1 / 22

Spektroskopi Konvensional

SPEKTROFOTOMETRI 1.Ultra Violet ( λ 200-380 nm) 2. Visible ( λ 380-700 nm) 3. Fluorometri 4. Serapan Atom. Spektroskopi Konvensional. 1. Sumber Radiasi. Argon 100 – 160 nm Tungsten 350 – 800 nm Deuterium 160 – 360 nm Xenon 200 – 900 nm. 2. Kuvet (Sample Container).

karlyn
Télécharger la présentation

Spektroskopi Konvensional

An Image/Link below is provided (as is) to download presentation Download Policy: Content on the Website is provided to you AS IS for your information and personal use and may not be sold / licensed / shared on other websites without getting consent from its author. Content is provided to you AS IS for your information and personal use only. Download presentation by click this link. While downloading, if for some reason you are not able to download a presentation, the publisher may have deleted the file from their server. During download, if you can't get a presentation, the file might be deleted by the publisher.

E N D

Presentation Transcript


  1. SPEKTROFOTOMETRI1.Ultra Violet (λ 200-380 nm) 2. Visible (λ 380-700 nm)3. Fluorometri4. Serapan Atom

  2. Spektroskopi Konvensional

  3. 1. Sumber Radiasi • Argon 100 – 160 nm • Tungsten 350 – 800 nm • Deuterium 160 – 360 nm • Xenon 200 – 900 nm

  4. 2. Kuvet (Sample Container)

  5. 3. Monokromator PRISMA

  6. GRATING

  7. 4. Detektor Photovoltaic Phototube Diode array

  8. T = I/I0 A = Log 1/T A = a . b. c a = k.p.x • T = Transmiten • Io = Intensitasdatang • I = “ sinarygditransmisikan k = tetapan =8,7 . 1019 • A = Absorbansi p = probabilitas (0-1) • a = absorbtivitas molar (L mol-1 cm-1) x = area molekul (10 Ao • b = panjanglart yang dilaluisinar (cm) (panjangkromopor) • c = konsentrasi (mol/L)

  9. TAHAPAN MELAKUKAN ANALISIS DENGAN SPEKTROFOTOMETRI 1. Apakahsenyawatersebutdapatdianalisis denganspektrofotometri 2. Membuatlarutanstandar 3. Menentukanlarutanpanjanggelombang maksimum 4. MembuatkurvabakuantaraAbsorbansi versus konsentrasisehinggadiperoleh persamaanregresi linier. 5. Menentukankadarsampel.

  10. 1. Membuattarutanstandarparasetamol 100 ppm sebanyak 100 ml : ditimbangparasetamolmurni 10 mg laluditambahetanolabsolutsampai 100 ml 2. Membuatserilarutanstandarmisal 10 ppm, 20 ppm 30 ppm, 40 ppmdan 50 ppm 3. Mencaripanjanggelombangmaksimum 4. MembuatkurvakalibrasiAbsobansi VS Konsentrasi 5. Membuatpersamaanregrasilininier Y = a + bx

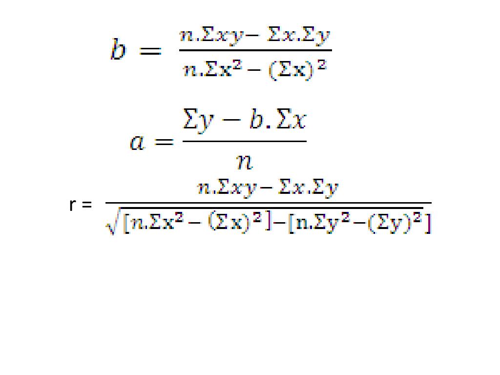
  11. Y = a + bx Y = Absorbansi a = intersep (titikpotonggarisregresi terhadapsumbu y, a = + titikpotong diatastitik 0,0 , a = - titikpotong dibawahtitik 0,0) b = slope (kemiringangaris / tgsudut ) x = Konsentrasilarutanstandar/sampel

  12. r =

  13. ContohSoal 100 mg sampel yang mengandungParasetamoldilarutkandenganetanolhingga 100 ml. diambil 10 ml diencerkanhingga 100 ml. darilarutan yang sudahdilarutkandiukurAbsorbansinya ternyata A = 0,465. hitunglahkadarparesetamoldalamsampeltersebut ?

  14. Dari data diatasdiperoleh a = 0,096 b = 0,013 r = 0,9852 sehinggadiperolehpersamaan y = 0,096 + 0,013 x jika y = 0,465 maka x = 28,38

  15. Kadar = C.reg. x P x V beratsampel = 28,38 mg/L x 10 x 0,1 L x 100 % 100 mg = 28,38 %

More Related