lena
Uploaded by
27 SLIDES
518 VUES
270LIKES

Chapter 8

DESCRIPTION

Chapter 8. Techniques of Integration 積分的技巧. 學習內容. 8.1 Integration by Parts 分部積分法 8.2 Trigonometric Integrals 三角函數積分法 8.3 Trigonometric Substitution 三角代換法 8.4 Integration of Rational Functions by Partial Fractions 部分積分法 8.8 Improper Integrals 瑕積分. 8.4.

1 / 27

Télécharger la présentation

Chapter 8

An Image/Link below is provided (as is) to download presentation Download Policy: Content on the Website is provided to you AS IS for your information and personal use and may not be sold / licensed / shared on other websites without getting consent from its author. Content is provided to you AS IS for your information and personal use only. Download presentation by click this link. While downloading, if for some reason you are not able to download a presentation, the publisher may have deleted the file from their server. During download, if you can't get a presentation, the file might be deleted by the publisher.

E N D

Presentation Transcript


  1. Chapter 8 Techniques of Integration 積分的技巧

  2. 學習內容 • 8.1 Integration by Parts • 分部積分法 • 8.2 Trigonometric Integrals • 三角函數積分法 • 8.3 Trigonometric Substitution • 三角代換法 • 8.4 Integration of Rational Functions by Partial Fractions • 部分積分法 • 8.8 Improper Integrals • 瑕積分

  3. 8.4 Integration of Rational Functions by Partial Fractions 部分積分法

  4. 學習重點 • 能將分式函數分解成數個真分式函數 • 將分解的真分式函數積分

  5. 部分積分法分解過程1,2,3 • 1. 適用於假分式 • 2. 將除式因式分解 • (x-r)m • (x2+px+q)n • 3. 分解積分函數

  6. Example 1

  7. 部分積分法分解過程1,2,3 • 3. 分解積分函數 • 當除式分解因式中有 (x-r1) (x-r2)… (x-rn) • 當除式g(x)分解因式中有 (x-r)m當除式g(x)分解因式中有 (x2+px+q)n

  8. 部分積分法分解過程1,2,3 • 分解有(x-r1) (x-r2)… (x-rn)之積分函數

  9. Example 2 2x3 + 3x2 – 2x = x (2x2 + 3x – 2) = x (2x – 1) (x + 2)

  10. ‧x(2x – 1)(x + 2) x(2x – 1)(x + 2) ‧ ‧x(2x – 1)(x + 2) x2 + 2x + 1 = A(2x – 1)(x + 2) + Bx (x + 2) + Cx(2x – 1) x2 + 2x + 1 = (2A + B + 2C)x2+ (3A + 2B – C)x – 2A

  11. x2 + 2x + 1 = (2A + B + 2C)x2+ (3A + 2B – C) x– 2A 2A + B + 2C = 1 3A + 2B – C = 2 –2A = –1 Q1 (a) A = ½ B = 1/5 C = –1/10 (b) A = –½ B = 1/5 C = –1/10 (c) A = ½ B = –1/5 C = –1/10

  12. ½ -1/10 1/5

  13. 部分積分法分解過程1,2,3 • 當除式g(x)分解因式中有(x-r)m

  14. 部分積分法分解過程1,2,3 • 當除式g(x)分解因式中有(x2+px+q)n

  15. Example 4 Q2 ?? ? (a) ? = x+1, ?? = 4 x (b) ? = x, ?? = x (c) ? = x2 +1, ?? = 4 x

  16. (x – 1)2 (x + 1)

  17. (a) A = 1 B = 2 C = 1 Q3 (b) A = -1 B = 2 C = -1 (c) A = 1 B = 2 C = -1

  18. -1 1 2 = x+1+

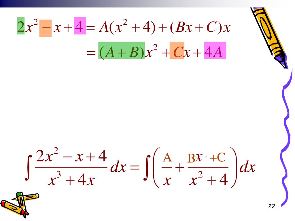
  19. Example 5 x3 + 4x =x(x2 + 4) x(x2 + 4)

  20. 複習:部分積分法分解過程

  21. A + B = 2 C = –1 4A = 4 A = 1, B = 1, and C = –1 A +C B

  22. Q4

  23. Q4

  24. 代入法 -1 -1 -1 0 0 0 1 1 1

More Related