1 / 55

Finance 30210: Managerial Economics

This overview delves into the principles of optimization within managerial economics, focusing on maximizing or minimizing functions within specified domains. It covers concepts like the range and domain of functions, the significance of continuity, and the application of the Weierstrass theorem. The discussion also includes the formulation of first-order necessary conditions and the use of Lagrangian methods for constrained optimization problems. Practical examples are provided, illustrating how to determine optimal solutions in diverse business scenarios, such as minimizing jet operating costs or maximizing product sales.

lou
Télécharger la présentation

Finance 30210: Managerial Economics

An Image/Link below is provided (as is) to download presentation Download Policy: Content on the Website is provided to you AS IS for your information and personal use and may not be sold / licensed / shared on other websites without getting consent from its author. Content is provided to you AS IS for your information and personal use only. Download presentation by click this link. While downloading, if for some reason you are not able to download a presentation, the publisher may have deleted the file from their server. During download, if you can't get a presentation, the file might be deleted by the publisher.

E N D

Presentation Transcript


  1. Finance 30210: Managerial Economics Optimization

  2. Optimization deals with functions. A function is simply a mapping from one space to another. (that is, a set of instructions describing how to get from one location to another) Is the range is a function Is the domain

  3. For example For Range Domain Function

  4. 20 For Range Y =14 5 Domain 0 5 X =3

  5. 20 Here, the optimum occurs at x = 5 (y = 20) Range 5 Domain 0 5 Optimization involves finding the maximum value for y over an allowable domain.

  6. What is the solution to this optimization problem? 5 10 There is no optimum because f(x) is discontinuous at x = 5

  7. What is the solution to this optimization problem? 12 There is no optimum because the domain is open (that is, the maximum occurs at x = 6, but x = 6 is NOT in the domain!) 0 6

  8. What is the solution to this optimization problem? 12 There is no optimum because the domain is unbounded (x is allowed to become arbitrarily large) 0

  9. The Weierstrass theorem provides sufficient conditions for an optimum to exist, the conditions are as follows: is continuous over the domain of The domain for is closed and bounded

  10. Finding maxima/minima involves taking derivatives…. Formally, the derivative of is defined as follows: All you need to remember is the derivative represents a slope (a rate of change) Actually, to be more accurate, the derivative represents atrajectory

  11. Graphically… Now, let the change in x get arbitrarily small

  12. First Order Necessary Conditions If is a solution to the optimization problem or then

  13. Useful derivatives Logarithms Linear Functions Example: Example: Exponents Example:

  14. An Example Suppose that your company owns a corporate jet. Your annual expenses are as follows: • You pay your flight crew (pilot, co-pilot, and navigator a combined annual salary of $500,000. • Annual insurance costs on the jet are $250,000 • Fuel/Supplies cost $1,500 per flight hour • Per hour maintenance costs on the jet are proportional to the number of hours flown per year. Maintenance costs (per flight hour) = 1.5(Annual Flight Hours) If you would like to minimize the hourly cost of your jet, how many hours should you use it per year?

  15. Let x = Number of Flight Hours First Order Necessary Condition

  16. An Example Hourly Cost ($) Annual Flight Hours

  17. How can we be sure we are at a maximum/minimum? For a maximization… For a minimization… Slope is decreasing Slope is increasing

  18. Let x = Number of Flight Hours First Order Necessary Conditions Second Order Necessary Conditions For X>0

  19. Suppose you know that demand for your product depends on the price that you set and the level of advertising expenditures. Choose the level of advertising AND price to maximize sales

  20. When you have functions of multiple variables, a partial derivativeis the derivative with respect to one variable, holding everything else constant First Order Necessary Conditions

  21. With our two first order conditions, we have two variables and two unknowns

  22. How can we be sure we are at a maximum? its generally sufficient to see if all the second derivatives are negative…

  23. Practice Questions 1) Suppose that profits are a function of quantity produced and can be written as Find the quantity that maximizes profits 2) Suppose that costs are a function of two inputs and can be written as Find the quantities of the two inputs to minimize costs

  24. Constrained optimizations attempt to maximize/minimize a function subject to a series of restrictions on the allowable domain To solve these types of problems, we set up thelagrangian Function to be maximized Constraint(s) Multiplier

  25. To solve these types of problems, we set up thelagrangian We know that at the maximum…

  26. Once you have set up the lagrangian, take the derivatives and set them equal to zero First Order Necessary Conditions Now, we have the “Multiplier” conditions…

  27. Example: Suppose you sell two products ( X and Y ). Your profits as a function of sales of X and Y are as follows: Your production capacity is equal to 100 total units. Choose X and Y to maximize profits subject to your capacity constraints.

  28. The key is to get the problem in the right format Multiplier The first step is to create a Lagrangian Constraint Objective Function

  29. Now, take the derivative with respect to x and y First Order Necessary Conditions “Multiplier” conditions

  30. First, lets consider the possibility that lambda equals zero Nope! This can’t work!

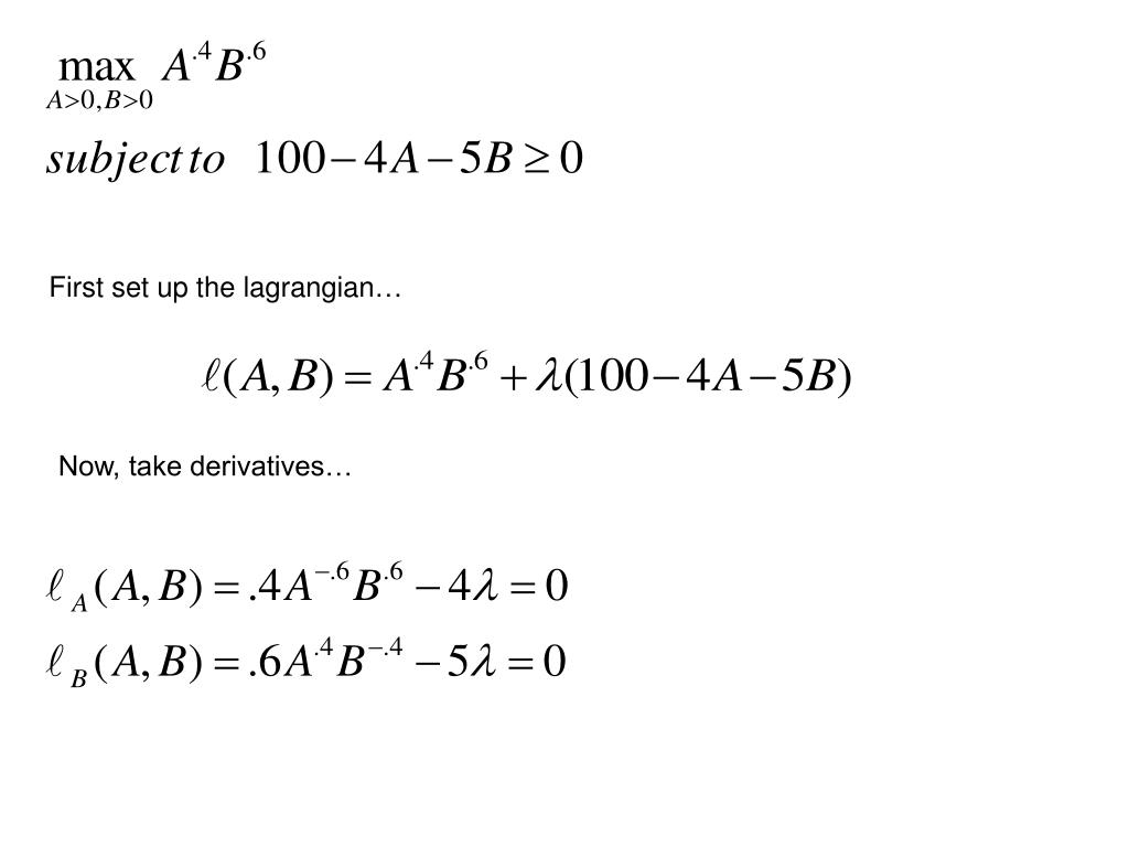
  31. The other possibility is that lambda is positive

  32. Lambda indicates the marginal value of relaxing the constraint. In this case, suppose that our capacity increased to 101 units of total production. Assuming we respond optimally, our profits increase by $5

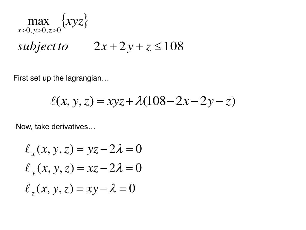
  33. Example: Postal regulations require that a package whose length plus girth exceeds 108 inches must be mailed at an oversize rate. What size package will maximize the volume while staying within the 108 inch limit? Girth = 2x +2y Volume = x*y*z Z X Y

  34. First set up the lagrangian… Now, take derivatives…

  35. Lets assume lambda is positive

  36. Suppose that you are able to produce output using capital (k) and labor (L) according to the following process: Labor costs $10 per hour and capital costs $40 per unit. You want to minimize the cost of producing 100 units of output.

  37. Minimizations need a minor adjustment… A negative sign instead of a positive sign!! So, we set up the lagrangian again…now with a negative sign Take derivatives…

  38. Lets again assume lambda is positive

  39. Suppose that you are choosing purchases of apples and bananas. Your total satisfaction as a function of your consumption of apples and bananas can be written as Apples cost $4 each and bananas cost $5 each. You want to maximize your satisfaction given that you have $100 to spend

  40. First set up the lagrangian… Now, take derivatives…

  41. Lets again assume lambda is positive

  42. Suppose that you are able to produce output using capital (k) and labor (l) according to the following process: The prices of capital and labor are and respectively. Union agreements obligate you to use at least one unit of labor. Assuming you need to produce units of output, how would you choose capital and labor to minimize costs?

  43. Non-Binding Constraints Just as in the previous problem, we set up the lagrangian. This time we have two constraints. Will hold with equality Doesn’t necessarily hold with equality

  44. First Order Necessary Conditions

  45. Case #1: Constraint is non-binding First Order Necessary Conditions

  46. Case #2: Constraint is binding First Order Necessary Conditions

  47. Constraint is Binding Constraint is Non-Binding

  48. Try this one… You have the choice between buying apples and bananas. You utility (enjoyment) from eating apples and bananas can be written as: The prices of Apples and Bananas are given by and Maximize your utility assuming that you have $100 available to spend

More Related