1 / 5

Understanding Partial Derivatives and Their Notations in Calculus

Learn about first partial derivatives, classes of functions, C1 and C2, higher-order partial derivatives, mixed partial derivatives, and more in multivariable calculus. Explore examples and calculations to deepen your understanding.

jorden-kent
Télécharger la présentation

Understanding Partial Derivatives and Their Notations in Calculus

An Image/Link below is provided (as is) to download presentation Download Policy: Content on the Website is provided to you AS IS for your information and personal use and may not be sold / licensed / shared on other websites without getting consent from its author. Content is provided to you AS IS for your information and personal use only. Download presentation by click this link. While downloading, if for some reason you are not able to download a presentation, the publisher may have deleted the file from their server. During download, if you can't get a presentation, the file might be deleted by the publisher.

E N D

Presentation Transcript


  1. For any function f(x,y), the first partial derivatives are represented by ff — = fxand — = fy xy For example, if f(x,y) = log(x sin y), the first partial derivatives are ff — = fx = and — = fy = xy 1 — x cos y —— = cot y sin y If a function f from Rn to R1 has continuous partial derivatives, we say that f belongs to class C1. We can see that f(x,y) = log(x sin y) belongs to class C1 when its domain is defined so that x sin y > 0. If each of the partial derivatives of f belongs to class C1, then we say that f belongs to class C2.

  2. f 1 f f(x,y) = log(x sin y), — = fx = —and — = fy = cot y xxy We can calculate higher order (and mixed) partial derivatives:  f — ( — ) = — ( fx) = ( fx)x = fxx = x xx 1 – — x2  f — ( — ) = — ( fy) = ( fy)y = fyy = y yy 1 – —— = – csc2y sin2y  f — ( — ) = — ( fx) = ( fx)y = fxy = y xy 0  f — ( — ) = — ( fy) = ( fy)x = fyx = x yx 0

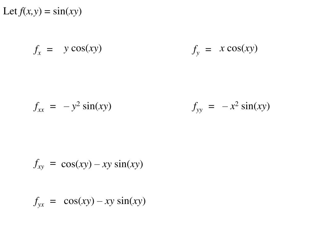
  3. Let f(x,y) = sin(xy) fx = fy = fxx = fyy = fxy = fyx = y cos(xy) x cos(xy) – y2 sin(xy) – x2 sin(xy) cos(xy) – xy sin(xy) cos(xy) – xy sin(xy)

  4. f(x+x , y) – f(x , y) ————————— x (x0 , y0+y) (x0+x , y0+y) fx(x , y)  f(x , y+y) – f(x , y) ————————— y fy(x , y)  Consider fxy(x0 , y0)  (x0+x , y0) (x0 , y0) fx(x0 , y0+y) – fx(x0 , y0) —————————— y f(x0+x , y0) – f(x0 , y0) Substitute ————————— in place of fx(x0 , y0) , and x f(x0+x , y0+y) – f(x0 , y0+y) substitute ————————————— in place of fx(x0 , y0+y) . x

  5. Now consider fy(x0+x , y0) – fy(x0 , y0) fyx(x0 , y0)  —————————— x f(x0 , y0+y) – f(x0 , y0) Substitute ————————— in place of fy(x0 , y0) , and y f(x0+x , y0+y) – f(x0+x, y0) substitute ————————————— in place of fy(x0+x , y0) . y Note that the results are the same in both cases suggesting that fxy = fyx . Look at Theorem 1 on page 183 (and note how this result can be extended to partial derivatives of any order).

More Related