adelie
Uploaded by
127 SLIDES
1532 VUES
1290LIKES

Chapter 8

DESCRIPTION

Chapter 8. Further Applications of Integration. 8.1 Differential Equations. A differential equation is an equation that contains an unknown function and some of its derivatives. Below are some examples:. In each of these differential equations y is an unknown function of x.

1 / 127

Télécharger la présentation

Chapter 8

An Image/Link below is provided (as is) to download presentation Download Policy: Content on the Website is provided to you AS IS for your information and personal use and may not be sold / licensed / shared on other websites without getting consent from its author. Content is provided to you AS IS for your information and personal use only. Download presentation by click this link. While downloading, if for some reason you are not able to download a presentation, the publisher may have deleted the file from their server. During download, if you can't get a presentation, the file might be deleted by the publisher.

E N D

Presentation Transcript


  1. Chapter 8 Further Applications of Integration

  2. 8.1Differential Equations A differential equation is an equation that contains an unknown function and some of its derivatives. Below are some examples: In each of these differential equations y is an unknown function of x. The order of a differential equation is the order of the highest derivative that occurs in the equation. Thus the above 3 equations are of the order 1, 2, and 3, respectively.

  3. A function f is called a solution of a differential equation if the equation is satisfied when y = f(x) and its derivatives are substituted into the equation. For example, f is a solution of equation y'= xy if f '(x) = xf(x). To solve a differential equation means to find all possible solutions of the equation. For example, any solution of the equation y"+ y=0 is of the form y =Asinx+Bcos x, where both A and B are constants. So it is called the general solution of the differential equation.

  4. Any particular solutions are obtained by substituting values for the arbitrary constants A and B. For instance, y = sin x is a particular solution of the above differential equation by choosing A = 1,B = 0 in the general solution. In general, solving a differential equation is not an easy matter.

  5. Separable equation A separable equation is a first-order differential equation that can be written in the form dy/dx = g(x)f(y). The name separable comes from the fact that the expression on the right side can be “separated” into a function of x and a function of y. Equivalently, we could write

  6. To solve this equation we rewrite it in the differential form h(y)dy = g(x)dx so that all y’s are on one side of the equation and all x’s are on the other side. Then we integrate both sides of the equation: It defines y implicitly as a function of x. In some cases we may be able to solve for y in terms of x

  7. The justification of the above last step comes form the Substitution Rule:

  8. Example 1 Solve the differential equation Solution Writing the equation in differential form and integrating both sides, we have

  9. where C is an arbitrary constant. (We could have used a constant C1 on the left side and another constant C2 on the right side, but then we could combine these constants by writing C = C2 - C1 The above general solution is in implicit form. In this case it is impossible to express y explicitly as a function of x.

  10. Example 2 Solve the differential equation Solution Rewrite the equation using Leibniz notation: dy/dx = x2y. If y  0, we can rewrite it in differential notation and integrate: dy/y = x2dx, y  0, ln|y| = x3/3 + C

  11. Note that the function y = 0 is also a solution of the given differential equation. So the general solution is in the form where A is an arbitrary constant (A = eCor 0). In this case, we can solve explicitly for y:

  12. Initial-value problem In many physical problems we need to find the particular solution that satisfies a condition of the form y(x0) = y0. This is called an initial condition. The problem of finding a solution of the differential equation that satisfies the initial condition is called an initial-value problem.

  13. Example 1 Solve the differential equation Solution Write the differential equation as: xdy/dx = -y or dy/y = -dx/x. Integrate both sides: ln|y| = -ln|x| + C, |y| = 1/|x| eC

  14. To determine K we put x = 4 and y = 2 in this equation: 2 = K/4 K = 8 So the solution of the initial-value problem is y = 8/x , x > 0

  15. Example 2 Find the solution of dy/dx = 6x2/(2y + cosy) that satisfies y(1) = . Solution From Example 1 in the last part, we know that the general solution is y2 + sin y = 2x3 + C

  16. Therefore, the solution is given implicitly by y2 + sin y = 2x3+2 – 2

  17. Example 3 Solve y'= 1 + y2 - 2x - 2xy2 ,y(0) = 0, and graph the solution. Solution Factor the right side as the product of a function of x and a function of y: Substituting x = 0 and y = 0 in this equation, we get C = 0. So tan-1y = x - x2

  18. To graph this equation, notice that it is equivalent to y = tan(x - x2) provided that -/2<x - x2 < /2. Solving these inequalities, we find that This enables us to graph the solution as in the following figure.

  19. Example 4 A tank contains 20kg of salt dissolved in 5000L of water. Brine that contains 0.03kg of salt per liter of water enters the tank at the rate of 25L/min. The solution is kept thoroughly mixed and drains from the tank at the same rate. How much salt remains in the tank after half an hour?

  20. Solution Let y(t) be the amount of salt (in kilograms) after t minutes. We are given that y(0) = 20 and we want to find y(30). We do this by finding a differential equation satisfied by y(t). Note that dy/dt is the rate of change in the amount of salt, so dy/dt = (rate in) – (rate out) where (rate in) is the rate at which salt enters the tank and (rate out) is the rate at which salt leaves the tank.

  21. We have rate in = (0.03kg/L)(25L/min) = 0.75 kg/min The tank always contains 5000L of liquid, so the concentration at time t is y(t)/5000 (kg/L). Since the brine flows out at a rate of 25L/min, we have rate out = (y(t)/5000 kg/L)(25L/min) = [y(t)/200 ]kg/min Thus dy/dt = 0.75 – [y(t)/200] = [150 - y(t)]/200 Solve the separable differential equation by integrating dy/(150 - y) = dt/200 -ln|150 – y | = t/200 + C.

  22. Since y(0) = 20, we have –ln130 = C, so -ln|150 – y | = t/200 – ln130. Therefore Since y(t) is continuous and y(0) = 20 and the right side is never 0, we deduce that 150 – y(t) is always positive. Thus |150 – y | = 150 – y and The amount of salt after 30 min is

  23. Logistic growth Under the conditions of unlimited environment and food supply, the rate of population growth is proportional to the size of the population. This can be described by the differential equation dy/dt = ky

  24. Solve the separable equation: Where or 0 is an arbitrary constant.

  25. In a restricted environment and with limited food supply, the population cannot exceed a maximal size M at which it consumes its entire food supply. If we make the assumption that the rate of growth of population is jointly proportional to the size of the population y and the amount by which y falls short of the maximal size (M-y), then we have the equation dy/dt = ky (M-y) where k isa constant. This equation is called the logistic differential equation.

  26. The logistic equation is separable, so we write it in the form Using the partial fraction, we have 1/[y(M-y)] = 1/M [1/y +1/(M-y)] and so 1/M [ dy/y + dy/(M-y)] = kdt = kt + C 1/M (ln|y| - ln|M-y|) = kt + C

  27. Since 0 < y < M, |y| = y and |M-y| = M-y, so we have ln(y/M-y) = M(kt + C) y/(M-y) = AekMt(A = eMC) If the population at time t = 0 is y(0) = y0, then A = y0/(M-y0), so y/(M-y) = y0/(M-y0)ekMt Solve this equation for y, we get y=y0MekMt/(M - y0 + y0ekMt)=y0M/[y0+(M - y0)e-kMt] We can see that which is to be expected.

  28. The graph of the logistic growth function is shown here. At first the graph is concave upward and the growth curve appears to be almost exponential, but then it becomes concave downward and approaches the limiting population M.

  29. Direction fields Suppose we are given a first-order differential equation of the form where F(x, y) is some expression in x and y. Even if it is impossible to find a formula for the solution, we can still visualize the solution curves by means of a direction field.

  30. If a solution curve passes through a point (x, y), then its slope at that point is y', which is equal to F(x, y). If we draw short line segments with slope F(x, y) at several points (x, y), the result is called a direction field (or slope field). These line segments indicate the direction in which a solution curve is heading, so the direction field helps us visualize the general shape of these curves.

  31. Example • Sketch the direction field for the differential • equation y' = x2+y2–1. • We start by computing the slope at several points as in the chart (b) Use part (a) to sketch the solution curve that passes through the origin. Solution

  32. (b) Now we draw short line segments with these slopes at these points. The result is the direction field shown in the figure (on the next slide).

  33. (b) We start at the origin and move to the right in the direction of the line segment (which has slope –1). We continue to draw the solution curve so that it moves parallel to the nearby line segments. The resulting solution curve is shown in the figure. Returning to the origin, we draw the solution curve to the left as well.

  34. The more line segments we draw in a direction field, the clearer the picture becomes. Of course, it is tedious to compute slopes and draw line segments for a huge number of points by hand, but computers are well suited for this task. This enables us to draw the solution curves with reasonable accuracy. The idea of direction fields is adapted to find numerical approximations to the values of solutions of differential equations. This technique is called Euler’s method.

  35. 8.2 Arc Length • The definition of arc length Suppose that a curve C is defined by the equation y = f(x), where Toobtain a polygonal approximation to C, we take a partition P of [a, b] determined by points xiwith a = x0< x1<…< xn= b. If yi = f(xi), then the point Pi (xi, yi) lies on C and the polygon with vertices P0, P1, …, Pnis an approximation to C. The length of this polygonal approximation is This approximation appears to become better as ||P|| 0.

  36. Therefore, we define the lengthL of the curve C with equation y = f(x), , as the limit of the lengths of these inscribed polygons (if the limit exists): Notice that the procedure for defining arc length is very similar to the procedure we used for defining area and volume. We divided the curve into a large number of small parts. We then found the approximate lengths of the small parts and added them. Finally we took the limit as ||P|| 0.

  37. The definition of arc length given above is not very convenient for computational purposes, but we can derive an integral formula for L in the case where f has a continuous derivative. [Such a function f is called smooth because a small change in x produces a small change in f '(x).]

  38. If we let yi =yi -yi-1, then By the Mean Value Theorem to f on the interval [xi-1, xi], there is a number xi*between xi-1 andxi such that f(xi) - f(xi-1) = f '(xi*) (xi - xi-1), i.e. yi = f '(xi*) xi . Thus we have

  39. Therefore,

  40. By the definition of a definite integral, we recognize the above expression as being equal to This integral exists because the function is continuous. Thus we have proved

  41. The arc length formula If f ' is continuous on [a,b], then the length of the curve y = f(x), , is Use the Leibniz notation for derivatives,

  42. Example 1: Find the length of the arc of the semicubical parabola y2 = x3 between the point (1,1) and (4,8).

  43. Solution: For the top half of the curve we have y = x3/2 , and so the arc length formula gives Substitute u = 1+9x/4, then du = 9dx/4. When x = 1, u = 13/4; when x = 4, u = 10. Therefore

  44. If a curve has the equation x = g(y), , then by the interchanging the roles of x and y in the formula, we obtain

  45. Example 2: Find the length of the arc of the parabola y2 = x from (0,0) to (1,1).

  46. Solution: Since x = y2, we have dx/dy = 2y, and so Make the trigonometric substitution , which gives and When y = 0, = 0, so ; when , so Thus

  47. Since , we have

  48. Because of the presence of the square root sign in the arc length formula, the calculation of an arc length often leads to an integral that is very difficult or even impossible to evaluate explicitly. Thus we sometimes have to be content with finding an approximation to the length of a curve as in the following example.

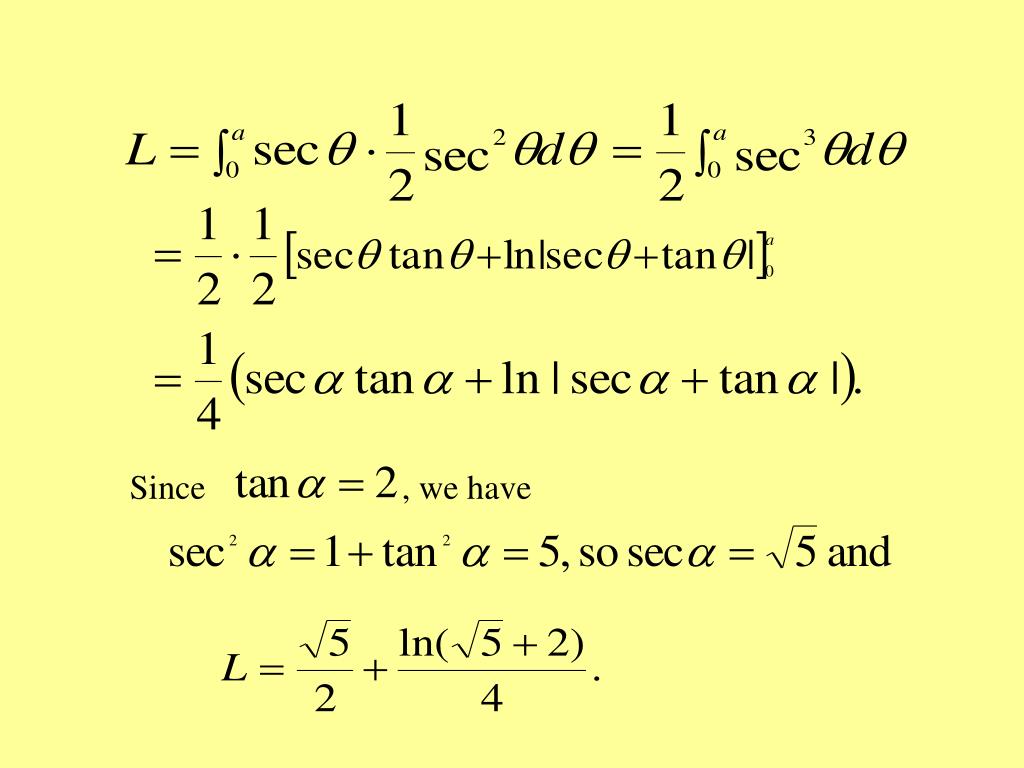
  49. Example 3 • (a) Set up an integral for the length of the arc of the hyperbola xy = 1 from the point (1,1) to (2,1/2). • (b) Use Simpson’s Rule with n = 10 to estimate the arc length. • Solution • We have y = 1/x, dy/dx = -1/x2. • and so the arc length is

More Related