sari
Uploaded by
18 SLIDES
401 VUES
180LIKES

Dividing Monomials

DESCRIPTION

Dividing Monomials. Let's look at the rules. For all integers “m” and “n” and any nonzero number “a” ……. When the problems look like this, and the bases are the same, you will subtract the exponents. ANY number raised to the zero power is equal to ONE.

1 / 18

Télécharger la présentation

Dividing Monomials

An Image/Link below is provided (as is) to download presentation Download Policy: Content on the Website is provided to you AS IS for your information and personal use and may not be sold / licensed / shared on other websites without getting consent from its author. Content is provided to you AS IS for your information and personal use only. Download presentation by click this link. While downloading, if for some reason you are not able to download a presentation, the publisher may have deleted the file from their server. During download, if you can't get a presentation, the file might be deleted by the publisher.

E N D

Presentation Transcript


  1. Dividing Monomials

  2. Let's look at the rules. For all integers “m” and “n” and any nonzero number “a” …… When the problems look like this, and the bases are the same, you will subtract the exponents. ANY number raised to the zero power is equal to ONE. If the exponent is negative, it is written on the wrong side of the fraction bar, move it to the other side.

  3. 1. Subtract the exponents 2. When dividing the coefficients or subtracting the exponents, place the answer on the side of the fraction bar that has the larger value for that term. Divide the coefficients

  4. If you’re having trouble with the rules, try it like this……… • First, factor numerator and denominator into prime factors. • Second, cross out like terms from top to bottom. (reduce) • Third, list remaining terms and multiply them back together.

  5. U’s cancel Each other 3. Subtract the exponents 4. When dividing the coefficients or subtracting the exponents, place the answer on the side of the fraction bar that has the larger value for that term. Divide the coefficients

  6. 5. Remember, if the exponent is negative, the term is written on the wrong side of the fraction bar, move it to the other side. 6. Now Subtract The Exponents

  7. Now divide the coefficients but now ADD the exponents Fix your negative exponent 7. 8. ANY number raised to the zero power is equal to ONE.

  8. Now divide the coefficients and combine the exponents Fix your negative exponents 9.

  9. Exponents OUTSIDE And INSIDE …… Distribute!! 10. 11.

  10. First – Simplify the numerator!! 12. Then the denominator Now Subtract The Exponents

  11. First – Simplify the numerator!! 13. Then the denominator Now Subtract The Exponents

  12. Exponents OUTSIDE And INSIDE …… Distribute!! 14. Fix your Negative exponents Now Subtract The Exponents

  13. Steps • Multiply exponents • Fix negative exponents • Any neg. number raised to even power becomes positive… • Subtract exponents (unless they are beside one another—then add)

  14. Exponents OUTSIDE And INSIDE …… Distribute!! 15. Fix your Negative exponents Now Subtract The Exponents

  15. 16.

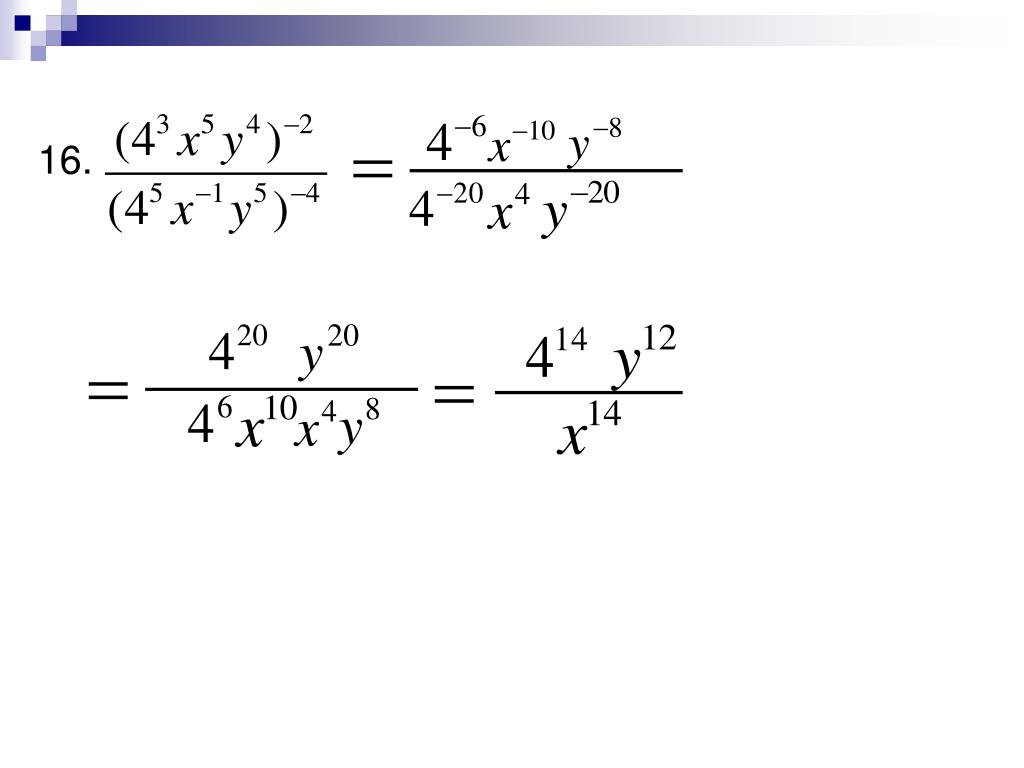
  16. 17.

  17. Multiply exponents

  18. Exponents OUTSIDE And INSIDE …… Distribute!! Any neg. number raised to an even power is positive Use ( ) when Typing the -4 Into calculator!

More Related
SlideServe
Audio
Live Player
Audio Wave
Play slide audio to activate visualizer