1 / 71

First Combination of H1 & ZEUS Diffractive Cross-Sections

First Combination of H1 & ZEUS Diffractive Cross-Sections. P. Laycock , M. Ruspa , E. Sauvan , L. Schoeffel , V. Sola , E. Tassi. Goal. Combine H1-ZEUS diffractive cross sections with Sasha Glasov’s combination code . Available samples H1 ‘97 LRG (published, DESY 06-049)

hazina
Télécharger la présentation

First Combination of H1 & ZEUS Diffractive Cross-Sections

An Image/Link below is provided (as is) to download presentation Download Policy: Content on the Website is provided to you AS IS for your information and personal use and may not be sold / licensed / shared on other websites without getting consent from its author. Content is provided to you AS IS for your information and personal use only. Download presentation by click this link. While downloading, if for some reason you are not able to download a presentation, the publisher may have deleted the file from their server. During download, if you can't get a presentation, the file might be deleted by the publisher.

E N D

Presentation Transcript


  1. First Combination ofH1 & ZEUSDiffractive Cross-Sections P. Laycock, M. Ruspa, E. Sauvan, L. Schoeffel, V. Sola, E. Tassi

  2. Goal Combine H1-ZEUS diffractive cross sections with Sasha Glasov’s combination code • Available samples • H1 ‘97 LRG (published, DESY 06-049) • H1 ‘99 LRG (preliminary) • H1 ’99 LRG minimum bias (preliminary) • H1 HERA II LRG (preliminary) • H1 HERA II FPS (published, DESY 10-095) • ZEUS 2000 LRG (published, DESY 08-175) • ZEUS 2000 LPS (published, DESY 08-175) H1 average LRG available (H1prelim-10-011) SFEX Session @ ZAW - 24/03/2011

  3. Instructions for Use Combine H1-ZEUS diffractive cross sections with Sasha Glasov’s combination code • In the following slides χ2 / ndof comes from SG’s code in two cases • correlations among systematic uncertainties neglected, labelled ‘WA’ • (as equivalent to weighted average, where all the uncertainties are treated as • uncorrelated and added in quadrature) • full correlation among systematic uncertanties (treated as multiplicative), • labelled ‘SGfit’ • The output of the fit to the correlated systematic uncertainties will look like e.g. where e.g. dlar_h1 0.1723 0.3938 means that H1 LArhadronic energy scale changes by 0.17 original sigma and the related uncertainty is reduced of a factor 0.3938 Fitted systematics: 1 dlar_h1 0.1723 0.3938 2 dele_h1 3.3292 0.3340 SFEX Session @ ZAW - 24/03/2011

  4. Cross Section Averaging Procedure Averaging procedure based on Least squares method Data model (assume first only additive systematics): Likelihood: with Pulls are defined as SFEX Session @ ZAW - 24/03/2011

  5. Fit Ingredients • Binning is the same for all H1 LRG measurements; ZEUS measurements available • in this binning (only small shifts in Q2 of H1 points needed) • Correlated systematics from DESY 09-191 and DESY 06-049 • Normalization? Decided to • set normalization according to proton spectrometer results • (i.e. scale ZEUS and H1 according to LPS/FPS) • leave the normalization uncertainties out of the fit • (will be treated later as procedural uncertainty) SFEX Session @ ZAW - 24/03/2011

  6. Digression: LPS/FPS Normalizations Reduced cross measured from Proton Spectrometer data are collected in a t range -> An integration in t is needed to measure the 3-diff cross section ( Q2, β, xIP, t ) -> ( Q2, β, xIP ) b-slope parameter is used in for the integration H1 FPS -> b ~ 5 ÷ 6 GeV-2 depending on xIP ZEUS LPS -> b = 7 GeV-2 “In DESY 10-095 we present the average H1 FPS /ZEUS LPS ratio: 0.85+/-0.01(stat)+/-0.03(unc.syst)+0.09/-0.12(norm.) which takes into account the normalisation uncertainty of 6% for H1 FPS and +11/-7% for ZEUS LPS. I recalculated the H1 FPS / ZEUS LPS ratio assuming the t-slope parameter B=7 GeV-2 as in the ZEUS LPS publication. The mean value for the H1 FPS / ZEUS LPS ratio is shifted from 0.85 to 0.95” [ Mikhail Kapishin, result confirmed by Sasha Proskuriakov ] SFEX Session @ ZAW - 24/03/2011

  7. Systematics • Correlated systematics treated in the fit • H1 LRG: • Larhadronic energy scale • SPACAL electromagnetic energy scale • scattered electron angle measurement • calorimeter noise treatment • non diffractive background subtraction • plug energy scale • SPACAL hadronic energy scale • xIP reweighting • β reweighting • Q2 reweighting • Swimming factors applied to H1 points to reach ZEUS Q2s • will be treated as a procedural uncertainty (not done yet) • Normalization uncertainties not included in the fits • (only in the checks described on backup slides) • ZEUS 2000 LRG: • energy scale • xIP reweighting • ZUFO cut SFEX Session @ ZAW - 24/03/2011

  8. Fit Results SFEX Session @ ZAW - 24/03/2011

  9. Fit Results Study the consistency H1 vs ZEUS across the phase space Full kinematics ZEUS LRG + H1 average LRG: χ2 / ndof = 562 / 153 = 3.4 (wa); χ2 / ndof = 1045 / 153 = 6.8 (SGfit) β < 0.6 & xIP > 0.002 ZEUS LRG + H1 average LRG: χ2 / ndof = 211 / 100 = 2.1 (wa) -> χ2 / ndof = 262 / 100 = 2.6 (SGfit) MX > 4 GeV ZEUS LRG + H1 average LRG: χ2 / ndof = 234 / 113 = 2.1 (wa) -> χ2 / ndof = 360 / 113 = 3.2 (SGfit) [reminder: β~ Q2 / (Q2 +MX2) ]  We concentrate our combination in a safe region! Don’t PANIC !!! Still large room for improvement (see next) SFEX Session @ ZAW - 24/03/2011

  10. Full kinematics ZEUS LRG + H1 average LRG β = 0.17 (i = 3) β = 0.05 (i = 6) β = 0.27 (i = 2) β = 0.08 (i = 5) β = 0.43 (i = 1) β = 0.13 (i = 4) β = 0.67 (i = 0) β = 0.2 (i = 3) β = 0.32 (i = 2) β = 0.5 (i = 1) β = 0.8 (i = 0) MX ≤ 4 GeV H1+ZEUS Plenary - 18/03/2011

  11. β = 0.017 β = 0.005 β = 0.027 β = 0.008 β = 0.013 β = 0.043 β = 0.02 β = 0.067 β = 0.032 β = 0.11 β = 0.05 β = 0.17 β = 0.08 β = 0.27 β = 0.13 β = 0.2 β = 0.43 β = 0.67 β = 0.32 β = 0.5 β = 08 • We take separate H1 datasets for next studies H1+ZEUS Plenary - 18/03/2011

  12. H1 Datasets -> Experimental errors are treated as uncorrelated between all datasets * ’97 - HERA II (wa) χ2 / ndof = 121 / 92 = 1.3 -> (SGfit) χ2 / ndof = 148 / 92 = 1.6 * ’97 - ’99+2000 (wa) χ2 / ndof = 120 / 93 = 1.3 -> (SGfit) χ2 / ndof = 144 / 93 = 1.5 * ’97 - ’99 mb (wa) χ2 / ndof = 200 / 131 = 1.5 -> (SGfit) χ2 / ndof = 216 / 131 = 1.6 * ’99+2000 - HERA II (wa) χ2 / ndof = 85 / 92 = 0.92 -> (SGfit) χ2 / ndof = 131 / 92 = 1.4 * ’99 mb - HERA II (wa) χ2 / ndof = 45 / 57 = 0.8 -> (SGfit) χ2 / ndof = 53 / 57 = 0.9 SFEX Session @ ZAW - 24/03/2011

  13. H1 Datasets -> Experimental errors are treated as uncorrelated between all datasets * ’97 - ’99+2000 - ’99 mb (wa) χ2 / ndof = 315 / 224 = 1.4 -> (SGfit) χ2 / ndof = 373 / 224 = 1.7 * ’99 +2000- ’99 mb (wa) χ2 / ndof = 48 / 57 = 0.8 -> (SGfit) χ2 / ndof = 52 / 57 = 0.9 * ’99+2000 - ’99 mb - HERA II (wa) χ2 / ndof = 130 / 149 = 0.9 -> (SGfit) χ2 / ndof = 185 / 149 = 1.2 * ‘97 - ’99+2000 - ’99 mb - HERA II (wa) χ2 / ndof = 400 / 316 = 1.3 -> (SGfit) χ2 / ndof = 509 / 316 = 1.6 SFEX Session @ ZAW - 24/03/2011

  14. H1 + ZEUS Combination -> Experimental errors are treated as uncorrelated between all datasets MY < 1.6 GeV, LPS/FPS relative normalization MX > 4 GeV * H1 Preliminary - ZEUS 2000 (wa) χ2 / ndof = 234 / 113 = 2 -> (SGfit) χ2 / ndof = 360 / 113 = 3.2 * H1 ’97 - ZEUS 2000 (wa) χ2 / ndof = 137 / 113 = 1.2 -> (SGfit) χ2 / ndof = 149 / 113 = 1.3 * H1 HERA II - ZEUS 2000 (wa) χ2 / ndof = 154 / 63 = 2.4 -> (SGfit) χ2 / ndof = 237 / 63 = 3.8 * H1 ’99+2000 - ZEUS 2000 (wa) χ2 / ndof = 109 / 64 = 1.7 -> (SGfit) χ2 / ndof = 142 / 64 = 2.2 * H1 ‘99 mb - ZEUS 2000 (wa) χ2 / ndof = 161 / 79 = 2 -> (SGfit) χ2 / ndof = 239 / 79 = 3 SFEX Session @ ZAW - 24/03/2011

  15. H1 + ZEUS Combination -> Experimental errors are treated as uncorrelated between all datasets MY < 1.6 GeV, LPS/FPS relative normalization MX > 4 GeV * H1 ’97 - H1 ‘99+2000 - ZEUS 2000 (wa) χ2 / ndof = 252 / 191 = 1.3 -> (SGfit) χ2 / ndof = 308 / 191 = 1.6 * H1 ‘99+2000 - H1 ‘99 mb - ZEUS 2000 (wa) χ2 / ndof = 267 / 152 = 1.8 -> (SGfit) χ2 / ndof = 382 / 152 = 2.5 * H1 ‘97 - H1 ’99+2000 - H1 ’99 mb- ZEUS 2000 (wa) χ2 / ndof = 449 / 287 = 1.6 -> (SGfit) χ2 / ndof = 587 / 287 = 2.0 * H1 ‘97 - H1 ’99+2000 – H1 HERA II - ZEUS 2000 (wa) χ2 / ndof = 375 / 268 = 1.4 -> (SGfit) χ2 / ndof = 510 / 268 = 1.9 * H1 ‘99+2000 - H1 ‘99 mb - H1 HERA II - ZEUS 2000 (wa) χ2 / ndof = 386 / 229 = 1.7 -> (SGfit) χ2 / ndof = 590 / 229 = 2.6 SFEX Session @ ZAW - 24/03/2011

  16. H1 + ZEUS Combination -> Experimental errors are treated as uncorrelated between all datasets MY < 1.6 GeV, LPS/FPS relative normalization MX > 4 GeV * H1 ’97 - H1 ‘99+2000 - H1 ‘99 mb - H1 HERA II - ZEUS 2000 (all samples) (wa) χ2 / ndof = 563 / 364 = 1.55 -> (SGfit) χ2 / ndof = 787 / 364 = 2.16 SFEX Session @ ZAW - 24/03/2011

  17. MX > 4 GeV ZEUS LRG + H1 ‘97 Fitted systematics: 1 dlar_h1 0.7214 0.8094 2 dele_h1 2.0889 0.4931 3 dtheta_h1 -0.2327 0.7147 4 dnoise_h1 -0.6382 0.5362 5 dxpom_h1 -0.5184 0.9125 6 dbeta_h1 -0.0285 0.8725 7 dbg_h1 -0.0284 0.5974 8 dplug_h1 -0.1401 0.9193 9 dq2_h1 0.4204 0.9523 10 dspa_h1 0.2422 0.7603 11 scale_zeus 1.6913 0.6814 12 xpomW_zeus -0.1568 0.4810 13 zufoc_zeus 0.1784 0.9914 β = 0.05 (i = 6) β = 0.08 (i = 5) β = 0.13 (i = 4) β = 0.2 (i = 3) β = 0.32 (i = 2) β = 0.5 (i = 1) SFEX Session @ ZAW - 24/03/2011

  18. β = 0.017 β = 0.005 β = 0.027 β = 0.008 β = 0.013 β = 0.043 β = 0.02 β = 0.067 β = 0.032 β = 0.11 β = 0.05 β = 0.17 β = 0.08 β = 0.27 β = 0.13 β = 0.2 β = 0.43 β = 0.67 β = 0.32 β = 0.5 β = 08 SFEX Session @ ZAW - 24/03/2011

  19. MX > 4 GeV ZEUS LRG + H1 HERA II β = 0.05 (i = 6) Fitted systematics: 1 dlar_h1 2.5667 0.4267 2 dele_h1 -0.6915 0.4924 3 dtheta_h1 -0.7374 0.4003 4 dnoise_h1 -2.6210 0.5017 5 dxpom_h1 -0.3954 0.9219 6 dbeta_h1 0.9755 0.7614 7 dbg_h1 -0.4995 0.9972 8 dplug_h1 0.0000 1.0000 9 dq2_h1 0.3755 0.9746 10 dspa_h1 0.0000 1.0000 11 scale_zeus 0.9122 0.4441 12 xpomW_zeus -0.0122 0.2764 13 zufoc_zeus -0.7171 0.9688 β = 0.08 (i = 5) β = 0.13 (i = 4) β = 0.2 (i = 3) β = 0.32 (i = 2) β = 0.5 (i = 1) SFEX Session @ ZAW - 24/03/2011

  20. β = 0.017 β = 0.005 β = 0.027 β = 0.008 β = 0.013 β = 0.043 β = 0.02 β = 0.067 β = 0.032 β = 0.11 β = 0.05 β = 0.17 β = 0.08 β = 0.27 β = 0.13 β = 0.2 β = 0.43 β = 0.67 β = 0.32 β = 0.5 β = 08 SFEX Session @ ZAW - 24/03/2011

  21. MX > 4 GeV ZEUS LRG + H1 all datasets separately ( ‘97 + ’99/2000 + ‘99 mb + 2000 ) β = 0.05 (i = 6) β = 0.08 (i = 5) β = 0.13 (i = 4) β = 0.2 (i = 3) β = 0.32 (i = 2) β = 0.5 (i = 1) SFEX Session @ ZAW - 24/03/2011

  22. β = 0.017 β = 0.005 β = 0.027 β = 0.008 β = 0.013 β = 0.043 β = 0.02 β = 0.067 β = 0.032 β = 0.11 β = 0.05 β = 0.17 β = 0.08 β = 0.27 β = 0.13 β = 0.2 β = 0.43 β = 0.67 β = 0.32 β = 0.5 β = 08 SFEX Session @ ZAW - 24/03/2011

  23. Fitted systematics: 1 dlar_h197 0.8010 0.7806 2 dele_h197 1.9614 0.4472 3 dtheta_h197 -0.3554 0.6541 4 dnoise_h197 -0.9624 0.4360 5 dbg_h197 0.1299 0.5491 6 dplug_h197 -0.1369 0.9062 7 dspa_h197 -0.0478 0.6481 8 dlar_h199 1.2746 0.5296 9 dele_h199 -0.8711 0.5018 10 dtheta_h199 -0.3798 0.7718 11 dnoise_h199 -1.1697 0.5794 12 dbg_h199 0.2959 0.9954 13 dplug_h199 0.2936 0.8690 14 dspa_h199 0.0000 1.0000 15 dlar_h1mb99 -1.3700 0.5512 16 dele_h1mb99 1.0456 0.6328 17 dtheta_h1mb99 -2.2038 0.6136 18 dnoise_h1mb99 -0.0670 0.4789 19 dbg_h1mb99 -0.6154 0.7403 20 dplug_h1mb99 0.7485 0.8007 21 dspa_h1mb99 0.0000 1.0000 22 dlar_h1hera2 2.1364 0.3781 23 dele_h1hera2 -0.8466 0.4160 24 dtheta_h1hera2 -0.5377 0.3265 25 dnoise_h1hera2 -2.3700 0.4589 26 dbg_h1hera2 -0.6695 0.9953 27 dplug_h1hera2 0.0000 1.0000 28 dspa_h1hera2 0.0000 1.0000 29 dxpom_h1th -0.4754 0.7258 30 dbeta_h1th 0.9496 0.5408 31 dq2_h1th -0.0331 0.8510 32 scale_zeus 0.8825 0.3694 33 xpomW_zeus 0.1275 0.2155 34 zufoc_zeus -0.7470 0.9587 SFEX Session @ ZAW - 24/03/2011

  24. Fractional Differences SFEX Session @ ZAW - 24/03/2011

  25. H1 ‘97 + H1 HERA II  ( 97 - HERA2 ) / 97  ( fit - 97 ) / fit  ( fit - HERA2 ) / fit SFEX Session @ ZAW - 24/03/2011

  26. SFEX Session @ ZAW - 24/03/2011

  27. H1 ’97 + ZEUS 2000  ( 97 - ZEUS ) / 97  ( fit - 97 ) / fit  ( fit - ZEUS ) / fit SFEX Session @ ZAW - 24/03/2011

  28. SFEX Session @ ZAW - 24/03/2011

  29. H1 HERA II + ZEUS 2000  ( HERA2 - ZEUS ) / 99mb  ( fit - HERA2 ) / fit  ( fit - ZEUS ) / fit SFEX Session @ ZAW - 24/03/2011

  30. SFEX Session @ ZAW - 24/03/2011

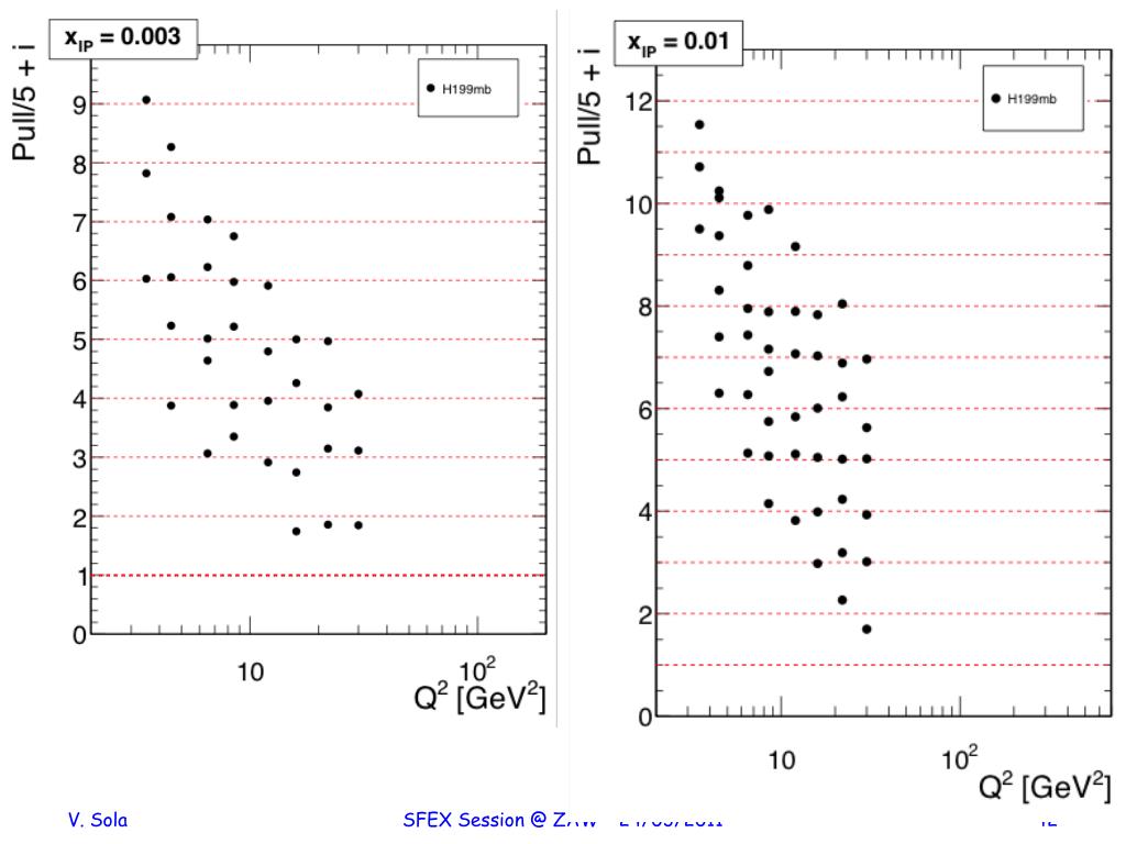
  31. Pull Distributions SFEX Session @ ZAW - 24/03/2011

  32. * H1 ‘97 - ’99+2000 - ’99 mb - HERA II -> (fit) χ2 / ndof = 509 / 316 = 1.6 H1 ’97 H1 ‘99/2000 H1 99 mb H1 HERA II SFEX Session @ ZAW - 24/03/2011

  33. * H1 ’97 - H1 ‘99+2000 - H1 ‘99 mb - H1 HERA II - ZEUS 2000 -> (fit) χ2 / ndof = 787 / 364 = 2.16 H1 ’97 H1 ‘99/2000 H1 99 mb H1 HERA II ZEUS 2000 SFEX Session @ ZAW - 24/03/2011

  34. What is the Conclusion? ✓ Very well known and long debated normalization discrepancy H1-ZEUS Shape consistency tested for the first time ever and... can’t say it looks ok! And there is no much room for improvement... ✓ The consistency ZEUS - H1 ‘97 is comparable to that between H1 ‘97 and the other H1 samples ✓ Fit results do not change when fixing the normalization of each H1 sample to ZEUS ✓ H1 FPS and ZEUS LPS will be added to the fit (and also fitted separately) H1+ZEUS Plenary - 18/03/2011

  35. Backup SFEX Session @ ZAW - 24/03/2011

  36. Uncertainties H1 ’97: stat ~ 10% - unc~ 2->11% - tot ~ 13% H1 99/2000: stat ~ 5% - unc~ 2% - tot ~ 6% H1 99mb: stat ~ 7% - unc~ 3% - tot ~ 9% H1 HERA II: stat ~ 1.3% - unc~ 1.5 - tot ~ 4% dLAr: < 1% dEle: ~ 2 % dTheta: ~ 1.5% dNoise: ~ 2% dNonDiffBg: 0 -> 7% (increasing with xIP) dPlug: < 1% dSpa: ~ 1% dXpom: ~ 1% dBeta: ~ 1% dQ2: ~ 0.5% ZEUS: stat ~ 3% - unc~ 2% Escale~ 2% xIPweight~ 3.5% ZUFOcut~ 1%

  37. Pulls Full Fit – H1 ‘97 SFEX Session @ ZAW - 24/03/2011

  38. SFEX Session @ ZAW - 24/03/2011

  39. Pulls Full Fit – H1 ’99/2000 SFEX Session @ ZAW - 24/03/2011

  40. SFEX Session @ ZAW - 24/03/2011

  41. Pulls Full Fit – H1 ’99 mb SFEX Session @ ZAW - 24/03/2011

  42. SFEX Session @ ZAW - 24/03/2011

  43. Pulls Full Fit – H1 HERA II SFEX Session @ ZAW - 24/03/2011

  44. SFEX Session @ ZAW - 24/03/2011

  45. Pulls Full Fit – ZEUS 2000 SFEX Session @ ZAW - 24/03/2011

  46. SFEX Session @ ZAW - 24/03/2011

  47. Normalization? Reminder: H1 measurement for MY < 1.6 GeV (normalization uncertainty 7%) ZEUS measurement for MY = Mp (normalization uncertainty 5%) When ZEUS corrected to H1 MY region remaining discrepancy (~13%) What to use as input normalization in the fits and how to deal with the normalization uncertainties? See next 4 slides SFEX Session @ ZAW - 24/03/2011

  48. Normalization uncertainty - tests • Tests done playing with the normalization uncertainty • Fit details: • ZEUS data forced to H1 normalization (in practice corrected for 13% discrepancy • mentioned in previous slide) • Normalization uncertainties treated as correlated errors in the fit • (7% for H1, 5% for ZEUS) • Highest β bins not included in the fit • Results: • - Weighted average (WA): χ2 / ndof = 131 / 127 • - Fit to all correlated systematics (including normalization): χ2 / ndof = 676 / 127 • - Normalization fitted only, all other sources treated as unc.: χ2 / ndof = 326 / 127 • - All systematics additive, only normalization multiplicative: χ2 / ndof = 560 / 127 • - Normalization uncertainties removed from input files: χ2 / ndof = 679 / 127 • Weighted average without normalization uncertainties: χ2 / ndof = 288 / 127 •  Normalization uncertainties decoupled from fit quality SFEX Session @ ZAW - 24/03/2011

  49. Input normalization - Tests • Tried different solutions for the input normalization of ZEUS and H1 • ZEUS forced to H1 normalization • ZEUS and H1 @ MY < 1.6 GeV • ZEUS and H1 @ MY = MP • Shape of the combined data not affected by input normalizations (see next two slides) • No reason to prefer any of A, B and C •  Setting the normalization according to the proton spectrometer • measurements (ratio LPS/FPS) seems the most rigorous solution SFEX Session @ ZAW - 24/03/2011

  50. β = 0.17 (i = 3) β = 0.05 (i = 6) β = 0.27 (i = 2) β = 0.08 (i = 5) β = 0.43 (i = 1) β = 0.13 (i = 4) β = 0.2 (i = 3) β = 0.32 (i = 2) β = 0.5 (i = 1) SFEX Session @ ZAW - 24/03/2011

More Related