download, if you can't get a presentation, the file might be deleted by the publisher.

E N D

Presentation Transcript


  1. If you worry about publicity Do not speak of Current Helicity Jan Stenflo Helicity as a Constraint on the Solar Dynamo Alexei A. Pevtsov

  2. Dynamo? Which dynamo? 1 – e.g. mean-field, overshoot region, interface dynamo 2 – AKA local, surface, photospheric, turbulent dynamo (also see Blackman & Ji 2006, MNRAS)

  3. Dynamo in Magnetically Dominated Environment Magnetically dominated dynamo is observed in laboratory plasma (e.g. Reverse Field Pinch, RFP configuration) : - injection of magnetic helicity (of one sign) drives system away from the relaxed state. - small-scale fluctuations (kink-mode tearing-mode instabilities) - fluctuations produce correlation between fluctuating velocity and magnetic field (EMF, ), which allows the system to evolve back to relaxed state. - helicity evolves toward system-largest spatial scales - sawtooth oscillations in magnetic field - without helicity injection, the field will decay due to resistive decay. Ji & Prager, 2004

  4. f Bz Bf Vf Dynamo in Solar Corona? • Coronal helicity is supplied from below • (Pevtsov et al, 2003, Tian & Alexander 2008) • Time profile of helicity evolution • Impulsive behavior Helicity injection may play role in coronal heating?

  5. Both flow-driven and mag. field dominated dynamos are driven by finite term. In flow-driven dynamo Two types of flow driven dynamos can exist: helical and non-helical. For non-helical dynamo mean turbulent EMF is not required, turbulent velocity is sufficient to amplify magnetic energy via random walk line stretching and shear. • Em (active region) ~ 1-10 x 1034 erg • Em (network field at granule scale) ~ 1027 erg • Ek (granulation) ~ 3-6 x 1027 erg • The large-scale (mean field dynamo) generates magnetic fields at scales • larger than the energy-containing scale of the turbulence, as is, for example, the case in helical turbulence. The small-scale dynamo amplifies magnetic fluctuation energy below the energy-containing scale of the turbulence.

  6. 2 types of dynamo Mag. Flux of ARs varies with sunspot cycle • AR and QS fields behave differently with • solar cycle • -QS fields have very short lifetime. AR and QS magnetic fields may be generated by separate dynamos. Mag. Flux of QS does not • Em (active region) ~ 1-10 x 1034 erg • Em (network field at granule scale) ~ 1027 erg • Ek (granulation) ~ 3-6 x 1027 erg • -Helical dynamo is necessary to generate strong magnetic fields of ARs. • -Turbulent dynamo can amplify magnetic field only to 10-20% of kinetic energy. • -Numerical simulations: e.g. Cattaneo 1999; Schekochihin et al 2004. • -Pm>1 (in numerical simulations), Pm~ 10-6 <<1 (on the Sun)

  7. Helical or not ? Chaotic (turbulent) Helical • Overshoot region (DeLuca & Gilman 1991) • Mean-field dynamo (Krause & Radler 1980) • Surface dynamo (Emonet & Cattaneo 2001) Pevtsov & Longcope 2007 Tornado: Hurricanes: • Helical dynamo should result in hemispheric preference for sign of helicity • Chaotic (turbulent) dynamo should show no hemispheric sign-preference for helicity.

  8. Chaotic (turbulent) dynamo Cattaneo et al (2003) Pm >1 (in numerical simulations), Pm~10-6 <<1 (on the Sun) Physics of turbulent dynamo is based on random stretching of field lines (assumption that the scale of fluid motions that does the stretching (viscous scale) is larger than the scale of the field that is stretched (resistive scale). For Pm<1, lh>ln Schekochihin et al. 2007

  9. * Sign of vorticity tends to be random in intergranular spaces * In some cases, vorticity reverses its sign.

  10. N40W00 Pevtsov & Longcope, 2001, 2007 ASP - Dependence of scatter on latitude In agreement with recent modeling by Abbett, et al

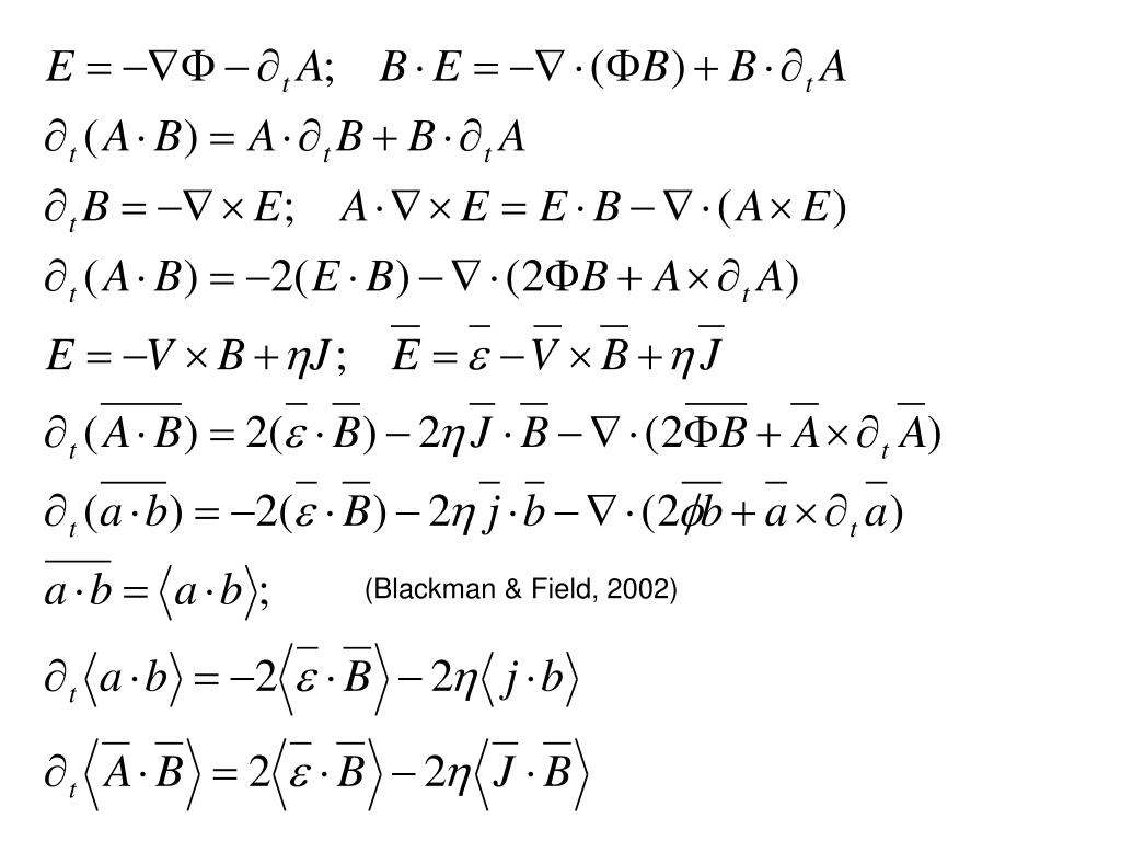
  11. Dynamo action converts helicity from the turbulent to the mean field (Seehafer 1995) Helicity Transport and Generation. (Ji, 1999) Volume rate of change of helicity Flux of helicity transport across volume - Mean E.M.F - mean-field contribution - fluctuations

  12. (Blackman & Field, 2002)

  13. Flow of Bihelical fields through the photosphere? Pevtsov et al. Pevtsov & Canfield (1999) Can helicity patches inside sunspots be an indication of dynamo generating bi-helical fields?

  14. Helicity Transport and Generation. Averaging over closed volume; surface term vanishes (Blackman & Ji 2006): • Dynamo is driven by • e grows • mean magnetic helicity grows • due to helicity conservation, • <a.b> grows with opposite sign • <j.b> also grows • quenches α. Magnetic helicity needs to be constantly removed from the dynamo region for dynamo to continue operate.

  15. Helicity Transport For liner force-free field (a = constant) where Y isarbitraryscalar function Pevtsov, A.A.: 2008, "What Helicity Can Tell us About Solar Magnetic Fields", J. Astrophys. Astron., 29, 49-56 DOI: 10.1007/s12036-008-0006-1 Lepping et al (1990) fitted 18 MCs, a=10-10 m-1, B0=0.0002 G, F=1021 Mx. HMC=(La/2p) F2= 5 x 1042 Mx2 Larson et al (1995), HMC= 4 x 1042 Mx2 Demoulin et al, 2002, AR7978 52 x 1042 Mx2 (26 CMEs, 1 rotation) 5 rotations - ? Total helicity ejected by MCs often exceeds coronal helicity (diff. rotation cannot replenish).

  16. How These All Might Fit Together? • Both helical (mean-field) and non-helical (turbulent) dynamo may operate on the Sun. Helical dynamo is necessary to generate strong magnetic fields of active region. Non-helical dynamo may generate network field outside active regions. • A separate magnetic field/helicity-driven dynamo may operate in the corona. • Mean-field dynamo segregates helicity on two opposite sign components • Helicity needs to be removed from dynamo area to prevent dynamo quenching. • Helicity observed in photosphere is probably created in upper CZN (S-effect explains large scatter and helicity amplitude; solar cycle variations???). • Helicity is removed from AR: -gradually by dissipation – coronal heating -via eruption (CMEs, flares). • Subphotospheric portion of flux tube may serve as “reservoir” of helicity, supplying helicity between flares/CMEs. • Sunspot rotation and subphotospheric pattern of kinetic helicity may be indications of helicity transport via torsional waves.

More Related