ewa
Uploaded by
19 SLIDES
456 VUES
190LIKES

Chapter 8

DESCRIPTION

Chapter 8. 8.2 Integration By Parts. Let G(x) be any antiderivative of g(x). In this case G’(x)=g(x), then by the product rule,. Which implies. Or, equivalently, as. (1). The application of this formula is called integration by parts. In practice, we usually rewrite (1) by letting.

1 / 19

Télécharger la présentation

Chapter 8

An Image/Link below is provided (as is) to download presentation Download Policy: Content on the Website is provided to you AS IS for your information and personal use and may not be sold / licensed / shared on other websites without getting consent from its author. Content is provided to you AS IS for your information and personal use only. Download presentation by click this link. While downloading, if for some reason you are not able to download a presentation, the publisher may have deleted the file from their server. During download, if you can't get a presentation, the file might be deleted by the publisher.

E N D

Presentation Transcript


  1. Chapter 8 8.2 Integration By Parts Let G(x) be any antiderivative of g(x). In this case G’(x)=g(x), then by the product rule, Which implies Or, equivalently, as (1) The application of this formula is called integration by parts.

  2. In practice, we usually rewrite (1) by letting This yields the following alternative form for (1)

  3. Example: Use integration by parts to evaluate Solution: Let

  4. Guidelines for Integration by Parts The main goal in integration by parts is to choose u and dv to obtain a new integral That is easier to evaluate than the original. A strategy that often works is to choose u and dv so that u becomes “simpler” when Differentiated, while leaving a dv that can be readily integrated to obtain v. There is another useful strategy for choosing u and dv that can be applied when the Integrand is a product of two functions from different categories in the list. Logarithmic, Inverse trigonometric, Algebraic, Trigonometric, Exponential In this case, you will often be successful if you take u to be the function whose Category occurs earlier in the list and take dv to the rest of the integrand (LIATE). This method does not work all the time, but it works often enough to b e useful.

  5. Example. Evaluate Solution: According to LIATE, we should let

  6. Example: Evaluate Solution: Let

  7. Repeated Integration by Parts Example: Evaluate Solution: Let Apply integration by parts to

  8. Finally,

  9. Example: Evaluate Solution: Let (a)

  10. Together with (a), we have Solve for the unknown integral, we have

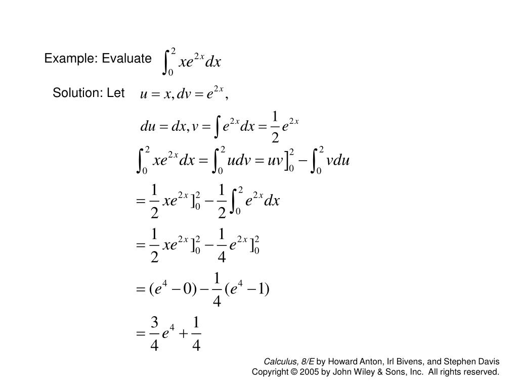
  11. Integration by Parts for Definite Integrals For definite integrals, the formula corresponding to is

  12. Example: Evaluate Solution: Let

  13. 8.3 Trigonometric Integrals Integrating powers of sine and cosine By applying the integration by parts , we have two reduction formulas

  14. In particular, ……

  15. Integrating Products of Sines and Cosines

  16. Example: Evaluate Solution: since n=5 is odd,

  17. Integrating Powers of Tangent and Secant There are similar reduction formulas to integrate powers of tangent and secant.

  18. In particular, ……

  19. Integrating Products of Tangents and Secents

More Related