1 / 178

Chapter 3 Linear Ordinary Differential Equations in The Time Domain

Chapter 3 Linear Ordinary Differential Equations in The Time Domain. 3.1 Introduction The ordinary differential equation is very important in both science and engineering. In general, the equation. is a linear ordinary differential equation of order N.

Télécharger la présentation

Chapter 3 Linear Ordinary Differential Equations in The Time Domain

An Image/Link below is provided (as is) to download presentation Download Policy: Content on the Website is provided to you AS IS for your information and personal use and may not be sold / licensed / shared on other websites without getting consent from its author. Content is provided to you AS IS for your information and personal use only. Download presentation by click this link. While downloading, if for some reason you are not able to download a presentation, the publisher may have deleted the file from their server. During download, if you can't get a presentation, the file might be deleted by the publisher.

E N D

Presentation Transcript


  1. Chapter 3Linear Ordinary Differential Equations in The Time Domain

  2. 3.1 Introduction The ordinary differential equation is very important in both science and engineering. In general, the equation is a linear ordinary differential equation of order N.

  3. Each coefficient ak(t) depends on the variable t. No general method can be used to solve this ODE Equation

  4. We shall show how to find the solution of linear ordinary equation with manual computation and symbolic computation with MATLAB symbolic toolbox.

  5. 3.2 First Order Ordinary Differential Equations

  6. Theorem 1: The solution for the first order ordinary differential equation is where c is a constant.

  7. <Proof:> according to Equation 3.2 we have

  8. Thus, The solution is

  9. <Matlab Solution:> g = dsolve('Dg + a(t)*g = 0', 't') g= exp(-int( a(t) ,dt))* C1

  10. Theorem 2: The solution for the linear differential equation is

  11. Multiplying Equation 3.7 with we obtain The equation above can be rewritten as

  12. Thus, The solution is

  13. The solution g(t) is called the general solution of Equation 3.7. It is a solution that involves an arbitrary constant c.The solution can be written as where is called a particular solution and

  14. is called a complementary solution.

  15. The particular solution is also called the steady state solution since

  16. As The complementary solution is also called the transient solution.

  17. <MATLAB Solution:> g= dsolve(‘Dy + a(t)*y =f(t)’, ‘t’) g= exp(-int(a(t),t))*int(exp(int(a(t),t))*f(t),t) +exp(-int(a(t),t))*C1

  18. The problem is called an initial-value problem and g(0)= g0 is called the initial condition.

  19. Example 1: Solve subject to the initial condition g(0)=1.

  20. <Manual Solution:> The particular solution is

  21. The complementary solution is The solution is

  22. With the initial condition we have Thus, The solution is

  23. <Matlab Solution:> g = dsolve('Dg + 4*t*g = t', 'g(0) = 1','t') 1/4 + 3/4 exp(- 2*t^2)

  24. 3.3 Linear Differential Equations with Constant Coefficients If ak(t), can be written as

  25. To solve this equation we need to specify the following N initial values: The zero state response g(t) = h(t) when the input f(t) = d(t) is the impulse response of the system..

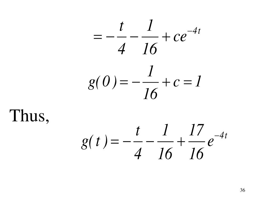
  26. For conveniences, is written as where the operator D denote a differentiator.

  27. It can be also written as if we are not confused that g(t) and f(t) are functions of the variable t.

  28. 3.3.1 First Order Differential Equations The following theorem solves the linear differential equation of order 1 with a constant coefficient.

  29. Theorem 3: The solution is

  30. <Matlab Solution :> g = dsolve('Dg + a*g = f(t)', 't') g=exp(- a*t)*int( exp(a*t)*f(t) ,t) + exp(- a*t)*C1

  31. Note that the zero state response requires g(0) = 0. Thus, c = 0.

  32. The impulse response of the system is The output can be written as

  33. Example 2: Solve subject to the initial condition g(0)=1.

  34. <Manual Solution:>

  35. Thus,

  36. <Matlab Solution:> g = dsolve('Dg + 4*g = t', 'g(0) = 1','t') g = 1/4*t - 1/16 +17/16* exp(-4*t)

  37. Example 3: Solve < Matlab Solution:> g = dsolve('Dg + a*g = exp(j*w*t)', 't') g = 1/(a+w*j)*exp(j*w* t)+1/(a+w*j)*exp(-a*t) *C1*a+ 1/(a+w*j)*exp(-a*t)*C1*w*j

  38. Example 4: Solve < Matlab Solution:> g = dsolve('Dg + a*g = sin(w*t)', 't') g = -w/(a^2+w^2)*cos(w*t)+a/(a^2+w^2)*sin(w*t) +1/(a^2+w^2)exp(-a*t)*C1*a^2+1/(a^2+w^2) *exp(-a*t)*C1*w^2

  39. Theorem 4: The solution is

  40. <Matlab Solution:> g = dsolve('Dg + a*g = 0', 't') g = exp(- a*t)*C1

  41. Example 5: Figure 3.1(a) shows a circuit where R and L in series. Figure 3.1(a) The R-L series circuit.

  42. The voltage across the inductor is and the voltage across the resistor is Ri(t). Thus, The current in the RL series circuit is

  43. <Matlab Solution:> i = dsolve('L* Dx + R*x = V', 'x(0) = 0','t') i = V/R-exp(-1/L*R*t)*V/R The following program plot the current i(t) in the RL series circuit, here R=10, L= 0.5, and V=12.

  44. <Matlab Program:> V = 12; R = 10; L = 0.5; t = 0:0.01:1; i = V/R *(1- exp(-R*t/L) ); plot(t,i); set(gca,'Xlim',[0 1]); xlabel('t'); ylabel('i(t)');

  45. Figure 3.1(b) The current in the R-L series circuit.

  46. Example 6: Figure 3.2(a) shows a circuit where R=10 and C=0.5 in series with a constant voltage V=12.

  47. Figure 3.2(a) The R-C series circuit

  48. When the switch is closed at t =0 i(0)=V/R and the charge on the capacitor is q(0) =0. The voltage across the capacitor is and the voltage across the resistor is Ri(t). Thus,

  49. It can be written as The current is

More Related