camdyn
Uploaded by
44 SLIDES
702 VUES
470LIKES

Basics of Optical Interferometry

DESCRIPTION

Basics of Optical Interferometry. (Observationnal Astronomy II) Lecture by Stéphane Sacuto. Source with F s < l /D. PSF. The information on your object is lost. You NEED more spatial resolution from your instrument. . Power of Resolution and need for High Angular Resolution. D.

1 / 44

Télécharger la présentation

Basics of Optical Interferometry

An Image/Link below is provided (as is) to download presentation Download Policy: Content on the Website is provided to you AS IS for your information and personal use and may not be sold / licensed / shared on other websites without getting consent from its author. Content is provided to you AS IS for your information and personal use only. Download presentation by click this link. While downloading, if for some reason you are not able to download a presentation, the publisher may have deleted the file from their server. During download, if you can't get a presentation, the file might be deleted by the publisher.

E N D

Presentation Transcript


  1. Basics of Optical Interferometry (Observationnal Astronomy II) Lecture by Stéphane Sacuto

  2. Source withFs< l/D PSF The information on your object is lost. You NEED more spatial resolution from your instrument. Power of Resolution and need for High Angular Resolution D PSF  IObj

  3. Typical monolithic telescope diameters Those structures are not resolved with monolithic telescopes even with the ELT We need something else INTERFEROMETRY

  4. but Fs~ l/B < l/D D D B PSF Interferometric signal Source withFs< l/D D The signal of the source is found again but under the appearance of fringes

  5. L1 z L2 L3 DL=L1 =B.cosz Delay line and optical path compensation Bp=B.sin(z) B

  6. + Fs An Interferometer is measuring the contrast of the total fringe pattern : PSF of the telescope Fringe contrast is given by : Imax - Imin Interferometric signal  V Imax + Imin l/B l/D The interferometric signal

  7. High contrast Mid contrast Low contrast V~1 V~0.6 V~0.2 The fringe contrast (part I) • For a given baseline length Band for different sizes of the source Fs Small source (Fs<<l/B) Mid source (Fs ~ l/B) Large source (Fs ~ l/D)

  8. High contrast Mid contrast Low contrast V~1 V~0.6 V~0.2 The fringe contrast (part II) • For a given dimension of the source Fsand for different baseline lengths B Mid base (B ~ l/Fs) Large base (B >> l/Fs) Small base (B<<l/Fs)

  9. ? Object-Contrast Relation The Van Cittert and Zernike theorem V= |Ô (u,v)/Ô(0,0) |

  10. Fourier space/uv-plane/ spatial frequencies plane |Ô (u,v) /Ô (0,0)| Direct Space O(a,d) v F d u a v d òò O(a,d) . exp[-i.2p (ua +vd)]. da dd òò O(a,d) . da dd u a v d Does someone recognize this denominator? u a The Van Cittert and Zernike theorem The fringe contrast of a source of emissivity O is equal to the modulus of the Fourier Transform of O at a given spatial frequency normalized by the FT of O at the origin.

  11. Some Fourier (Hankel) transformations (*) r = (a² + d²)1/2 (*) q = (u ² + v ²)1/2 = Bp/l (**) J1c(X) = J1(X)/X

  12. Plane of the star Plane of the star T1 T0 BY By Bp=100 m PA Bp=B=130 m Bx PA Earth plane PA Bx u = Bx/l = Bp.cos(PA) / l v = By/l = Bp.sin(PA) / l After an Earth rotation Bp/l = Öu² + v² The uv-plane (part I) spatial frequencies(u,v) : coordinates (Bx,By) of the projected baselines (Bp) seen from the star and divided by the observing wavelength(l)

  13. after 6 hours after 42 hours with 7 pairs after 1 hour of observation Wavelength dispersion (u=Bx/l ; v=By/l) d d d d d d v v v v v v ?? ?? ?? = = = u u u u u u a a a a a a The uv-plane (part II) Observation of R Scl (a=01:26:58 ; d=-32:32:35) at the date of 19 August 2011 This kind of coverage is very expensive in time ! Observations F F-1

  14. Is it really necessary to get a very large uv-coverage for such an object? [hot star] Is it necessary to get a very large uv-coverage for this one? [Post-AGB (triple system + envelope + disk)] What is the appropriate uv coverage? It depends on the complexity of the object

  15. Spatial information

  16. MgFeSiO4 Fe Mg2SiO4 Al2O3 TiO2 SiO2 Mg2SiO4 Al2O3 TiO2 SiO SiO2 H2O TiO C2H2 HCN SiC SiC AmC SiC AmC 5R 1R 2R 3R 6R 4R • Spectral information B=30m (outer dusty region) B=60m (mid dusty region) B=90m (inner dusty region) B=120m (molecular region)

  17. Binary source at anglea0 => • displacement of the fringes byOPD = a0.B a0 Van Cittert-Zernike theorem f(u,v) = arg[Ô(u,v)] = atan[Im(Ô)/Re(Ô)] B information on the asymmetries of an object a0.B Atmospheric noise The Phase in Interferometry: V = V e-i 12 = 12obj + d2 – d1

  18. Observed Object Atmosphere 12 = 12obj + d2 –d1 23 = 23obj + d3– d2 31 = 31obj + d1–d3 123 = 12 + 23 + 31= 12obj + 23obj + 31obj The Closure Phase T1 T2 T3 Object Only!!

  19. An Example UD of 9 mas diameter with a spot of 2 mas diameter on its surface representing 25% of the total flux. Fringe contrast Closure Phase UD UD+spot

  20. Real visibility data points (AMBER with 3 telescopes)

  21. Closure Phase data

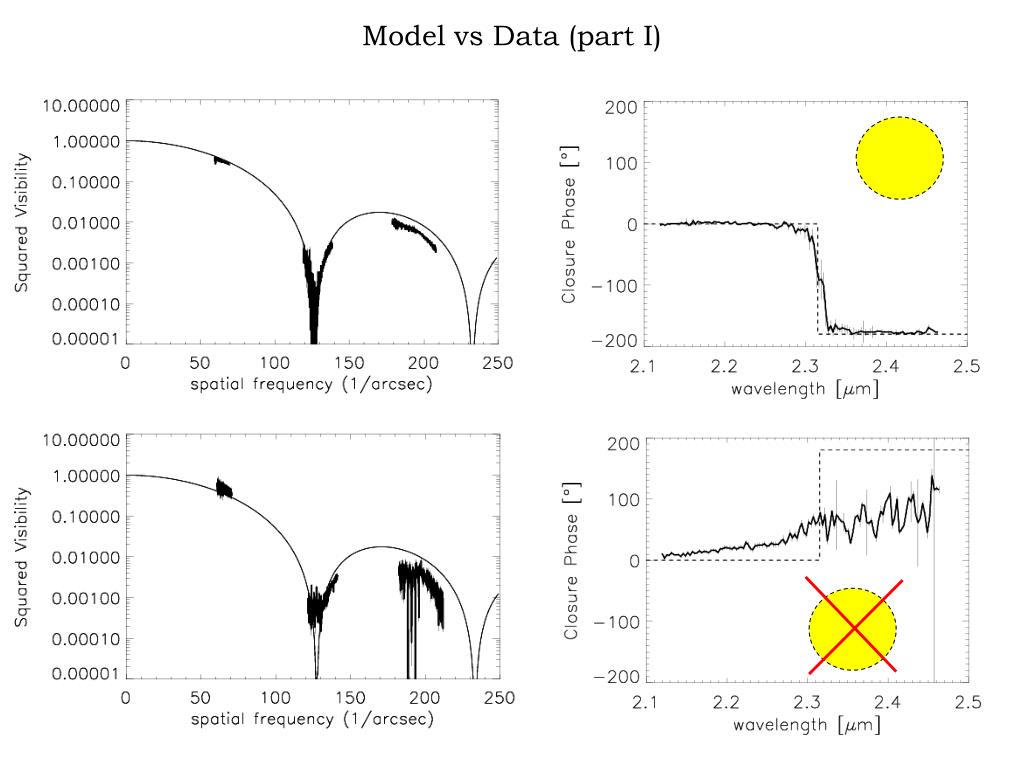
  22. Model vs Data (part I)

  23. Model vs Data (part II) 2.17 µm continuum 10 mas 2.38 µm CO-line

  24. The calibration in Interferometry

  25. Resolved calibrator Unresolved calibrator Error on visibility solely due to uncertainty on the calibrator diameter The need for accurate determination of the calibrator diameters System response Calibrated visibility where

  26. Dfcal/fcal= 1% Effects of diameter uncertainties on the visibility accuracy Dfcal/fcal= 3%

  27. ASPRO The Astronomical Software to PRepare Observations

  28. How to launch ASPRO in the web? http://www.jmmc.fr/aspro_page.htm

  29. The interface – WHEN: to define the date and time of the simulated observation – WHERE: to select the interferometer (VLTI, IOTA, CHARA, …) and the number of telescopes – WHAT: to define the target properties (name, coordinates, brightness); – OBSERVABILITY/COVERAGE: to define the VLTI configuration to be used for the observations – MODEL/FIT: to calculate and plot interferometric observables and their associated uncertainties according to the chosen model (UD, LD, Binary, …) and the corresponding baseline configuration.

  30. When

  31. Where

  32. What

  33. UT time delay line Night LST time Observability

  34. uv-coverage (part I)

  35. uv-coverage (part II)

  36. Model/Fit (part I)

  37. Model/Fit (part II)

  38. Model/Fit (part III)

  39. V V V l=10µm l=10µm l=10µm Bp Bp Bp Model/Fit (part IV) [F1/F2]10µm=4 D I R E C T fext= 40mas fin = 20mas s = 40mas q =45° Æ = 30mas [F1/F2]10µm=1 Æ = 10mas Æ = 10mas F O U R I E R S P A C E

  40. DEFINE THE BEST CALIBRATOR http://www.jmmc.fr/searchcal_page.htm How to launch SearchCal in the web?

  41. Choose your observing wavelength (AMBER-H/K or MIDI-N) • The maximum baseline of your observation (limit of sensitivity) • The science target • The maximum location around the science target (close enough to avoid atmospheric biases) • And get your calibrators (from the various catalogs existing) CALIBRATORS

  42. Separation from the science target in degree • Evaluation of the corresponding equivalent UD visibility value Table

  43. location of the calibrator (as close as possible) • brightness (as bright as possible to get a high Signal to Noise ratio) • spectral type and luminosity (avoid complex object like cool stars) • visibility and accuracy (avoid too large objects -> V small -> poor S/N ratio) • variability (avoid to use variable objects that may lead to temporal biases in the calibrated measurements) • multiplicity (avoid multiple object that may lead to a wrong interpretation of the calibrated measurements) Selection criteria

  44. DEFINE THE BEST CALIBRATOR HD35497

More Related
SlideServe
Audio
Live Player
Audio Wave
Play slide audio to activate visualizer