mohammed
Uploaded by
38 SLIDES
2274 VUES
620LIKES

Orthogonal Linear Contrasts

DESCRIPTION

Orthogonal Linear Contrasts. This is a technique for partitioning ANOVA sum of squares into individual degrees of freedom. Definition. Let x 1 , x 2 , ... , x p denote p numerical quantities computed from the data. These could be statistics or the raw observations.

1 / 38

Télécharger la présentation

Orthogonal Linear Contrasts

An Image/Link below is provided (as is) to download presentation Download Policy: Content on the Website is provided to you AS IS for your information and personal use and may not be sold / licensed / shared on other websites without getting consent from its author. Content is provided to you AS IS for your information and personal use only. Download presentation by click this link. While downloading, if for some reason you are not able to download a presentation, the publisher may have deleted the file from their server. During download, if you can't get a presentation, the file might be deleted by the publisher.

E N D

Presentation Transcript

Playing audio...

  1. Orthogonal Linear Contrasts This is a technique for partitioning ANOVA sum of squares into individual degrees of freedom

  2. Definition Let x1, x2, ... , xp denote p numerical quantities computed from the data. These could be statistics or the raw observations. A linear combination of x1, x2, ... , xp is defined to be a quantity ,L ,computed in the following manner: L = c1x1+ c2x2+ ... + cpxp where the coefficients c1, c2, ... , cp are predetermined numerical values:

  3. Definition If the coefficients c1, c2, ... , cp satisfy: c1+ c2 + ... + cp = 0, Then the linear combination L = c1x1+ c2x2+ ... + cpxp is called a linear contrast.

  4. Examples 1. A linear combination A linear contrast 2. A linear contrast • L = x1 - 4 x2+ 6x3 - 4 x4 + x5 • = (1)x1+ (-4)x2+ (6)x3 + (-4)x4 + (1)x5

  5. Definition Let A = a1x1+ a2x2+ ... + apxp and B= b1x1+ b2x2+ ... + bpxp be two linear contrasts of the quantities x1, x2, ... , xp. Then A and B are c called Orthogonal Linear Contrasts if in addition to: a1+ a2+ ... + ap = 0 and b1+ b2+ ... + bp = 0, it is also true that: a1b1+ a2b2+ ... + apbp = 0. .

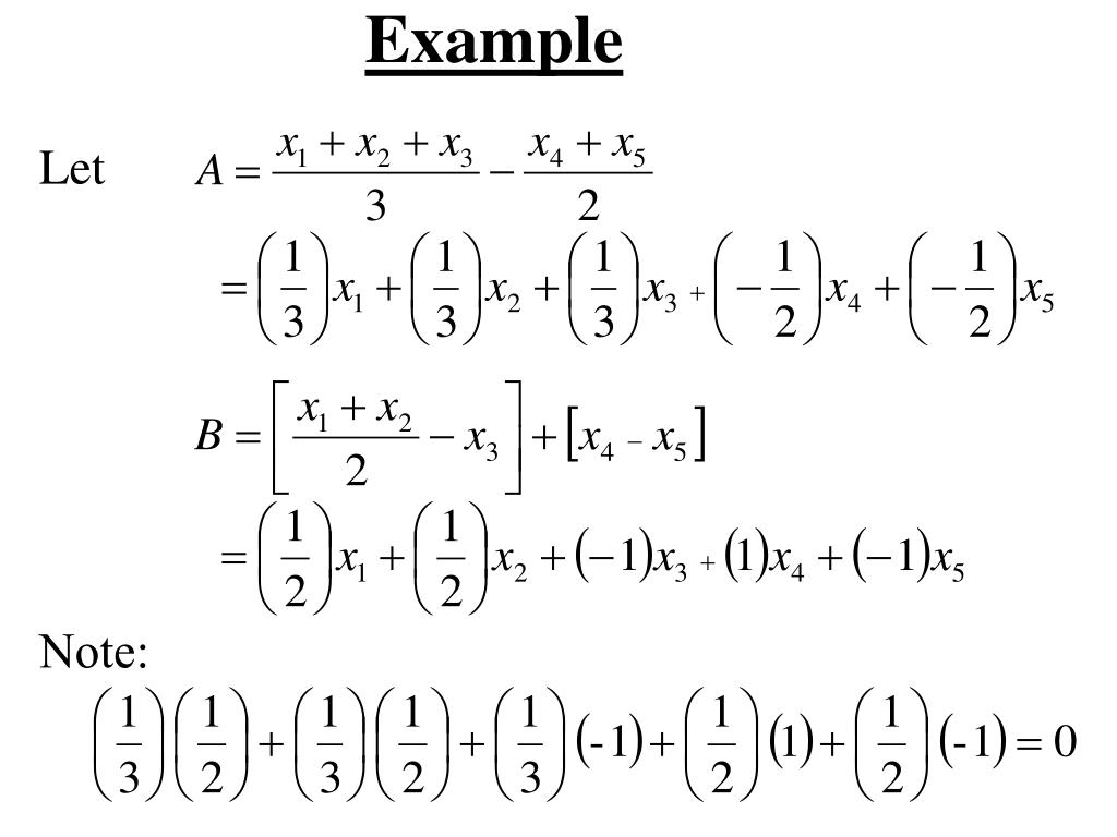
  6. Example Let Note:

  7. Definition Let A = a1x1+ a2x2+ ... + apxp, B= b1x1+ b2x2+ ... + bpxp , ..., and L= l1x1+ l2x2+ ... + lpxp be a set linear contrasts of the quantities x1, x2, ... , xp. Then the set is called a set of MutuallyOrthogonal Linear Contrasts if each linear contrast in the set is orthogonal to any other linear contrast..

  8. Theorem: The maximum number of linear contrasts in a set of Mutually Orthogonal Linear Contrasts of the quantities x1, x2, ... , xp is p - 1. p - 1 is called the degrees of freedom(d.f.) for comparing quantities x1, x2, ... , xp .

  9. Comments • Linear contrasts are making comparisons amongst the p values x1, x2, ... , xp • Orthogonal Linear Contrasts are making independent comparisons amongst the p values x1, x2, ... , xp. • The number of independent comparisons amongst the p values x1, x2, ... , xpis p – 1.

  10. Definition denotes a linear contrast of the p means If each mean, , is calculated from n observations then: The Sum of Squares for testing the Linear Contrast L, is defined to be:

  11. the degrees of freedom (df) for testing the Linear Contrast L, is defined to be the F-ratio for testing the Linear ContrastL, is defined to be:

  12. Theorem: Let L1, L2, ... , Lp-1 denote p-1 mutually orthogonal Linear contrasts for comparing the p means . Then the Sum of Squares for comparing the p means based on p – 1 degrees of freedom , SSBetween, satisfies:

  13. Comment Defining a set of Orthogonal Linear Contrasts for comparing the p means allows the researcher to "break apart" the Sum of Squares for comparing the p means, SSBetween, and make individual tests of each the Linear Contrast.

  14. The Diet-Weight Gain example The sum of Squares for comparing the 6 means is given in the Anova Table:

  15. Five mutually orthogonal contrasts are given below (together with a description of the purpose of these contrasts) : (A comparison of the High protein diets with Low protein diets) (A comparison of the Beef source of protein with the Pork source of protein)

  16. (A comparison of the Meat (Beef - Pork) source of protein with the Cereal source of protein) (A comparison representing interaction between Level of protein and Source of protein for the Meat source of Protein) (A comparison representing interaction between Level of protein with the Cereal source of Protein)

  17. The Anova Table for Testing these contrasts is given below: The Mutually Orthogonal contrasts that are eventually selected should be determine prior to observing the data and should be determined by the objectives of the experiment

  18. Another Five mutually orthogonal contrasts are given below (together with a description of the purpose of these contrasts) : (A comparison of the High protein diets with Low protein diets) (A comparison of the Beef source of protein with the Pork source of protein)

  19. (A comparison of the high and low protein diets for the Beef source of protein) (A comparison of the high and low protein diets for the Cereal source of protein) (A comparison of the high and low protein diets for the Pork source of protein)

  20. The Anova Table for Testing these contrasts is given below:

  21. Orthogonal Linear Contrasts Polynomial Regression

  22. Orthogonal Linear Contrasts for Polynomial Regression

  23. Orthogonal Linear Contrasts for Polynomial Regression

  24. Example In this example we are measuring the “Life” of an electronic component and how it depends on the temperature on activation

  25. The Anova Table L = 25.00 Q2 = -45.00 C = 0.00 Q4 = 30.00 Source SS df MS F Treat 660 4 165.0 23.57 Linear 187.50 1 187.50 26.79 Quadratic 433.93 1 433.93 61.99 Cubic 0.00 1 0.00 0.00 Quartic 38.57 1 38.57 5.51 Error 70 10 7.00 Total 730 14

  26. The Anova Tables for Determining degree of polynomial Testing for effect of the factor

  27. Testing for departure from Linear

  28. Testing for departure from Quadratic

  29. Post-hoc Tests Multiple Comparison Tests

  30. Suppose we have p means An F-test has revealed that there are significant differences amongst the p means We want to perform an analysis to determine precisely where the differences exist.

  31. Tukey’s Multiple Comparison Test

  32. denote the standard error of each = the tabled value for Tukey’s studentized range p = no. of means, n = df for Error Let Tukey's Critical Differences Two means are declared significant if they differ by more than this amount.

  33. Scheffe’s Multiple Comparison Test

  34. = the tabled value for F distribution (p -1 = df for comparing p means, n = df for Error) Scheffe's Critical Differences (for Linear contrasts) A linear contrast is declared significant if it exceeds this amount.

  35. Scheffe's Critical Differences (for comparing two means) Two means are declared significant if they differ by more than this amount.

More Related