1 / 22

11.2 Geometric Representation of Complex Numbers

11.2 Geometric Representation of Complex Numbers. Objective To write complex number in polar form and to find products in polar form. Definition. A complex number z is a number of the form where

huong
Télécharger la présentation

11.2 Geometric Representation of Complex Numbers

An Image/Link below is provided (as is) to download presentation Download Policy: Content on the Website is provided to you AS IS for your information and personal use and may not be sold / licensed / shared on other websites without getting consent from its author. Content is provided to you AS IS for your information and personal use only. Download presentation by click this link. While downloading, if for some reason you are not able to download a presentation, the publisher may have deleted the file from their server. During download, if you can't get a presentation, the file might be deleted by the publisher.

E N D

Presentation Transcript


  1. 11.2 Geometric Representation of Complex Numbers Objective To write complex number in polar form and to find products in polar form.

  2. Definition A complex numberz is a number of the form where x is the real part and y the imaginary part, written as x = Re(z), and y = Im(z). i is called the imaginary unit. If y = 0, then z = x is a real number; if x = 0, then z = yi is a pure imaginary number. The complex conjugate of a complex number, z = x + yi, denoted by , is given by

  3. Definition Two complex numbers are equal if and only if their real parts are equal and their imaginary parts are equal. z1 = z2 if and only if Re(z1) = Re(z2) and Im(z1) = Im(z2)

  4. y P z = x + yi x O Complex Plane A complex number can be plotted on a plane with two perpendicular coordinate axes -- The horizontal x-axis, called the real axis -- The vertical y-axis, called the imaginary axis Represent z = x + yi geometrically as the point P(x,y) in the x-y plane, or as the vector from the origin to P(x,y). Since the ordered pair (x, y) represents the vector , x-y plane is also known as the complex plane. The complex plane

  5. Complex Plane, Polar Form of a Complex Number Im P y z = x + yi r = | z |  x O Re Geometrically, the length of the arrow representing z is called the absolute value ofz, and is defined to be |z| = (x2 + y2)1/2, which is nonnegative. The angle between a radial line and the positive x-axis, denoted as , is the directed angle from the positive x-axis to vector , is called the polar angle ofz, and is also called the argument ofz or the phase ofz. In symbols,  = arg(z).

  6. In mathematics terms,  is referred to as the argument of z and it can bepositive or negative. In engineering terms,  is generally referred to as phase of z and it can bepositive or negative. It is denoted as The magnitude of z is the same both in Mathematics and engineering, although in engineering, there are also different interpretations depending on what physical system one is referring to. Magnitudes are always > 0.

  7. Im P y z = x + yi r = | z |  x O Re Note that : Complex Plane, Polar Form of a Complex Number Now we can see that any complex number can be written in terms of its magnitude and phase as We abbreviate this as “cis” r is also called the absolute value or modulus or magnitude of z and is denoted by |z|.

  8. For z = 0,  is undefined. A complex number z 0 has infinitely many possible arguments, each one differing from the rest by some multiple of 2. In fact, arg(z) is actually The value of that lies in the interval (-, ] is called the principle argument of z ( 0) and is denoted by Arg(z). Or, Complex Plane, Polar Form of a Complex Number

  9. The Forms of Complex Numbers Rectangular Form: Polar Form:

  10. A complex number, z = 1 + i , has a magnitude and argument : Hence its principal argument is : Hence in polar form :

  11. A complex number, z = 1 - i , has a magnitude and argument : Hence its principal argument is : Hence in polar form : In what way does the polar form help in manipulating complex numbers?

  12. Arithmetic Operations of Two Complex Numbers • The representation of z by its real and imaginary parts is useful and easier for addition and subtraction. Easier with normal (rectangular) form than polar form

  13. Arithmetic Operations of Two Complex Numbers • For multiplication and division, representation by the polar form has apparent geometric meaning, and is relatively easier Easier with polar form than normal (rectangular) form magnitudes multiply! phases add!

  14. For the complex number z2 0, Arithmetic Operations of Two Complex Numbers Easier with polar form than normal (rectangular) form phases subtract! magnitudes divide!

  15. y x 0 Geometric Presentation of Product of Two Complex Numbers z1 z2  +ϕ r1r2 z2 r2 z1 r1 ϕ 

  16. y x 0 Geometric Presentation of Quotient of Two Complex Numbers z1  r1 z2 r2 –ϕ 

  17. Example 1:What is the absolute value of the following complex numbers: [Solution] (1) z = –4 + 2i

  18. Example 2:Convert to rectangular form. [Solution]z = 3(cos135o + i sin135o)

  19. Example 3:Convert to polar form. [Solution]z = –2 – 3i Point (–2, – 3) is in the 3rd Quadrant.

  20. Example 3:Multiply [Solution]z = (4cis25o) (6cis35o) = 4·6·cis(25o + 35o) = 24cis60o

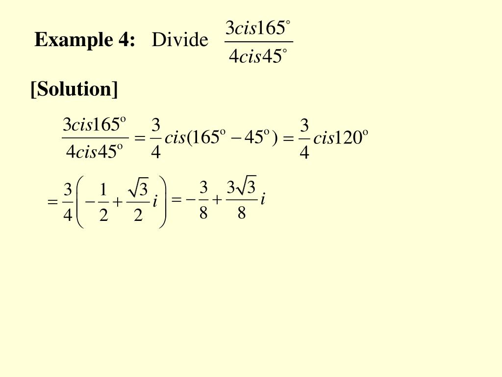
  21. Example 4:Divide [Solution]

  22. Assignment P. 406 #1 – 22, 29

More Related