1 / 8

SOME GENERAL TEHOREMS ON DIFFERENTIABLE FUNCTIONS & EXPANSIONS

SOME GENERAL TEHOREMS ON DIFFERENTIABLE FUNCTIONS & EXPANSIONS. a) Rolle's Theorem If a function (x) is (i) continuous in closed interval [a, b] (ii) differentiable in open interval (a, b) and (iii) f(a) = f(b) ; then there exists atleast one real number such that f '(c) = 0.

tao
Télécharger la présentation

SOME GENERAL TEHOREMS ON DIFFERENTIABLE FUNCTIONS & EXPANSIONS

An Image/Link below is provided (as is) to download presentation Download Policy: Content on the Website is provided to you AS IS for your information and personal use and may not be sold / licensed / shared on other websites without getting consent from its author. Content is provided to you AS IS for your information and personal use only. Download presentation by click this link. While downloading, if for some reason you are not able to download a presentation, the publisher may have deleted the file from their server. During download, if you can't get a presentation, the file might be deleted by the publisher.

E N D

Presentation Transcript


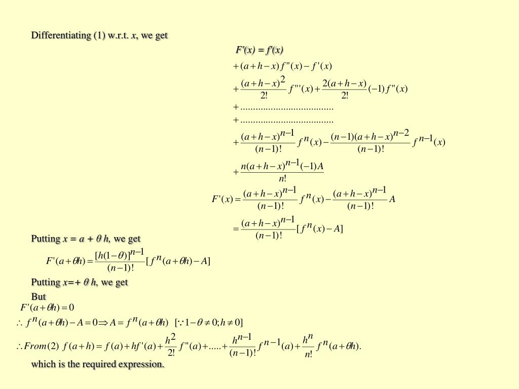
  1. SOME GENERAL TEHOREMS ON DIFFERENTIABLE FUNCTIONS & EXPANSIONS a) Rolle's TheoremIf a function (x) is (i) continuous in closed interval [a, b] (ii) differentiable in open interval (a, b) and (iii) f(a) = f(b) ; then there exists atleast one real numbersuch that f '(c) = 0. (b) Lagrange's Mean Value Theorem.If a function f(x) is (i) continuous in closed interval [a, a + h] (ii) differentiable in open interval (a, a + h) then there exists atleast one real number θ; 0< θ<1, such that f(a + h) = f(a) + hf '(a + θh). 1 Taylor's Theorem with Lagrange's Form of Remainder after 'n' Terms If a function f(x) is such that (i) f(x), f '(x) f "(x).....f n-1(x) are continuous in closed interval [a, a+ h] (ii) f n(x) exists in open interval (a, a + h). then there exists atleast one real number θ; 0< θ<1 such that Proof.Consider the function where A is a constant to be chosen so that F(a) = F(a+h)

  2. Now Putting these values in (2), we have To apply Rolle's theorem on F(x) : (i) f(x), f '(x), f "(x) ......., f n-1(x) are continuous on the closed interval [a, a+h] ........ (given) and (a+h-x), (a+h-x)2, (a+h-x)3, ............ (a+h-x)nbeing polynomials are continuous on the closed interval [a, a+h]. Also the algebraic sum of continuous functions is continuous. therefore, F(x) is continuous in the closed interval [a, a+h]. (ii) As f n (x) exists in the open interval (a, a+h) therefore, f(x), f '(x), f "(x) ........., f n-1(x) are all derivable in the open interval (a, a+h). Also (a+h-x), (a+h-x)2, ........... (a+h-x)n being polynomials are derivable in the open interval (a, a+h) therefore,F(x) is derivable in the open interval (a, a+h). (iii) F(a) = F(a+h) F(x) satisfies all the three conditions of Rolle's theorem in [a, a+h]. Hence there exists atleast one real number θ; 0< θ<1, such that F'(a+ θh) = 0

  3. Differentiating (1) w.r.t. x, we get F'(x) = f'(x) Putting x= a + θh, we get Putting x=+ θh, we get But which is the required expression.

  4. Cor. Maclaurin's theorem with Lagrangbe's form of remainder Putting a = 0, h = x in in Taylor's theorem, we have which is Maclaurin's theorem with Lagrange's form of remainder. Maclaurin's Theorem in full form : If a function f (x) is such that (i) f(x), f '(x), f "(x), ........... f n-1(x) are continuous in closed interval [0, x] (ii) f n(x) exists in open interval (0, x), then there exists atleast one real number θ; 0< θ<1, such that Another form of Taylor's Theorem with Lagrange's form of reminder Let b=a+h i.e., h=b-a and c=a+ θh=a+ θ(b-a) and Taylor's Theorem with Cauchy's Form of Remainder If a function f(x) is such that (i) f(x), f '(x), f "(x), ....f n-1(x) are all continuous in the closed interval [a, a+h] (ii) f n(x) exists in open interval (a, a+h) then there exists atleast one real number θ; 0<θ<1, such that

  5. Proof : Let where A is a constant such that F(a) = F(a+h). Putting x = a in (1), we have Putting x = a + h in (1), we have F(a + h) = f(a+h) + 0 + 0 + .......... = f(a+h) Now F(a+h) = F(a) Then from (2) and (3), we have Now, (i) f(x), f '(x), f "(x) ............, f n-1(x) are continuous on the closed interval [a, a+h) ........... (given) and (a+h-x), (a+h-x)2, (a+h-x)3, ................ (a+h-x)nbeing polynomials are continuous on the closed interval [a, a+h]. Also the algebraic sum of continuous functions is continuous Therefore, F(x) is continuous in the closed interval [a, a + h]. (ii) As f n(x) exists in the open interval (a, a + h) Therefore, f(x), f '(x),f "(x) ......., f n-1(x) are all derivable in the open interval (a, a+h). Also (a+h-x), (a+h-x)2, ....... (a+h-x)nbeing polynomials are derivable in the open interval (a, a+h) Therefore, F(x) is derivable in the open interval (a, a+h). (iii) F(a) = F(a+h) Therefore, F(x) satisfies all the three conditions of Rolle's theorem in [a, a+h]. Hence there exists atleast one real number θ; 0<θ<1, such that F'(a+θh) = 0 Differentiating both sides of (1) w.r.t. x,

  6. Putting x = a + θh, we get

  7. Putting this value of A in (4), we get

  8. Cor. Maclaurin’s Theorem with Cauchy’s form of remainder. Putting a = 0, h =x in the above theorem, we have Whichis the Maclaurin’s theorem with Cauchy’s form of remainder. is called Cauchy’s form of remainder afer n terms in Maclaurins’ expansion of f(x). This theorem can be stated as : If a function f(x) is such that (i) (ii) Then there exists atleast one real number

More Related