1 / 48

A finite set of pairs

Lagrangian Floer theory of arbitrary genus and Gromov -Witten invariant Kenji Fukaya (Kyoto University) at University Miami (US). A finite set of pairs. (relatively spin) Lagrangian submanifolds. weak bounding cochains. A cyclic unital filtered A inifinity category. set of objects.

druce
Télécharger la présentation

A finite set of pairs

An Image/Link below is provided (as is) to download presentation Download Policy: Content on the Website is provided to you AS IS for your information and personal use and may not be sold / licensed / shared on other websites without getting consent from its author. Content is provided to you AS IS for your information and personal use only. Download presentation by click this link. While downloading, if for some reason you are not able to download a presentation, the publisher may have deleted the file from their server. During download, if you can't get a presentation, the file might be deleted by the publisher.

E N D

Presentation Transcript


  1. LagrangianFloer theory of arbitrary genusandGromov-Witten invariantKenji Fukaya(Kyoto University)at University Miami (US)

  2. A finite set of pairs (relatively spin) Lagrangiansubmanifolds weak bounding cochains A cyclic unital filtered A inifinity category set of objects set of morphisms F, Oh, Ohta, Ono (FOOO) (+ Abouzaid FOOO (AFOOO))

  3. Hochshildcohomology Hochshild homology Cyclic cohomology Cyclic homology Open closed maps FOOO , AFOOO

  4. Gromov-Witten invariant Counting genus g pseudo-holomorphic maps intersecting with cycles in X

  5. Problem to study or Compute in terms of the structures of

  6. structure. relation

  7. Inner product and cyclicity is (up to sign) a Poincare duality on cyclicity

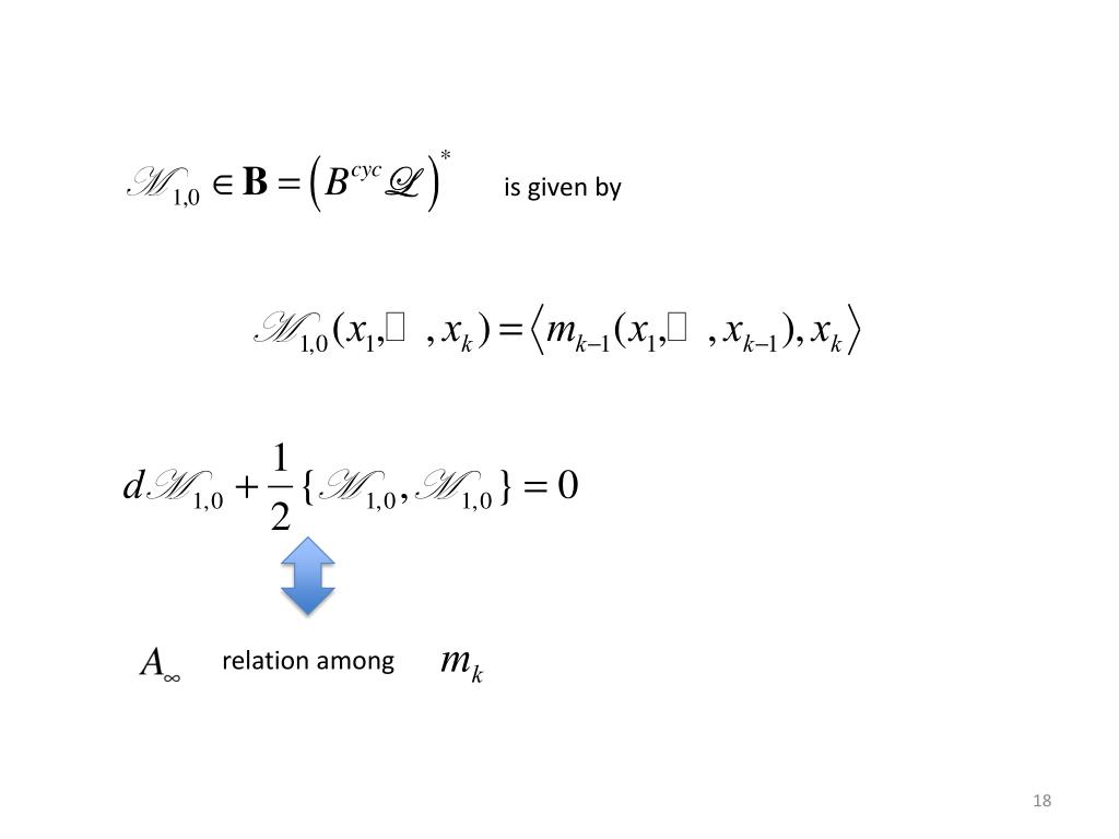
  8. Problem to study or Compute in terms of the structures of

  9. NO we can't ! Answer is determined by the structures of in case In general we need extra information. I will explain those extra information below. It is LagrangianFloer theory of higher genus (loop).

  10. dIBL structure (differential involutive bi-Lie structure) on B 3 kinds of operations differential Jacobi Lie bracket co Jacobi co Lie Bracket is a derivation with respect to d is a coderivation

  11. is compatible with Involutive a

  12. IBL infinity structure = its homotopy everything analogue operations : Homotopy theory of IBL infinity structure is built (Cielibak-Fukaya-Latschev)

  13. chain complex with inner product (dual cyclic bar complex) has a structure of dIBL algebra (cf. Cielibak-F-Latschev) basis of C

  14. There is a category version. Dual cyclic bar complex has dIBLstructure Remark: This structure does NOT (yet) use operations mk except the classical part of m1, that is the usual boundary operator.

  15. Cyclic stucture(operations mk)on satisfying Maurer-Cartan equation This is induced by a holomorphic DISK

  16. is given by relation among

  17. Theorem(LagrangianFloer theory of arbitrary genus) (to be written up) There exists such that BV master equation is satisfied. The gauge equivalence class of is well-defined.

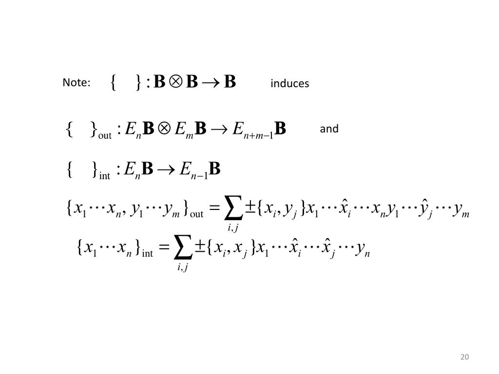
  18. Note: induces and

  19. induces

  20. is obtained from moduli space of genus g bordered Riemann surface with boundary components

  21. Remark: (1): In case the target space M is a point, a kind of this theorem appeared in papers by various people including Baranikov, Costello Voronov, etc. (In Physics there is much older work by Zwieback.) (2): Theorem itself is also expected to hold by various people including F for a long time. (3): The most difficult part of the proof is transversality. It becomes possible by recent progress on the understanding of transversality issues. It works so far only over . It also requires machinery from homological algebra of IBL infinity structure to work out the problem related to take projective limit, in the same way as A infinity case of [FOOO]. This homological algebra is provided by Cielibak-F-Latshev. (4): Because of all these, the novel part of the proof of this theorem is extremely technical. So I understand that it should be written up carefully before being really established. (5): In that sense the novel point of this talk is the next theorem (in slide 33) which contains novel point in the statement also.

  22. Relation to `A model Hodge structure' We need a digression first. Put Let We (AFOOO) have an explicit formula to calculate it based on Cardy relation.

  23. Formula for

  24. Theorem (AFOOO, FOOO ....) a basis of

  25. Hochshild complex Let be the operator obtained by `circle' action. Hochshild homology is homology of the free loop space of L. is obtained from the S1 action on the free loop space.

  26. Hochshild complex Let be the operator obtained by `circle' action. Proposition it implies that there exists if Zis non-degenerate such that because 2nd of BV master equation

  27. Corollary(Hodge – de Rham degeneration) (Conjectured by Kontsevitch-Soibelman) If Z is non-degenerate then Remark: This uses only : moduli space of annulus. To recover we must to use all the informations

  28. Remark: Why this is called `Hodge – de Rham degeneration' ? Hodge structure uses with One main result of Hodge theory is we may rewrite this to is independent of u We have Put is independent of u

  29. Floer's boundary operator Landau-Gizburg potential Table from Saito-Takahashi's paper FROM PRIMITIVE FORMS TO FROBENIUS MANIFOLDS (Similar table is also in a paper by Katzarkov-Kontsevich-Pantev) plus paring between HH* and HH*

  30. MainTheorem(work in progress) The gauge equivalence class of determines Gromov-Witten invariants for if Z is non-degenerate.

  31. Idea of the proof of Main theorem Metric Ribbon tree Bordered Riemann surface Example: 2 loop

  32. 1 1 1

  33. Moduli of metric ribbon graph = etc. Moduli of genus g Riemann surface with marked points This isomorphism was used in Kontsevich's proof of Witten conjecture

  34. is identified with moduli space of bordered Riemann surface. Fix and consider the family parametrised by

  35. Consider one parameter family of moduli spaces L L

  36. Study the limit when ? ?

  37. etc. (various combinatorial types depending on .)

  38. Counting gives More precisely integrating the forms on the moduli space by the evaluation map using the boundary marked points

  39. Counting We obtain numbers that can be calculated from

  40. Actually we need to work it out more carefully. Let and try to compute Need to use actually

  41. Forgetting defines is identified with the total space of complex line bundle over (the fiber of is identified to the tangent space of the unique interior marked point.) (The absolute value corresponds to c the phase S1 corresponds to the extra freedom to glue.)

  42. is not a trivial bundle. (Its chern class is Mumford-Morita class.) So is not homlogous to a class in the boundary.

  43. is homologous to a class on the boundary and here D is Poincare dual to the c1 a class on the boundary

  44. something coming from boundary. Because is a union of S1 orbits, then Hodge to de Rham degeneration and

  45. A a class on the boundary and and are determined by QED

More Related