1 / 44

Exploring Population Dynamics and Fisheries Ecology

Learn about population dynamics, recruitment, and vital rates in fish populations. Understand the importance of studying ecosystem processes. Dive into mark-recapture methods for fisheries management.

mala
Télécharger la présentation

Exploring Population Dynamics and Fisheries Ecology

An Image/Link below is provided (as is) to download presentation Download Policy: Content on the Website is provided to you AS IS for your information and personal use and may not be sold / licensed / shared on other websites without getting consent from its author. Content is provided to you AS IS for your information and personal use only. Download presentation by click this link. While downloading, if for some reason you are not able to download a presentation, the publisher may have deleted the file from their server. During download, if you can't get a presentation, the file might be deleted by the publisher.

E N D

Presentation Transcript


  1. Today’s outline • Reading quiz • Reading discussion • Field trip briefing/electrofishing safety • Population dynamics lecture • Break • Mark-recapture lab

  2. Reading Quiz

  3. What limnological relationship was the motivation for this study? (Hint: NOT trophic cascades) (1pt) • If the population of piscivores increases in a lake, what happens to the density of phytoplankton? (2pts) • There is a time lag in trophic cascades: why? (2pt)

  4. Reading Discussion

  5. Lake Productivity Nutrients (mg P/L)

  6. Invertebrate Planktivore Vertebrate Planktivore Large zooplankton Nutrients (P and N)

  7. How do you interpret this figure? What piece of information does it convey?

  8. Population dynamics Zoo 511 Ecology of Fishes

  9. Today’s goals • Understand why and how population dynamics are important in fisheries ecology • Gain experience in a variety of mark-recapture methods

  10. “A population is a group of fish of the same species that are alive in a defined area at a given time” (Wootton 1990)Population dynamics: changes in the number of individuals in a population or the vital rates of a population over time What are population dynamics?

  11. Major role of ecology: understand change

  12. Why study population dynamics? • Often most relevant response to ecosystem manipulation/perturbation • Endangered species (population viability analysis, PVA) • Fisheries management (sustainable yield) • Understand ecosystem dynamics and ecological processes

  13. Why study population dynamics? Atlantic salmon PVA From Legault 2004 • Often most relevant response to ecosystem manipulation/perturbation • Endangered species (population viability analysis, PVA) • Fisheries management (sustainable yield) • Understand ecosystem dynamics and ecological processes PVA: Modeling the probability that a population will go extinct or drop below the minimum viable population size within a given number of years.

  14. Why study population dynamics? • Often most relevant response to ecosystem manipulation/perturbation • Endangered species (population viability analysis, PVA) • Fisheries management (sustainable yield) • Understand ecosystem dynamics and ecological processes from Hilborn and Walters 1992

  15. Why study population dynamics? • Often most relevant response to ecosystem manipulation/perturbation • Endangered species (population viability analysis, PVA) • Fisheries management (sustainable yield) • Understand ecosystem dynamics and ecological processes When do ecological shifts occur? Are they stable?

  16. How do populations change? • Nt+1 = Nt + B – D + I – E • B = births • D = deaths • I = immigration • E = emigration Immigration Stocking Population Births Deaths Angling Emigration

  17. Density Dependence Rate of Change (per capita) Population Density

  18. Rate of population increase Density independent per capita annual increase Density dependent N

  19. Small group exercise Population starts at low density. What happens to density over time under density-dependent rate of increase? What happens if rate of increase is density-independent? Density-dependent Density-independent Population density Population density ? ? Time Time

  20. Small group exercise Population starts at low density. What happens to density over time under density-dependent rate of increase? What happens if rate of increase is density-independent? Density-dependent Density-independent Population density Population density Logistic Exponential Time Time

  21. Logistic population growth dN/dt=r0N(1-N/K) r0 = maximum rate of increase K= carrying capacity r0 per capita annual increase N K

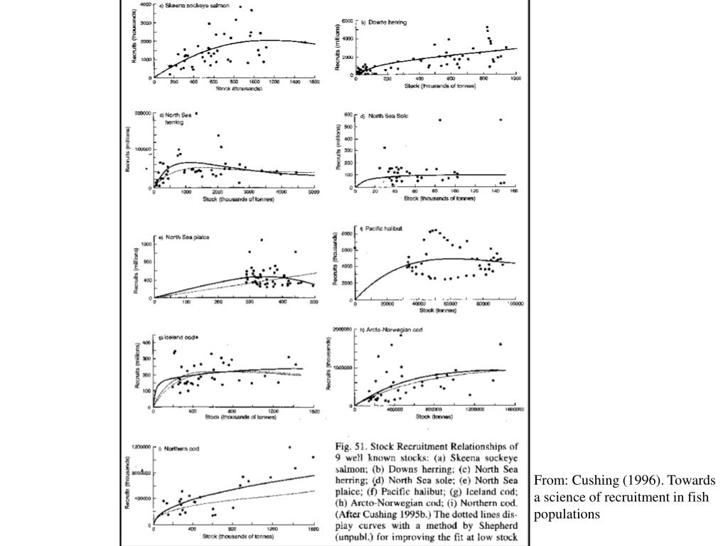
  22. R-selected vs. K-selected

  23. How do populations change? • Nt+1 = Nt + B – D + I – E • B = births • D = deaths • I = immigration • E = emigration Immigration Stocking Population Births Deaths Angling Emigration

  24. Survival • Predation • Disease • Prey availability • Competition for food • Harvest “Natural Mortality” S

  25. Survival • Eggs and larvae suffer the largest losses Recruit! HATCH 2 cohorts each produce 10,000,000 eggs 90.5% survivorship/day yields 24,787 survivors at 60 days 95.1% survivorship/day yields 497,871 survivors at 60 days

  26. Recruitment • Can mean many things! • Number of young-of-year (YOY) fish entering population in a year • Number of fish achieving age/size at which they are vulnerable to fishing gear • Somewhat arbitrary, varies among populations • Major goal of fish population dynamics: understanding the relationship between stock size and recruitment

  27. What determines recruitment? -Stock size (number and size of females)

  28. Density-independent Ricker What determines recruitment? Recruitment Beverton-Holt From: Wootton (1998). Ecology of teleost fishes. spawning stock biomass (SSB)

  29. The problem? Stochasticity!

  30. From: Cushing (1996). Towards a science of recruitment in fish populations

  31. Highly variable recruitment results in naturally very variable catches From: Jennings, Kaiser and Reynolds (2001). Marine Fisheries Ecology

  32. Population Abundance • On rare occasions, abundance can be measured directly • Small enclosed systems • Migration

  33. Catch per unit effort (CPUE) • Very coarse and very common index of abundance 1 Catch= 4 fish CPUE=4/48=0.083 Effort= 4 nets for 12 hours each= 48 net hours 2 Catch=8 fish CPUE=8/48=0.167 Effort= 4 nets for 12 hours each= 48 net hours We conclude population 2 is 2X larger than population 1

  34. Population abundance • Density estimates (#/area) • Eggs estimated with quadrats • Pelagic larvae sampled with modified plankton nets • Juvenile and adult fish with nets, traps, hook and line, or electrofishing • Density is then used as index of abundance, or multiplied by habitat area to get abundance estimate

  35. Depletion methods Closed population Vulnerability constant for each pass Collection efficiency constant Often not simple linear regression * * N * * Time (or pass)

  36. Mark recapture M=5 C=4 R=2 N=population size=????

  37. Modified Petersen method • Assumptions: • Closed population • Equal catchability in first sample • Marking does NOT influence catchability • Marked and unmarked fish mix randomly • Mortality rates are equal • Marks are not lost

  38. How to avoid violation of assumptions? • Two sampling gears • Distribute marked individuals widely; allow time for mixing • Can be separated into different groups • Length • Sex • Geographic regions

  39. How many to mark/recapture? • Requires some knowledge of population size! • Trade-off between precision and sample size • Population of 10,000: Mark 400 and examine 600 for +/- 50% OR mark 1,000 and examine 1,500 for +/- 10% • Trade-off between marked and recapture sample size • Population of 10,000: Mark 1,000 and examine1,500 OR Mark 4,500 and examine 500

  40. Schnabel method • Closed population • Equal catchabilty in first sample • Marking does NOT influence catchability • Multiple recaptures • Easier to pick up on violation of assumptions

  41. Jolly Seber method • Open populations • Allows estimation of births and deaths • Three or more sampling periods needed • Equal catchability of all individuals in all samples • Equal probability of survival • Marks are not lost • Sampling time is negligible compared to intervals between samples

  42. Importance of uncertainty • Confidence intervals • Long-term frequency, not probablity! • 95% confidence intervals  if you repeated procedure an infinite number of times, 95% of the time the interval you create would contain the “true” value • Precision vs. accuracy x x x x x x x x x x x x x x x x x x Accurate, not precise Not accurate, precise Accurate, precise

  43. Lets count some beans!

More Related