1 / 27

Soft physics at the LHC

Soft physics at the LHC. A brief survey of diffraction New model for high energy proton-proton interactions, based on a full set of multi-Pomeron interactions , as well as including multichannel eikonal scattering The model description of the total, elastic and (low and

nassor
Télécharger la présentation

Soft physics at the LHC

An Image/Link below is provided (as is) to download presentation Download Policy: Content on the Website is provided to you AS IS for your information and personal use and may not be sold / licensed / shared on other websites without getting consent from its author. Content is provided to you AS IS for your information and personal use only. Download presentation by click this link. While downloading, if for some reason you are not able to download a presentation, the publisher may have deleted the file from their server. During download, if you can't get a presentation, the file might be deleted by the publisher.

E N D

Presentation Transcript


  1. Soft physics at the LHC A brief survey of diffraction New model for high energy proton-proton interactions, based on a full set of multi-Pomeron interactions, as well as including multichannel eikonal scattering The model description of the total, elastic and (low and high mass) diffractive cross sections; and the predictions for the LHC Alan Martin (Durham) October 2007 Ryskin, Martin, Khoze arXiv: 0710.2494

  2. Soft interactions Hard diffraction

  3. elastic unitarity  e-W is the probability of no inelastic interaction.

  4. Inelastic diffraction

  5. includes low M dissociation High M dissociation

  6. Evolution of elastic bare Pomeron amplitude Multi-Pomeron contribn

  7. gn1 Y y g1m 0 amplitude containing full sum of multi-P diagrams gnm y’=Y-y

  8. Single dissociation sSD

  9. amp. of c-i intn elastic s(c-k) prob. of c in dy’ no additional i-k scatt

  10. Double dissociation sDD

  11. low M dissoc. given eikonal --- y0=2.3 for y evoln (M>2.5GeV) use 3-channel eikonal (results similar for 2-ch.) fi-Pomeron vertex: bi • each compt. bi same trans. size / differs in parton density • compts. differ in trans. size / max. density same CERN-ISR expts: 2 – 3 mb l fixed by CDF dsSD/dxLdt data s0 = ( bi ) 2 Model fit to existing soft pp data

  12. CERN-ISR measurements of single dissocn at low mass elastic scattering inelastic scatt

  13. SD energy dep. SD RP: 420 RP: 220 SD t dep.

  14. f1: “large” f3: “small”

  15. full multi-Pomeron contribn full 3-P contribn only first 3-P diagram

  16. 0.02 0.04 in EPJC(2000)

  17. SD growth due to Pomeron interactions compensated by stronger absorption, i.e. decrease of S2 0.01 0.1 1-xL RP: 220 RP: 420

  18. from the model actually directly related to elastic data

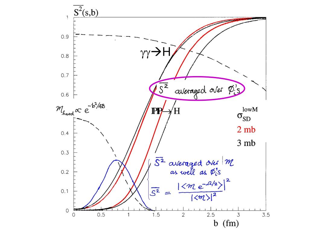
  19. assuming point-like production – we fold in hard matrix element in a moment

  20. ggH

  21. Conclusions gnm = First, self-consistent multi-Pomeron, multi-ch eikonal of soft pp interactions All multi-P interactions collected in factors which describe absorption of intermediate partons during the evolution of the parton cascade Even with minimum no. of parameters, get satisfactory description of all available soft data --- model (B) favoured Inescapable consequence of absorption by low M in eikonal rescatt. and high M in multi-P intn: s(total) ~ 90 mb at LHC In principle, can predict all diffractive processes at LHC but important to measure low M SD etc. to constrain model

  22. GLM model

  23. GLM model

More Related