1 / 76

Galaxy Formation and non Linear collapse

Galaxy Formation and non Linear collapse. By Guido Chincarini University Milano - Bicocca Cosmology Lectures This part follows to a large extent Padmanabhan. Density perturbations.

matana
Télécharger la présentation

Galaxy Formation and non Linear collapse

An Image/Link below is provided (as is) to download presentation Download Policy: Content on the Website is provided to you AS IS for your information and personal use and may not be sold / licensed / shared on other websites without getting consent from its author. Content is provided to you AS IS for your information and personal use only. Download presentation by click this link. While downloading, if for some reason you are not able to download a presentation, the publisher may have deleted the file from their server. During download, if you can't get a presentation, the file might be deleted by the publisher.

E N D

Presentation Transcript


  1. Galaxy Formation and non Linear collapse By Guido Chincarini University Milano - Bicocca Cosmology Lectures This part follows to a large extent Padmanabhan Cosmology Class - 2002/2003

  2. Density perturbations • We have seen that under particular condition the perturbation densities grow and after collapse my generate, assuming they reach some equilibrium, an astronomical object the way we know them. • Density perurbations may be positive, excess of density, or negative, deficiency of density compared to the background mean density. • Now we must investigate two directions: • The spectrum of perturbations, how it is filtered though the cosmic time and how it evolves and match the observations. • How a single perturbation grow or dissipate and which are the characteristic parameters as a function of time. • Here we will be dealing with the second problem and develop next the formation and evolution of the Large Scale structure after taking in consideration the observations and the methods of statistical analysis. Cosmology Class - 2002/2003

  3. Visualization Cosmology Class - 2002/2003

  4. Definition of the problem • We use proper radial coordinates r = a(t) x in the Newtonian limit developed in class and where x is the co_moving Friedmann coordinate. Here we will have: • b = Equivalent potential of the Friedmann metric •  (r,t) = The potential generated due to the excess density:  • It is then possible to demonstrate, see Padmanabahn Chapter 4, that the first integral of motion is: ½(dr/dt)2 – GM/r =E Cosmology Class - 2002/2003

  5. How would it move a particle on a shell? The Universe Expands Cosmology Class - 2002/2003

  6. And we can look at a series of shells and also assume that the shells contracting do not cross each other Cosmology Class - 2002/2003

  7. Remember • At a well defined time tx I have a well set system of coordinates and each object has a space coordinate at that time. I indicate by x the separation between two points. • If at some point I make the Universe run again, either expand or contract, all space quantities will change accordingly to the relation we found for the proper distance etc. That is r (the proper separation) will change as a(t) x. • Or a(tx) x = a(t) x and in particular: • ro= a(to) x = a(t) x =r => r/ro=a(t)/a(to) and for ro=x • x=r a(to)/a(t). Cosmology Class - 2002/2003

  8. Situation similar to the solution of Friedman equations ½(dr/dt)2 – GM/r =E Cosmology Class - 2002/2003

  9. And remember that I was defined in relation to the Background surrounding the pertubation at the time ti Cosmology Class - 2002/2003

  10. For the case of interest E <0we have collapse when: Cosmology Class - 2002/2003

  11. Derivation of rm/ri • The overdensity expands together with the background and however at a slower rate since each shell feels the overdensity inside its radius and its expansion is retarded. Perturbation in the Hubble flow caused by the perturbation. • The background decreaseds faster and the overdensity grow to a maximum radius rm at which point the collapse begins for an overdensity larger than the critical overdensity as stated in the previous slide. Cosmology Class - 2002/2003

  12. The Perturbation evolvesAnd shells do not cross and I conserve the mass Cosmology Class - 2002/2003

  13. A & B Cosmology Class - 2002/2003

  14. Starting with small perturbations Cosmology Class - 2002/2003

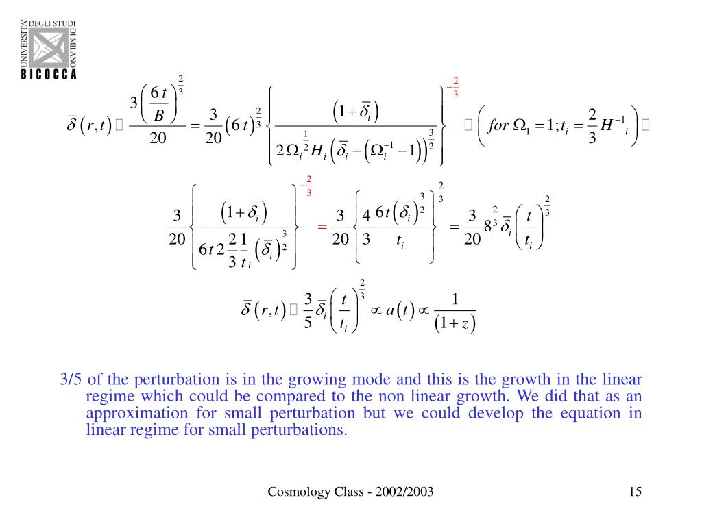
  15. 3/5 of the perturbation is in the growing mode and this is the growth in the linear regime which could be compared to the non linear growth. We did that as an approximation for small perturbation but we could develop the equation in linear regime for small perturbations. Cosmology Class - 2002/2003

  16. ri If at the redshift zi I had a density contrast i the present value would be 0. Cosmology Class - 2002/2003

  17. Using the approximations for A & B • I use the value I derived for A and B in the case of small perturbations. • Note the definition of 0 which is the contrast at the present time. • The equation show how the perturbation are developing as a funcion of the cosmic time. • We would like to know, however, an estimate of when the growth of the perturbations make it necessary to pass from the linear regime to the non linear regime. Cosmology Class - 2002/2003

  18. Again a summary See next slides for details: • =1 The easy case And therefore I can also write Time of turn around dr/dt = 0, r=rm r   =  Cosmology Class - 2002/2003

  19. A detail – see Notes Page 28 Cosmology Class - 2002/2003

  20. That is 3/5 of the perturbation grows as t2/3 and for  =1 I can also write: And in units of a(to) I can write ri = ai/ao x = x/(1+zi). That is ro = x Cosmology Class - 2002/2003

  21. When does the Non Linear Regime begins? We define the transition between the linear and the non linear regime when we reach a contrast density of about  = 1. The above computation shows that at this time the two solurion differ considerably from each other. Cosmology Class - 2002/2003

  22. ~/2  ~2/3  Cosmology Class - 2002/2003

  23. What I would like to know: • At what z do I have the transition between linear and non linear? • What is the ratio of the densities between perturbation and Background? • At which z do we have the Maximum expansion? • How large a radius do we reach? And how dense? • At which redshift do I have the maximum expansion? • At which redshift does the perturbation collapse? • And what about Equilibrium (Virialization) and Virial parameters? • What is the role of the barionic matters in all this? Cosmology Class - 2002/2003

  24. Toward VirializationThe student could also read the excellent paper by Lynden Bell on Violent Relaxation rvir rm Cosmology Class - 2002/2003

  25. How long does it take to collapse? Cosmology Class - 2002/2003

  26. What is the density of the collapsed object? Cosmology Class - 2002/2003

  27. Cosmology Class - 2002/2003

  28. =2 =2/3=2.09 ==3.14 8 Density b a-3 1.59 2.0 5.55 b 1.87 anl amax Time Cosmology Class - 2002/2003

  29. What happens to the baryons? • During the collapse the gas involved develops shocks and heating. This generates pressure and at some point the collapse will stop. • The agglomerate works toward equilibrium and the thermal energy must equal the gravitational energy. • And for a mixture of Hydrogen and Helium we have: Cosmology Class - 2002/2003

  30. Derivation Cosmology Class - 2002/2003

  31. And from Cosmology we have: Cosmology Class - 2002/2003

  32. W=1, h=1 eventually Cosmology Class - 2002/2003

  33. Virial velocity and Temperature Cosmology Class - 2002/2003

  34. Example Assume a typical mass of the order of the mass of the galaxy: M=1012 M and h=0.5 Assume also that the mass collapse at about z=5 then we have the values of the parameters as specified below. Once the object is virialized, the value of the parameters does not change except for the evolution of the object itself. For collapse at higher z the virial radius is smaller with higher probability of shocks. Temperature needs viscosity and heating and ? Do we have any process making galaxies to loose angular momentum? Cosmology Class - 2002/2003

  35. Temperature and density • The temperature is very high and should emit, assuming the model is somewhat realistic, in the X ray. This however should be compared with hydro dynamical simulations to better understand what is going on. • The density at collapse [equilibrium] is fairly high. Assuming a galaxy with a mass of about 1012 solar masses, a diameter of about 30 kpc and a background of 1.88 10-29h2 = .9 10-29the mean density would be about 5 104 . Very close! Coincidence? • Obviously we should compute a density profile. Cosmology Class - 2002/2003

  36. W = 1 ; h=0.5 M = 1012 M M = 1010 M Cosmology Class - 2002/2003

  37. M = 1012 M M = 1010 M W = 1 ; h=0.5 Cosmology Class - 2002/2003

  38. M = 1012 M M = 1010 M W = 1 ; h=0.5 Cosmology Class - 2002/2003

  39. W = 1 ; h=0.5 Cosmology Class - 2002/2003

  40. Cooling and Mass limits - Is any mass allowed? • Assume I have the baryonic part in thermal equilibrium, the hot gas will radiate and the balance must be rearranged as a function of time. • The following relations exist between the Temperature, cooling time and dynamical (or free-fall) time: • Here n is the particle density per cm3 (n in units cm-3), L(T) the cooling rate of the gas at temperature T. Cosmology Class - 2002/2003

  41. Mechanisms • No cooling: tcool > H-1 • Slow cooling via ~ static collapse: H-1 > tcool > tfree-fall • Efficient cooling: tcool < tfree-fall • (In the last case the cloud goes toward collapse and could also fragment – instability - and form smaller objects, stars etc.). • Cooling via: Brehmsstrahlung Recombination, lines and continuum cooling Inverse Compton [the latter important only for z > 7 as we will see] Cosmology Class - 2002/2003

  42. tcool=8 106 (n cm-3)-1 [T6-1/2+1.5 fm T6-3/2]-1In the following I use fm=1 (no Metal) for solar fm=30 Brehmsstrahlung T~106 Line Cooling Cosmology Class - 2002/2003

  43. T<106 Cosmology Class - 2002/2003

  44. T<106 - Continue If M =2.8 1011 n-1/2 T3/2 >2.8 10119.37 = =2.8 1012 Then t>1Cooling not very Efficient. Vice-versa if t<1. T = 106 Temperature tdyn>Ho-1 T n1/3 M=2.8 1012 Density Cosmology Class - 2002/2003

  45. T > 106 Cosmology Class - 2002/2003

  46. T > 106 - Continue If the radius is too large the cooling is not very efficient and chances are I am not forming galaxies. In other words in order to form galaxies and have an efficient cooling the radius of the cloud must shrink below an effective radius which is of the order of 105 kpc. For fun compare with the estimated halos of the galaxies along the line of sight of a distant quasar. More or less we estimate the same size. Or we could also follow the reasoning that very large clouds would almost be consistent with a diffuse medium. Try to follow these reasoning to derive ideas on the distribution of matter in the Universe. Cosmology Class - 2002/2003

  47. T > 106 - Continue Or an other way to look at it is (see notes Page 46): For  > 1 R > 105 kpc tcool > tdyn Vice versa for  < 1 ; in this case cooling is efficient The cloud must shrink for efficient cooling Cosmology Class - 2002/2003

  48. Summary For a given Mass of the primordial cloud and T < 106 we have the following relation: The Mass of the forming object is smaller than a critical mass. M < 2.6 1012solar masses. For a given Radius of the primordial cloud and T > 106 we have the following relation: The Radius of the primordial cloud must be smaller than a critical Radius in order to have efficient cooling and form galaxies. R < 105 kpc. Cosmology Class - 2002/2003

  49. ContinueThe dashed light blue line next slide Cosmology Class - 2002/2003

  50. T>106 tcool = Ho-1 R ~ 105 kpc T  n T = 106 tdyn>Ho-1 Temperature T n1/3 M=2.6 1012 tcool =tdyn Density Cosmology Class - 2002/2003

More Related