jud
Uploaded by
19 SLIDES
627 VUES
230LIKES

Fourier Transforms

DESCRIPTION

Fourier Transforms. Discrete Fourier Transform (DFT) Algorithms Fast Fourier Transform (FFT) Algorithms. Discrete Fourier Transform (DFT). Fourier Transform assumes a continuous signal of infinite duration and bandwidth.

1 / 19

Télécharger la présentation

Fourier Transforms

An Image/Link below is provided (as is) to download presentation Download Policy: Content on the Website is provided to you AS IS for your information and personal use and may not be sold / licensed / shared on other websites without getting consent from its author. Content is provided to you AS IS for your information and personal use only. Download presentation by click this link. While downloading, if for some reason you are not able to download a presentation, the publisher may have deleted the file from their server. During download, if you can't get a presentation, the file might be deleted by the publisher.

E N D

Presentation Transcript


  1. Fourier Transforms • Discrete Fourier Transform (DFT) Algorithms • Fast Fourier Transform (FFT) Algorithms Digital Kommunikationselektronik TNE027 Lecture 5

  2. Discrete Fourier Transform (DFT) • Fourier Transform assumes a continuous signal of infinite duration and bandwidth. • For practical representation, we must sample in time and frequency, and amplitude must be quantized. • Discrete Fourier Transform assumes N samples in time and frequency. DFT: X[k] = Σx[n] e–j2kn/N = Σx[n] WNkn IDFT:x[n] =(1/N)Σ X[k] e j2kn/N = (1/N)Σ X[k] WN –kn where WNkn = e– j2kn/N N-1 N-1 n=0 n=0 N-1 N-1 k=0 k=0 Digital Kommunikationselektronik TNE027 Lecture 5

  3. Effect of Sampling in Time and Frequency • By sampling in time, we get a periodic spectrum with the sampling frequency fs. The approximation of a Fourier transform by a DFT is reasonable only if the frequency components of x(t) are concentrated on a smaller range than the Nyquist frequency fs/2. Digital Kommunikationselektronik TNE027 Lecture 5

  4. By sampling in the frequency domain, the time function becomes periodic, i.e., the DFT assumes the time series to be periodic. If an N-sample DFT is applied to a signal that does not complete an integer number of cycles with an N-sample window, a phenomenon called leakage occurs. Digital Kommunikationselektronik TNE027 Lecture 5

  5. If possible, we should choose the sampling frequency and the analysis window in such a way that it covers an integer number of periods of x(t), if x(t) is periodic. • We can also decrease leakage by using a window function that tapers smoothly to zero on both sides. See Example 6.1: Windowing. Digital Kommunikationselektronik TNE027 Lecture 5

  6. Vector/matrix notation and an alternative inversion algorithm X = Wx  x = (1/N) W*X x = (1/N) W*X= (1/N) (WX*)* When computing IDFT, we can compute the DFT of X*, i.e., WX*. The result of IDFT is the conjugate of the result of WX*scaled by (1/N). Digital Kommunikationselektronik TNE027 Lecture 5

  7. The Fast Fourier Transform (FFT) Algorithms • FFT uses different multidimensional index maps of the input and output sequences. • Two-dimensional index transform: n = An1 + Bn2 mod N where 0  n1 N1–1, 0  n2 N2–1 and N = N1 N2 See equation (6.18) on page 259. Digital Kommunikationselektronik TNE027 Lecture 5

  8. The Cooley-Tukey FFT Algorithm • The Cooley-Tukey FFT is the most universal of all FFT algorithms, because any factorization of N is possible. Digital Kommunikationselektronik TNE027 Lecture 5

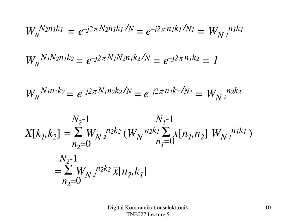
  9. Index transform (index mapping) n = N2n1 + n2 k = k1 + N1k2 where 0  n1 N1–1, 0  n2 N2–1, 0  k1 N1–1, 0  k2 N2–1 and N = N1 N2 X[k] = Σx[n] e–j2kn/N = Σx[n] WNkn WNkn = WN(k1 + N1k2)(N2n1 + n2 ) = WNN2n1k1 + N1N2n1k2 +n2 k1 + N1n2k2 N-1 N-1 n=0 n=0 Digital Kommunikationselektronik TNE027 Lecture 5

  10. WNN2n1k1= e–j2 N2n1k1 /N = e–j2 n1k1 /N1=WN 1n1k1 WN N1N2n1k2 = e–j2 N1N2n1k2 /N= e–j2 n1k2 = 1 WN N1n2k2 = e–j2 N1n2k2 /N = e–j2 n2k2 /N2=WN 2n2k2 X[k1,k2] = ΣWN 2n2k2(WN n2k1Σx[n1,n2] WN 1n1k1) = ΣWN 2n2k2x[n2,k1] N2-1 N1-1 n1=0 n2=0 N2-1 n2=0 Digital Kommunikationselektronik TNE027 Lecture 5

  11. Algorithm 6.8: Cooley-Tukey Algorithm An N = N1 N2 -point DFT can be done using the following steps: • Compute an index transform of the input sequence according to: n = N2n1 + n2 • Compute the N2 DFTs of length N1. • Apply the twiddle factors WN n2k1to the output of the first transform stage. • Compute the N1 DFTs of length N2. • Compute an index transform of the output sequence according to: k = k1 + N1k2 See Example 6.9: Cooley-Tukey FFT for N = 12. Digital Kommunikationselektronik TNE027 Lecture 5

  12. Radix-r Cooley-Tukey Algorithm • Radix-r algorithms, N = rs , S is the number of stages. • The most popular algorithms are of basis r = 2 or r =4, because the necessary basic DFTs can be implemented without any multiplications. Digital Kommunikationselektronik TNE027 Lecture 5

  13. 1 2-point DFT, Butterfly X(0) = x(0)e0 + x(1)e0 = x(0) + x(1) X(1) = x(0)e0 + x(1)e–j2 /2 = x(0) x(1) x(0) X(0) x(1) X(1) Digital Kommunikationselektronik TNE027 Lecture 5

  14. 1 1 1 1 4-point FFT n = 2n1 + n2 k = k1 + 2k2 x(0) X(0) x(2) X(2) W0 x(1) X(1) W2 x(3) X(3) Digital Kommunikationselektronik TNE027 Lecture 5

  15. 1 1 Rearrange the positions of x(1) and x(2) x(0) X(0) x(1) X(2) 1 W0 x(2) X(1) W2 x(3) X(3) 1 Group Digital Kommunikationselektronik TNE027 Lecture 5

  16. Decimation-in-frequency (DIF) FFT algorithm See Fig. 6.12 and Table 6.3. • The Decimation-in-frequencyalgorithm starts in the frequency domain to split the original DFT into shorter DFTs. • The input values typically occur in natural order, while the index of the frequency values is in bit-reversed order. • The decimation-in-time (DIT) FFT algorithm can be found in the book “Fundamentals of Signals and Systems using the WEB and MATLAB”, pages 339-342. Digital Kommunikationselektronik TNE027 Lecture 5

  17. Number of complex multiplications and add/subtract operations • For r = 2 and S stages (S = log2N), the number of complex twiddle factor multiplications is (S – 1)N/2 = ((log2N)– 1) N/2. The number of complex add/subtract operations is SN = (log2N) N. • Compare with the direct DFT computation: • Complex multiplications: NN • Complex add/subtract operations: N(N – 1) Digital Kommunikationselektronik TNE027 Lecture 5

  18. Index transform for radix-2 Cooley-Tukey FFT using bit reversing • Reversing of the bit sequence of the index. Example: For the 8-point FFT in Fig. 6.12, the output at the second position (index 0012) of the output is X[4] (index: 1002) after bit reversing. • Index transform for radix-4 Cooley-Tukey FFT using digit reversing • Build “digits” of two bitsand then reverse the order of these digits. See Fig. 6.13. Digital Kommunikationselektronik TNE027 Lecture 5

  19. Radix-2 Cooley-Tukey Algorithm Implementation • Butterfly processor • Complex multiplication • Complex multiplication with the twiddle factor is often implemented with 4 real multiplications and two add/subtract operations. • A more efficient complex multiplier is implemented with 3 real multiplications and 3 add/subtract operations. See Algorithm 6.10. Digital Kommunikationselektronik TNE027 Lecture 5

More Related