gili
Uploaded by
59 SLIDES
818 VUES
600LIKES

intro

DESCRIPTION

intro. 12.1A. acetyl group formyl group. 12.1A. 12.1A. 12.1A. Nucleophilic acyl substitution. 12.1B. Acyl transfer (another way of looking at the same reaction type). Transesterification (Acetyl group transferred from isopentanol to methanol).

1 / 59

Télécharger la présentation

intro

An Image/Link below is provided (as is) to download presentation Download Policy: Content on the Website is provided to you AS IS for your information and personal use and may not be sold / licensed / shared on other websites without getting consent from its author. Content is provided to you AS IS for your information and personal use only. Download presentation by click this link. While downloading, if for some reason you are not able to download a presentation, the publisher may have deleted the file from their server. During download, if you can't get a presentation, the file might be deleted by the publisher.

E N D

Presentation Transcript


  1. intro

  2. 12.1A

  3. acetyl group formyl group 12.1A

  4. 12.1A

  5. 12.1A

  6. Nucleophilic acyl substitution 12.1B

  7. Acyl transfer (another way of looking at the same reaction type) Transesterification (Acetyl group transferred from isopentanol to methanol) Ester hydrolysis (acetyl group transferred to water) 12.1B

  8. Amide hydrolysis (acyl group transferred from amine to water) 12.1B

  9. 12.1B

  10. Acid derivatives are less reactive electrophiles than ketones/aldehydes 12.1C

  11. 12.1C

  12. acyl phosphates: activated acyl groups 12.1C

  13. 12.2A

  14. (fig not in text)

  15. 12.2A

  16. these are both downhill reactions energy of one ATP has been ‘spent’ shorthand: 12.2A

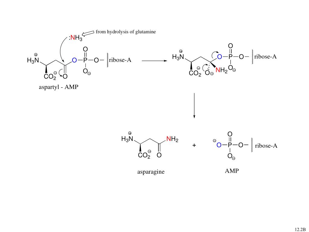
  17. a slightly different example: acyl-AMP 12.2B

  18. This time, NH3 comes directly from glutamine hydrolysis! (Glutamine is a carrier of NH3) 12.2B

  19. 12.2B

  20. Condensed: All this is happening in a single enzyme! 12.2B

  21. Building purine (G/A) bases in DNA/RNA 12.2C

  22. 12.2C

  23. Activated acyl groups in the lab 12.2D

  24. Thioesters are also reactive acyl groups: important in lipid metabolism

  25. 12.3A

  26. acetic acid - important central metabolite (in acetyl-CoA form) 12.3A

  27. Activation of fatty acids 12.2B

  28. Fatty acids need to be activated in order to be transferred onto glycerol 12.3C

  29. First, the fatty acyl group is transferred to a cysteine group on the enzyme (transthioesterification) 12.3C

  30. transfer to glycerol: downhill reaction! 12.3C

  31. a transthioesterification rxn in fatty acid synthesis 12.3D

  32. Thioester hydrolysis (citric acid cycle) 12.3E

  33. Esterification laboratory: acid-catalyzed isopentyl acetate (‘banana oil’) 12.4A

  34. Question: is base-catalyzed esterification feasible? 12.4A

  35. Esters often smell very good! 12.4B

  36. basic ester hydrolysis 12.4B

  37. Base-catalyzed ester hydrolysis: saponification soap! lipase enzymes catalyze the same reaction 12.4B

  38. Enzymatic ester hydrolysis: acetylcholinesterase and sarin acetylcholinesterase: breaks down acetylcholine in synapse after it triggers nerve impulse 12.4C

  39. Sarin nerve gas irreversibly inactivates acetylcholinesterase 12.4C

  40. Resolution of enantiomers by lipase 12.4D

  41. haloalkane dehalogenase 12.4D

  42. Transesterification -the molecular action of aspirin aspirin acetylates (thus inactivating) an enzyme that makes prostaglandin, a signaling molecule that initiates inflammation 12.4E

  43. Nonenzymatic transesterification - biodiesel from vegetable oil 12.4E

  44. Peptide bonds 12.5A

  45. Formation of a new peptide bond (on the ribosome): essentially, amine plus carboxylate to amide plus water! Step 1 - activating amino acid 12.5A

  46. Step 2 - attach aa to tRNA 12.5A

  47. Step 3 - form new peptide bond 12.5A

  48. Step 4 - repeat for each new aa on the growing chain 12.5A

  49. Step 5 - hydrolize final amino acid 12.5A

  50. Puromycin mimics tRNA-Phe, blocks active site ester linkage replaced by amide - less reactive synthesis machinery in mammals is different - puromycin has no effect 12.5A

More Related