landis
Uploaded by
32 SLIDES
445 VUES
320LIKES

Understanding Integration: The Reverse Process of Differentiation and Area Calculation

DESCRIPTION

Integration is the reverse process of differentiation, used to find anti-derivatives and calculate areas under curves. In this guide, we explore how integration works, the importance of the constant of integration, and the notation for definite integrals. We provide examples demonstrating the process of finding integrals and calculating areas between curves. You will also learn how to deal with areas above and below the x-axis, and how to solve differential equations using integration. Understand the fundamentals and applications of integration in calculus.

1 / 32

Télécharger la présentation

Understanding Integration: The Reverse Process of Differentiation and Area Calculation

An Image/Link below is provided (as is) to download presentation Download Policy: Content on the Website is provided to you AS IS for your information and personal use and may not be sold / licensed / shared on other websites without getting consent from its author. Content is provided to you AS IS for your information and personal use only. Download presentation by click this link. While downloading, if for some reason you are not able to download a presentation, the publisher may have deleted the file from their server. During download, if you can't get a presentation, the file might be deleted by the publisher.

E N D

Presentation Transcript

Playing audio...

  1. Integration The reverse process to differentiation is called anti differentiation. The process of finding anti derivatives is called integration. How its done? Differentiate x2 2x2 2x1 Multiply by power Drop power by 1 Reverse differentiate’ 2x2 2x1 x2 Divide by new power Raise power by 1

  2. Introduction Integration is the reverse process to differentiation It is also useful for finding the area under a curve The symbol for integration is: We have to be careful when using integration for the following reason. Example 1. Differentiate Now find the integral (anti-derivative) of 4x Where did the +3 go?

  3. Because integration takes no account of the constant in the original function we add a “Constant Of Integration” to all integrals. and is read as the indefinite integral The integral is written of xn with respect to x.

  4. Example

  5. c)

  6. d)

  7. Rule for Integration Remember:

  8. Further Integration a)

  9. b) c)

  10. d) NOTE:

  11. y y = f(x) x ab The Definite Area The notation for the area between the graph y = f(x) And the x-axis from x = a to x = b is This is called the definite integral. a and b are the lower and upper limits of integration, respectively. The area between the graph of y = f(x) And the x-axis from x = a to x = b can be calculated as the area from x = 0 to x = b minus the area from x = 0 to x = a.

  12. y = h(x) 2 7 x a) Write the shaded area shown below as a definite integral. y b) Find Note: The constant of integration is cancelled out during the subtraction As c – c = 0

  13. y x -1 3 c) Calculate the shaded area shown below. -

  14. Areas above and below the x axis • Areas abovex axis are positive • Areas belowx axis are negative

  15. When calculating the area between a curve and the x axis: • Make a sketch • Calculate positive area • Calculate negative area • Ignore negatives then add We can do this because Areas are not negative

  16. a) Calculate the area between the line y = 4x and the x axis for the limits x = - 4 and x = 2 Sketch -4 2 Area from –4 to 0 is –ve Area from 0 to 2 is +ve

  17. 2 1 -4 2 Area 2 = Area 1 = Area = 32 + 8 = 40 units2

  18. b) Calculate the area between the line y = x2 – 1 and the x axis for x = - 1 andx = 2 Sketch: y = x2 – 1 => (x – 1)(x + 1) => x = 1 and x = -1 Roots: (1,0) and (-1,0) Area from –1 to 1 is –ve Area from 1 to 2 is +ve

  19. Area 1 =

  20. Area 2 = Total Area

  21. y = g(x) b a y = f(x) Area Between Two Graphs The area enclosed between the curves y=f(x) and y=g(x) from x = a to x = b is given by: Note: • No need to distinguish between areas above and below the x axis • Always subtract the LOWER CURVE from the UPPER CURVE

  22. a) Calculate the area between the line y = x2 and the line y = x+2 Lines meet when y = x2 = x+2 x2 - x-2 = 0 (x - 2)(x+1) = 0 x = 2 or x = -1 Lines meet at (-1,1) and (2,4) Which graph is the upper curve? The line y = x+2 is above the curve y = x2

  23. Area is ‘Upper’ curve minus ‘Lower’

  24. Calculate the area enclosed by the graphs of • y = 10 - x2 and y= 19 -2x2 Lines meet when y = 10 - x2 = 19 -2x2 - x2 + 2x2 = 19 -10 x2 = 9 x= 3 or -3 Which curve is the upper curve? The curve y= 19 -2x2 is above the curve y = 10 - x2 Because the 2x2 curve has been multiplied by 2 and is therefore taller.

  25. Integral is ‘Upper’ curve minus ‘Lower’

  26. Differential Equations We can use integration as the ‘reversal’ ofdifferentiation to solve equations such as Such equations are called differential equations As integration produces an unknown constant, c, we may require additional information to evaluate c.

  27. The gradient of the tangent to a parabola at a • given point, is given by The parabola passes through the point (1,-2). Find the equation of the parabola Differentialequation General solution

  28. Particular solution As it passes through the point (1,-2)

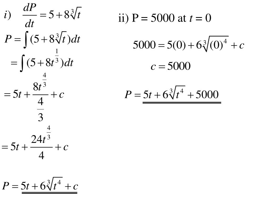
  29. b) The rate of growth per month (t) of the population P(t) of Carlos town is given by the differential equation i) Find the general solution. ii) Find the particular solution, given that at t = 0, P = 5000. iii) What will the population be 8 months from now?

  30. ii) P = 5000 at t = 0

  31. iii)

More Related