1 / 19

1.8 Combinations of Functions

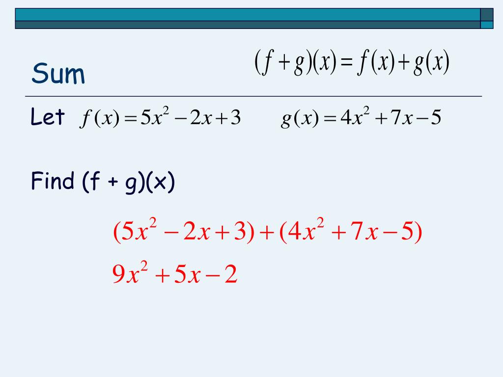
1.8 Combinations of Functions. JMerrill, 2010. Arithmetic Combinations. Sum. Let Find (f + g)(x) . Difference. Let Find (f - g)(x) . Product. Let Find. Quotient . Let Find . You Do: Let . Find: (f+g)(x) (f•g)(x) (f-g)(x) (g-f)(x).

khuong
Télécharger la présentation

1.8 Combinations of Functions

An Image/Link below is provided (as is) to download presentation Download Policy: Content on the Website is provided to you AS IS for your information and personal use and may not be sold / licensed / shared on other websites without getting consent from its author. Content is provided to you AS IS for your information and personal use only. Download presentation by click this link. While downloading, if for some reason you are not able to download a presentation, the publisher may have deleted the file from their server. During download, if you can't get a presentation, the file might be deleted by the publisher.

E N D

Presentation Transcript


  1. 1.8 Combinations of Functions JMerrill, 2010

  2. Arithmetic Combinations

  3. Sum Let Find (f + g)(x)

  4. Difference Let Find (f - g)(x)

  5. Product Let Find

  6. Quotient Let Find

  7. You Do: Let Find:(f+g)(x) (f•g)(x) (f-g)(x) (g-f)(x)

  8. Finding the Domain of Quotients of Functions • To find the domain of the quotient, first you must find the domain of each function. The domain of the quotient is the overlap of the domains.

  9. Example • The domain of f(x) = • The domain of g(x) = [-2,2]

  10. Example • Since the domains are: f(x) = g(x) = [-2,2] • The domains of the quotients are

  11. Composition of Functions • Most situations are not modeled by simple linear equations. Some are based on a system of functions, others are based on a composition of functions. • A composition of functions is when the output of one function depends on the input from another function.

  12. Compositions Con’t • For example, the amount you pay on your income tax depends on the amount of adjusted gross income (on your Form 1040), which, in turn, depends on your annual earnings.

  13. Composition Example • In chemistry, the process to convert Fahrenheit temperatures to Kelvin units • This 2-step process that uses the output of the first function as the input of the second function. This formula gives the Celsius temp. that corresponds to the Fahrenheit temp. This formula converts the Celsius temp. to Kelvins

  14. Composition Notation • (f o g)(x) means f(g(x)) • (g o f)(x) means g(f(x)

  15. Composition of Functions: A Graphing Approach

  16. f(g(0)) = g(f(0)) = (f°g)(3) = (f°g)(-3) = (g°f)(4) = (f°g)(4) = You Do 4 4 f(x) 3 3 g(x) 0 0

  17. Compositions: Algebraically • Given f(x) = 3x2 and g(x) = 5x+1 • Find f(g(2)) Find g(f(4)) • g(2)=5(2)+1 = 11 • f(11) = 3(11)2 • =363 How much is f(4)? g(48) = 5(48)+1=241

  18. Compositions: Algebraically Con’t • Given f(x) = 3x2 and g(x) = 5x+1 • Find f(g(x)) Find g(f(x)) • What does g(x)=? • f(5x+1) • =3(5x+1)2 • =3(25x2+10x+1) • =75x2+30x+3 What does f(x)=? g(3x2) = 5(3x2)+1=15x2+1

  19. You Do • f(x)=4x2-1 g(x) = 3x • Find:

More Related