1 / 13

Understanding Geometric Operations in Image Processing

This chapter explores geometric operations in image processing, focusing on techniques like scaling and rotation. We examine how to manipulate image geometry by moving pixels to reduce distortions or create specific transformations. Simple methods for enlarging and shrinking images are analyzed, highlighting the blocky appearance from integer scaling and information loss from subsampling. It also covers affine transformations, where geometrical shapes remain consistent. The chapter provides insights into applying these operations effectively while addressing potential drawbacks.

natara
Télécharger la présentation

Understanding Geometric Operations in Image Processing

An Image/Link below is provided (as is) to download presentation Download Policy: Content on the Website is provided to you AS IS for your information and personal use and may not be sold / licensed / shared on other websites without getting consent from its author. Content is provided to you AS IS for your information and personal use only. Download presentation by click this link. While downloading, if for some reason you are not able to download a presentation, the publisher may have deleted the file from their server. During download, if you can't get a presentation, the file might be deleted by the publisher.

E N D

Presentation Transcript


  1. 8. Geometric Operations • Geometric operations change image geometry by moving pixels around in a carefully constrained way. • We might do this to remove distortions inherent in the imaging process, or to introduce a deliberate distortion that matches one image with another. • In this chapter, we will consider simple operations such as scaling and rotation.

  2. Simple techniques • There are some simple techniques for manipulating image geometry. • An image can be enlarged by an integer factor, n, simply by copying each pixel to an n x n block of pixels in the output image. • This technique is fast, and has been a standard feature of specialised image processing hardware.

  3. An obvious disadvantage is that it cannot be used to expand an image by some arbitrary, non‑integer factor. • Another problem is that greatly enlarged images have a very 'blocky' appearance. • This may not bother us in applications where we merely wish to examine pixels more closely, but is of serious concern otherwise.

  4. There are similar problems with the technique of shrinking an image by subsampling its array of pixels. • First, the technique cannot be used to reduce image dimensions by an arbitrary factor. • Second, subsampling can eliminate information from the image completely. • One solution to this latter problem is to turn an n x n block of pixels in the input image into a single pixel in the output image. • The value of each output pixel must be representative of the corresponding block in the input image. • The median and mean grey level of the block can be used.

  5. Fig. 8.1 Shrinking. (a) Original image. (b) Subsampling (c) Mean of n x n block. (d) Median of n x n block.

  6. Figure 8.1 compares subsampling with the n x n mean and n x n median approaches for a real image of a face. • In this case, there is little to choose between the mean and median images. • The subsampled image is clearly inferior, with data loss leading to an apparent change in facial expression.

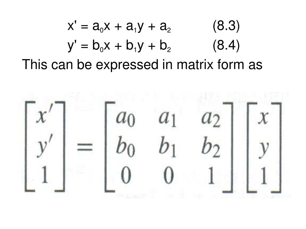
  7. Affine transformation • An arbitrary geometric transformation will move a pixel at coordinates (x, y) to a new position, (x’, y'), given by a pair of transformation equations, X’ = Tx (X, Y), (8.1) Y’ = TY (X, Y) (8.2) • Tx and Ty are typically expressed as polynomials in x and y. • In their simplest form, they are linear in x and y, giving us an affine transformation,

  8. x' = a0x + a1y + a2 (8.3) y' = b0x + b1y + b2 (8.4) This can be expressed in matrix form as

  9. Under an affine transformation, straight lines are preserved and parallel lines remain parallel. • Translation, scaling, rotation and shearing are all special cases of Equations 8.3 and 8.4.

  10. For example, a translation of 3 pixels down and 5 pixels to the right is x' = x + 5, y' = y + 3. The corresponding aftine transformation matrix is

  11. Table 8.1 specifies how the elements of the transformation matrix are computed for selected special cases of affine transformation. Table 8.1 Transformation coefficients for some simple affine transformations.

  12. Rotation • Suppose, for example, that we wish to rotate an image by an angle θ about the origin. • This is accomplished with the transformation matrix

  13. Algorithm 8.1 Image rotation by forward mapping

More Related