1 / 42

Mastering Factoring: Techniques and Practice for Quadratics and Beyond

This guide covers the essential processes of factoring equations and expressions, focusing on techniques such as the FOIL method, GCF extraction, and the Welsh Method. Learn to rewrite quadratics like ax² + bx + c into factors, identify roots, and find common factors. Detailed examples and practice problems ensure understanding and application. By the end, you'll master factoring techniques that are essential for algebraic success, with a focus on checking results and understanding when to use each method.

tanika
Télécharger la présentation

Mastering Factoring: Techniques and Practice for Quadratics and Beyond

An Image/Link below is provided (as is) to download presentation Download Policy: Content on the Website is provided to you AS IS for your information and personal use and may not be sold / licensed / shared on other websites without getting consent from its author. Content is provided to you AS IS for your information and personal use only. Download presentation by click this link. While downloading, if for some reason you are not able to download a presentation, the publisher may have deleted the file from their server. During download, if you can't get a presentation, the file might be deleted by the publisher.

E N D

Presentation Transcript


  1. Factoring Review

  2. Factoring • The process of rewriting an equation or expression as the product of its factors • Example: x2 + 3x + 2 = (x + 2)(x + 1) • Most common form is the quadratic form: ax2 + bx + c, a ≠ 0

  3. Factoring (when a = 1) ax2 + bx + c = (x + ___ ) (x + ___ ) multiply to equal c and add up to equal b You can always check your answer by FOIL-ing!

  4. Finding Factors of C • Identify the value of c • On your calculator, go to the y= screen • Type C/X into y1 • Go to the table • Any whole numbers (positive, non-decimal numbers) in the y1 column are factors of c

  5. Example

  6. Example #1

  7. Example #2

  8. Example #3

  9. Your Turn: • Complete problems 1 – 3 on the “Factoring Practice” handout • Check your answer by FOIL-ing!

  10. 1. (x + 9)(x + 2) 2. (y – 7)(y + 5) 3. (g – 6)(g + 2)

  11. Difference of Squares • When we use it: • Usually in the form ax2 – c • Both a and c are perfect squares (the square root of each number is a whole number)

  12. Example #1

  13. Example #2

  14. Your Turn: • Complete problems 4 – 10 on the “Factoring Practice” handout • Remember to check your answer by FOIL-ing!

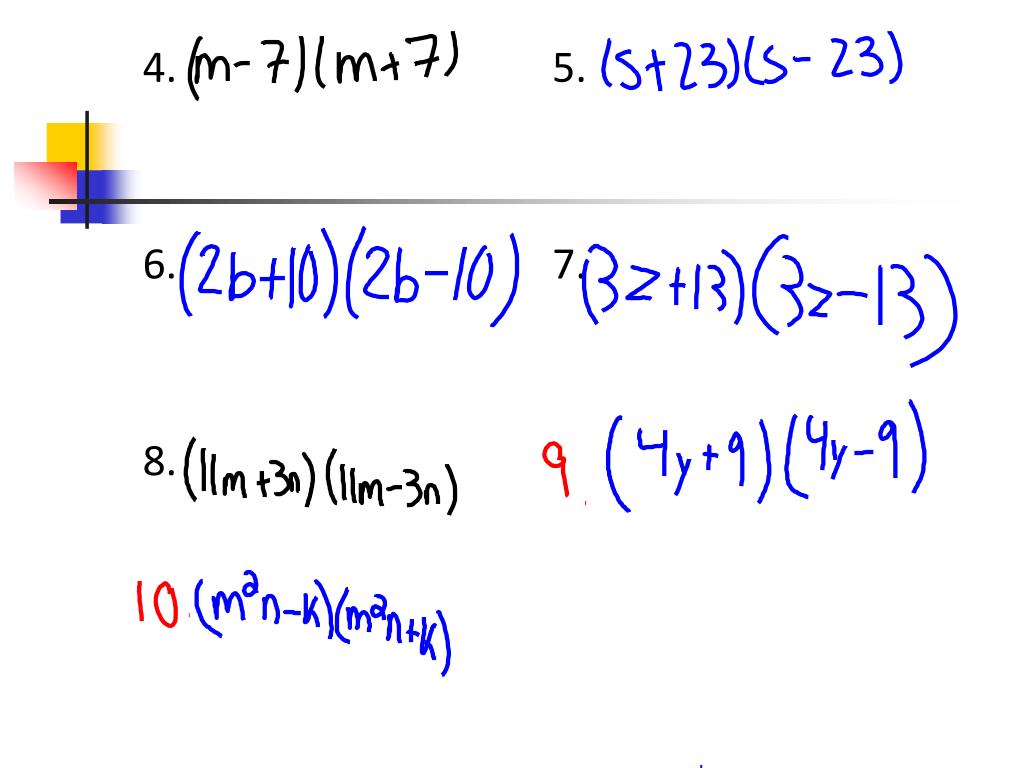
  15. 4. 5. 6. 7. 8.

  16. Factoring (when a ≠ 1):The Welsh Method • Multiply c and a • Rewrite the expression with the new value for c • Write (ax + )(ax + ) • Finish “factoring” the new expression • Reduce each set of parentheses by any common factors

  17. Example #1

  18. Example #2

  19. Example #3

  20. Your Turn: • Complete problems 11 – 20 on the “Factoring Practice” handout • Don’t forget to check by FOIL-ing!

  21. 11. 12. 13. 14. 15. 16.

  22. GCF (Greatest Common Factor) • When we use it: allthe terms share 1 or more factors • Factoring out GCFs save us time!!! • 4x2 – 196 = 0 • (2x + 14)(2x – 14) = 0

  23. GCF (Greatest Common Factor) • Steps: • Identify any common factor(s) (including the GCF) • Factor out the common factor(s) • Factor the remaining expression if possible

  24. Example #1

  25. Example #2

  26. Example #3

  27. Your Turn: • Complete problems 17 – 27 on “Factoring Practice” handout

  28. 17. 18. 19. 20. 21. 22.

  29. 23. 24. 25. 26. 27.

  30. GCFs and The Welsh Method Make sure you factor out any GCFs or the Welsh Method doesn’t work!!!

  31. Your Turn: • Complete problems 28 – 33 on the “Factoring Practice” handout using the GCF and the Welsh Method

  32. 28. 29. 30. 31. 32. 33.

  33. Picking the Correct Method 34. x2 + 10x + 16

  34. Picking the Correct Method 35. 5t2 + 28t + 32

  35. Picking the Correct Method 36. 27p2 – 9p

  36. Your Turn: • Completely factor problems 37 – 44 on the “Factoring Practice” handout. In your solution, state the method(s) you used to completely factor the expression.

  37. 37. 38. 39. 40.

  38. 41. 42. 43. 44.

More Related