1 / 69

CHEM 226 Elementary Organic Chemistry

CHEM 226 Elementary Organic Chemistry. Text Book Course Website: http://employees.oneonta.edu/odagomo/ OWL Homework Access and Registration Lab Materials. Chapter 1: Bonding and Isomerism.

ofira
Télécharger la présentation

CHEM 226 Elementary Organic Chemistry

An Image/Link below is provided (as is) to download presentation Download Policy: Content on the Website is provided to you AS IS for your information and personal use and may not be sold / licensed / shared on other websites without getting consent from its author. Content is provided to you AS IS for your information and personal use only. Download presentation by click this link. While downloading, if for some reason you are not able to download a presentation, the publisher may have deleted the file from their server. During download, if you can't get a presentation, the file might be deleted by the publisher.

E N D

Presentation Transcript


  1. CHEM 226Elementary Organic Chemistry Text Book Course Website: http://employees.oneonta.edu/odagomo/ OWL Homework Access and Registration Lab Materials

  2. Chapter 1: Bonding and Isomerism Methyl butyrate and propyl acetate are both organic flavors that are found in apples and pears respectively and are structural isomers. Structural Isomers are compounds that have the molecular formula (C5H10O2), but have different connectivity hence different structural formulas.

  3. Bonding and Isomerism Questions ? Why does sucrose melt at 1850C while table salt melts at 801o C? Why do both substances dissolve in water and olive oil does not? Why does methyl butyrate smell like pears while propyl acetate smell like apple yet they have the same number and kind of atoms? Bonding is the key to the structure, physical properties and chemical behavior of different kinds of matter.

  4. Ionic Compounds

  5. The Covalent Bond

  6. Carbon and the Covalent Bond

  7. Draw the structures of dichloromethane and trichloromethane (chloroform)

  8. Carbon-Carbon Single Bonds C-C 1.54 Å H-H 0.74 Å C-H 1.09 Å Cl-Cl 1.98 Å

  9. A radical is a molecular fragment with an odd number of electrons p. 8b

  10. Polar Covalent Bonds

  11. p. 10, Table 1-4

  12. Bond polarization in tetrachloromethane Draw the structure of the refrigerant dichlorodifluoromethane CCl2F2 and indicate the polarity of the bonds. (Prob. 1.11) p. 10

  13. p. 11a

  14. Determine What, if anything is wrong with the following electron arrangement for carbon dioxide p. 11c

  15. p. 12a

  16. p. 12b

  17. p. 12, Table 1-5

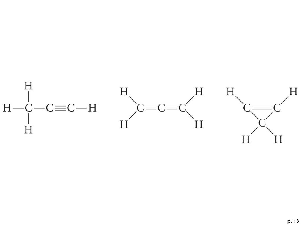
  18. p. 13

  19. p. 14

  20. p. 15a

  21. p. 15b

  22. p. 15d

  23. p. 16b

  24. p. 16c

  25. p. 16d

  26. p. 17a

  27. p. 17b

  28. p. 17c

  29. p. 17d

  30. p. 18a

  31. p. 18b

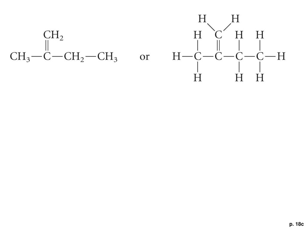
  32. p. 18c

  33. p. 18d

  34. p. 18f

  35. p. 19a

  36. p. 20c

  37. p. 21b

  38. p. 22b

  39. p. 23, Fig. 1-2

  40. p. 23

  41. p. 24, Fig. 1-5

  42. p. 24, Fig. 1-6

  43. p. 25, Fig. 1-7

  44. p. 25, Fig. 1-8

  45. p. 25, Fig. 1-9

More Related